The importance of antiangiogenic substances endoglin and sFLT-1, as well as endogenous digitalis-like factor marinobufagenin in the pathogenesis of preeclampsia
- Authors: Reznik V.A.1, Ivanov D.O.1, Ruhlyada N.N.1, Tapilskaya N.I.1, Ershov I.A.1
-
Affiliations:
- St. Petersburg State Pediatric Medical University, Ministry of Healthcare of the Russian Federation
- Issue: Vol 11, No 1 (2020)
- Pages: 5-12
- Section: Editorial
- URL: https://medbiosci.ru/pediatr/article/view/33849
- DOI: https://doi.org/10.17816/PED1115-12
- ID: 33849
Cite item
Abstract
Objective. Establish the relationship between the action of antiangiogenic factors sFLT-1 and endoglin, as well as marinobufagenin in the formation of symptoms of preeclampsia in the clinic and experiment.
Materials and methods. In the first experimental phase, preeclampsia-like state was simulated in pregnant rats, the changes in the content of substances reflected in the target tissues were studied, as well as the effect on their concentrations of anti-marinobufagenin antibodies. In the second (clinical) phase, changes in the content of sFlt-1 and endoglin-1 in placental tissues, as well as marinobufagenin in blood plasma and activity of Na+/K+-ATPase of erythrocytes in pregnant women with preeclampsia were studied.
Results. In rats, an increase in systolic blood pressure, and marinobufagenin plasma levels was observed during the formation of a preeclampsia-like condition. Administration of antibodies to marinobufagenin caused a decrease in blood pressure. Found that during the formation of a preeclampsia-like condition, there is an increase in the content of sFlt-1 in the placenta and thoracic aorta and endoglin in the placenta. In patients with preeclampsia, it was found that the increase in blood pressure occurs against the background of an increase in the content of marinobufagenin in blood plasma, as well as a decrease in the activity of Na+/K+-ATPase of erythrocytes. The formation of preeclampsia is accompanied by a significant increase in the level of antiangiogenic factors endoglin and sFlt-1 in the placenta.
Summary. In patients with preeclampsia, the development of clinical symptoms is accompanied by an increase in the placental tissues of the content of antiangiogenic factors endoglin and sFlt-1 and the content of marinobufagenin in blood plasma. The obtained data are confirmed by the results of an experiment performed on pregnant rats with modeling of preeclampsia-like condition.
Keywords
Full Text
INTRODUCTION
One of the most important factors contributing to the formation of preeclampsia is insufficient trophoblast invasion into maternal vessels, which leads to a lack of complete remodeling of the latter and creates the conditions for the development of ischemic placental insufficiency [3]. These processes are associated with a significant dysregulation of the ratio between pro- and anti-angiogenic factors [13, 14]. The activity of angiogenic substances is largely determined by anti-angiogenic factors such as vascular endothelial growth factor receptor l (sVEGF-Rl), also known as sFLT-1 [2, 4, 6–8]. The membrane protein endoglin, one of the most important anti-angiogenic factors, influences the formation of capillaries, regulates the permeability of the vascular wall, and participates in maintaining vascular tone [3]. Over-expression of anti-angiogenic factors occurs in the formation of preeclampsia, leading to the launch of an ischemic cascade. Also, the development of preeclampsia is associated with endogenous digitalis-like factors, such as marinobufagenin (MBG), that block Na+/K+-ATPase (adenosine triphosphatase) and contribute to the formation of pathological vasospasm [1].
This study aimed to determine the relationships between the anti-angiogenic factors sFLT-1 and endoglin, as well as MBG, in the formation of symptoms of preeclampsia in the clinic and experimentally.
MATERIALS AND METHODS
The study consisted of two phases. In phase 1 (experimental), 36 pregnant Sprague–Dawley rats weighing 225 to 250 g were randomly divided into 3 groups. Group 1 (control) consisted of 12 animals that received a normal diet. In the remaining 24 rats, daily administration of a 1.8% NaCl solution from day 12 to day 19 of pregnancy simulated the formation of a preeclampsia-like state. Then, 50 μg/kg normal rabbit serum was intraperitoneally injected in 12 animals that made up group 2. In the other 12 rats (group 3), 50 μg/kg polyclonal anti-MBH antibodies were administered intraperitoneally. In all groups, systolic blood pressure was determined using a tail cuff, the level of proteinuria was measured, and the level of MBG in the blood plasma was evaluated. After euthanasia by exsanguination under 100 mg/kg ketamine [5], the level of endoglin in the placenta, as well as sFlt-1 in the placenta and annuli of the thoracic aorta, were evaluated.
In phase 2 (clinical), we studied changes in the placental levels of sFlt-1 and endoglin and serum levels of MBG in pregnant women with preeclampsia. We enrolled 16 patients with preeclampsia (group 1) aged 29 ± 2 years with a gestational age of 36 ± 1 weeks. The control group (group 2) included 14 women with physiological pregnancy aged 26 ± 1 years with a gestational age of 37 ± 1 weeks. Prior to biological sample collection in both groups, systolic and diastolic blood pressures were determined, and the level of protein excretion in the urine was measured. Then, in aliquots of blood plasma, MBG levels and erythrocyte Na+/K+-ATPase activity were determined. After delivery, the prepared placental homogenates obtained from women of both groups were frozen and their levels of angiogenic factors (endoglin and sFlt-1) were later determined by Western blotting. The placental tissue samples in both phase 1 and phase 2, as well as the annuli of the thoracic aorta, were prepared according to a previously developed technique [11]. In order to estimate the amount of MBG in blood plasma, monoclonal anti-MBG antibodies 4G4 were used. Western blotting using commercial sets of specific antibodies was used to determine the amount of endoglin and sFlt-1. Statistical data processing was performed by non-parametric analysis methods using the application software packages GraphPad Instat and GraphPad Prism (GraphPad Software Inc., USA) and Microsoft Office 2007.
RESULTS
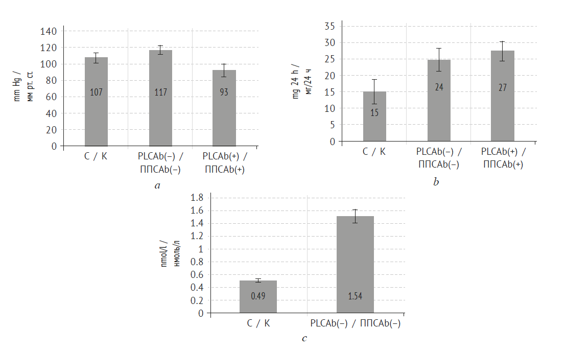
In animals, the administration of a 1.8% NaCl solution (groups 2 and 3) for one week resulted in significantly higher systolic blood pressure. In the control group (group 1) receiving a normal diet, the systolic blood pressure was 107 ± 2 mm Hg. In group 2, during the formation of an experimental preeclampsia-like condition, systolic blood pressure increased to 117 ± 2 mm Hg (p < 0.05). Administration of antibodies to MBG (group 3) resulted in a significantly decreased systolic blood pressure of 93 ± 3 mm Hg, which was significantly different from both group 1 (p < 0.05) and group 2 (p < 0.01).
The level of proteinuria was lowest in the control group (group 1) with normal pregnancy and a standard diet (15 ± 2 mg/day). In group 2 with a high-salt diet, proteinuria significantly increased to 24 ± 1.5 mg/day (p < 0.05). The use of antibodies to MBG (group 3) did not affect the daily excretion of protein in the urine (27 ± 2 mg/day; p < 0.05).
In group 1, the MBG level was 0.49 ± 0.11 nmol/L, whereas in group 2 with an experimental preeclampsia-like state, it increased significantly to 1.54 ± 0.34 nmol/L (p < 0.05). Our previous studies indicate that administration of specific antibodies to MBG can reduce this indicator [10]. General data of the indicators under study are presented in Figure 1.
Fig. 1. The level of systolic blood pressure (a), daily proteinuria (b) and MBG in blood plasma (c) in the experimental groups. C – group of rats with a normal diet (first, control); PLSAb(–) – group of rats with preeclampsia-like condition (second), which were not injected with antibodies to MBG; PLCAb(+) – group of rats with preeclampsia-like condition, which were injected with antibodies to MBG (third)
Рис. 1. Уровень систолического артериального давления (а), суточной протеинурии (b) и МБГ в плазме крови (c) в экспериментальных группах. К — группа крыс с обычной диетой (первая, контроль); ППСAb(–) — группа крыс с преэклампсия-подобным состоянием (вторая), которым не вводили антитела к МБГ; ППСAb(+) — группа крыс с преэклампсия-подобным состоянием, которым вводили антитела к МБГ (третья)
Significant increases in the anti-angiogenic factors endoglin and sFlt-1 were found in placental tissue during the formation of a preeclampsia-like state. In particular, in group 1 (control), the concentration of endoglin was 1.0 ± 0.15 c. u., but in group 2 it increased to 6.1 ± 0.4 c. u. (p < 0.01) and in group 3 it increased to 6.4 ± 0.3 c. u. (p < 0.01). In group 1, sFlt-1 was 1.0 ± 0.15 c. u. With the induction of a preeclampsia-like state, sFlt-1 increased to 2.8 ± 0.3 c. u. (p < 0.05), while the administration of antibodies to MBG also did not affect this indicator (group 3, 2.7 ± 0.3 c. u.). Similar data were obtained in the study of thoracic aortic annuli samples; sFlt-1 was 1.0 ± 0.15 c. u. in group 1, 3.5 ± 0.3 c. u. in group 2 (p < 0.05), and 3.6 ± 0.4 c. u. in group 3 (p < 0.05). General data are presented in Figure 2.
Fig. 2. The level of biological factors in the placenta and thoracic aorta: a – the content of endoglin in the placenta; b – the content of sFlt-1 in the placenta; c – the content of sFlt-1 in the thoracic aorta. C – group of rats with a normal diet (control); PLCAb(–) – group of rats with a preeclampsia-like condition that was not injected with antibodies to MBG; PLCAb(+) – group of rats with a preeclampsia-like condition that was injected with antibodies to MBG
Рис. 2. Уровень биологических факторов в плаценте и грудной аорте: a — содержание эндоглина в плаценте; b — содержание sFlt-1 в плаценте; c — содержание sFlt-1 в грудной аорте. К — группа крыс с обычной диетой (контроль); ППСAb(–) — группа крыс с преэклампсия-подобным состоянием, которым не вводили антитела к МБГ; ППСAb(+) — группа крыс с преэклампсия-подобным состоянием, которым вводили антитела к МБГ
During phase 2 of the study, an increase in blood pressure was measured in all patients with preeclampsia: systolic blood pressure was 112 ± 2 mm Hg in the control group and 150 ± 4 mm Hg in preeclamptic patients (p < 0.001). Diastolic blood pressure was also affected; it was 72 ± 2 mm Hg in the control group and 99 ± 2 mm Hg in patients with preeclampsia (p < 0.001).
Patients with preeclampsia had a clinically significant level of proteinuria (average per day, 2.12 ± 0.46 g/l). In the control group, protein was not detected in the urine of some patients or its amount did not reach clinically significant levels (average per day, 0.08 ± 0.04 g/l; p < 0.01).
An increase in blood pressure and urinary protein excretion in patients with preeclampsia were determined alongside an increase in the blood plasma concentration of MBG. Its level in women with physiological pregnancy was 0.9 ± 0.06 nmol/L compared to 1.7 ± 0.07 nmol/L in women with preeclampsia (p < 0.001).
An increase in the MBG level was accompanied by a decrease in the activity of erythrocyte Na+/K+-ATPase: 3.11 ± 0.1 μmol Fn/ml per hour in the control group compared to 1.44 ± 0.08 μmol Fn/ml per hour in the preeclamptic patients (46.3% of the amount in the control group; p < 0.001). Moreover, processing of preeclamptic patients’ blood plasma samples with antibodies to MBG 3E9 mAbs led to a significant increase in the Na+/K+-ATPase activity level to 2.31 ± 0.19 μmol Fn/ml per hour (74.3% of the control indicator). This value significantly differed from the value obtained from plasma samples in the absence of antibodies to MBG (p < 0.01).
Correlation analysis performed using the non-parametric Spearman coefficient revealed a significant relationship between increased blood plasma MBG levels and elevated systolic blood pressure (rs = 0.84, p < 0.05). A similar correlation was established when comparing changes in diastolic blood pressure and MBG levels (rs = 0.84, p < 0.05). Increases in both systolic and diastolic blood pressures correlated with a change in the activity of erythrocyte Na+/K+-ATPase (rs = –0.60, p < 0.05). There was also a significant inverse correlation between increased blood plasma MBG and decreased activity of the Na+/K+-ATPase of erythrocytes (rs = –0.72, p < 0.05). General information of the indicators evaluated in the clinical study is presented in the Table.
Changes in the level of clinical and laboratory parameters studied in the examined groups of patients, M ± S Изменение уровня исследованных клинико-лабораторных показателей в обследованных группах пациенток, M ± S | |||
Indicators / Показатели | Physiological pregnancy (n = 14) / Физиологическая беременность (n = 14) | Preeclampsia (n = 16) / Преэклампсия (n = 16) | |
Systolic blood pressure, mm Hg / Систолическое артериальное давление, мм рт. ст. | 112 ± 2 | 150 ± 4 | |
Diastolic blood pressure, mm Hg / Диастолическое артериальное давление мм рт. ст. | 72 ± 2 | 99 ± 2 | |
The level of daily proteinuria, g/l /Уровень суточной протеинурии, г/л | 0.08 ± 0.04 | 2.12 ± 0.46 | |
MBG level in blood plasma, nmol/l / Уровень МБГ в плазме крови, нмоль/л | 0.9 ± 0.06 | 1.7 ± 0.07 | |
Activity of Na+/K+-ATPase of erythrocytes mmol Fn/ml per hour (% control value) / Активности Na+/K+-ATФазы эритроцитов мкмоль Фн/мл в час (% контрольной величины) | 3.11 ± 0.1 | Without 3E9 mAbs / Без 3E9 mAbs | With 3E9 mAbs / С 3E9 mAbs |
1.44 ± 0.08 (46.3) | 2.31 ± 0.19 (74.3) | ||
Note. MBG – marinobufagenin. Примечание. МБГ — маринобуфагенин. | |||
The determination of the levels of two anti-angiogenic factors in the placenta, endoglin, and sFLT-1, enabled the finding of significant increases in the content of both substances in the studied samples during the formation of preeclampsia. In particular, the concentration of endoglin was 1.0 ± 0.07 c. u. in physiological pregnancy, and was significantly higher at 2.1 ± 0.15 c. u. in preeclampsia (p < 0.001).
The same changes were revealed when studying the content of sFLT-1: 1.0 ± 0.11 c. u. in physiological pregnancy compared to 2.3 ± 0.15 c. u. in preeclampsia (p < 0.001). Information on the changes in anti-angiogenic factors is presented in Figure 3.
Fig. 3. The level of endothelin-1 (a) and sFLT-1 (b) in the placenta of the examined groups of patients. С – control group, physiological pregnancy; PE – main group, preeclampsia. ** Significant differences between group K and PE, р < 0.001
Рис. 3. Уровень содержания эндоглина-1 (a) и sFLT-1 (b) в плаценте обследованных групп пациенток. К — группа контроля, физиологическая беременность; ПЭ — основная группа, преэклампсия. ** Достоверные различия между группой К и ПЭ, р < 0,001
DISCUSSION
The experimental formation of a preeclampsia-like state was accompanied by an increase in the levels of anti-angiogenic factors endoglin and sFLT-1 in the placenta and thoracic aorta. These changes occurred alongside a significant increase in the blood plasma concentration of MBG and were accompanied by the development of classical clinical manifestations of preeclampsia, such as increased blood pressure and significant proteinuria. These findings were also confirmed by clinical trials. In particular, patients with preeclampsia had significant increases in endoglin and sFLT-1 levels in the placenta. Blood plasma MBG levels also increased significantly and were associated with an increase in blood pressure. An increase in anti-angiogenic factors promotes the development of ischemic placental insufficiency due to dysregulated trophoblast invasion, resulting in incomplete remodeling of maternal vessels. This is exacerbated by a significant increase in blood plasma MBG, which leads to decreased activity of Na+/K+-ATPase. This mechanism was confirmed in the clinical study. As a result, the intracellular sodium content is increased and, as a consequence, Na+-Ca++ exchange is activated, with subsequent vasoconstriction and tissue ischemia [9, 12]. According to our data, the emerging disorders are of a complex nature and involve the participation of several biochemical cascades.
CONCLUSION
During the development of preeclampsia, increases in the blood plasma MBG and placental anti-angiogenic factors endoglin and sFLT1 occur, which underlines the complex nature of its pathogenesis. The results obtained clinically were confirmed by an experimental study modeling a preeclampsia-like state in rats.
The work was supported by grant No. 18-15-00222 Conducting basic scientific research and exploratory research by individual research groups.
The authors express gratitude to A.Ya. Bagrov and N.I. Agalakova for methodological support of the study.
About the authors
Vitaly A. Reznik
St. Petersburg State Pediatric Medical University, Ministry of Healthcare of the Russian Federation
Author for correspondence.
Email: vitaliy-reznik@mail.ru
MD, PhD, Associate Professor, Head Physician on Obstetrics and Gynecology
Russian Federation, St. PetersburgDmitry O. Ivanov
St. Petersburg State Pediatric Medical University, Ministry of Healthcare of the Russian Federation
Email: doivanov@yandex.ru
MD, PhD, Dr Med Sci, Professor, Rector
Russian Federation, St. PetersburgNikolaj N. Ruhlyada
St. Petersburg State Pediatric Medical University, Ministry of Healthcare of the Russian Federation
Email: nicolasr@mail.ru
MD, PhD, Dr Med Sci, Professor, Head, Department of Obstetrics and Gynecology
Russian Federation, St. PetersburgNatal’ya I. Tapilskaya
St. Petersburg State Pediatric Medical University, Ministry of Healthcare of the Russian Federation
Email: tapnatalia@yandex.ru
MD, PhD, Dr Med Sci, Professor, Department of Obstetrics and Gynecology
Russian Federation, St. PetersburgIvan A. Ershov
St. Petersburg State Pediatric Medical University, Ministry of Healthcare of the Russian Federation
Email: ershov@yandex.ru
Resident Physician, Department of Obstetrics and Gynecology
Russian Federation, St. PetersburgReferences
- Климанова Е.А. Связывание уабаина и маринобуфагенина с Na, K-ATФазой: Дис. … канд. биол. наук. – М., 2015. – 109 с. [Klimanova EA. Svyazyvanie uabaina i marinobufagenina s Na,K-ATFazoy. [dissertation] Moscow; 2015. 109 p. (In Russ.)]
- Козлова А.В., Витковский Ю.А. Содержание сосудисто-эндотелиального фактора роста и его растворимых форм рецепторов I и II типа в слезной жидкости при длительном применении мягких контактных линз из различных материалов // Забайкальский медицинский вестник. – 2012. – № 2. – С. 101–105. [Kozlova AV, Vitkovsky YuA. Content of vascular endothelial growth factor and its type I, II soluble receptors in tear fluid conditioned by prolonged use of soft contact lenses made of different materials. Zabaykal’skiy meditsinskiy vestnik. 2012;(2):101-105. (In Russ.)]
- Мурашко А.В., Файзуллин А.Л., Мурашко Л.Е. Ангиогенные факторы роста в патогенезе преэклампсии // Архив акушерства и гинекологии им. В.Ф. Снегирева. – 2015. – Т. 2. – № 3. – С. 4–7. [Murashko AV, Faizullin AL, Murashko LE. Angiogenic growth factors in the pathogenesis of pre-eclampsia. Arkhiv akusherstva i ginekologii im. V.F. Snegireva. 2015;2(3):4-7. (In Russ.)]
- Резник В.А. Вазоактивные факторы в патогенезе преэклампсии // Артериальная гипертензия. – 2006. – Т. 12. – № 1. – С. 22–31. [Reznic V. Vasoactive factors in the preeclampsia pathogenesis. Arterial᾿naia gipertenziia. 2006;12(1):22-31. (In Russ.)]
- Рыбакова А.В., Макарова М.Н. Методы эвтаназии лабораторных животных в соответствии с Европейской Директивой 2010/63 // Международный вестник ветеринарии. – 2015. – № 2. – С. 96–107. [Rybakova AV, Makarova MN. Methods of euthanasia of laboratory animals, in accordance with European Directive 2010/63. Mezhdunarodnyy vestnik veterinarii. 2015;(2):96-107. (In Russ.)]
- Соколов Д.И., Колобов А.В., Лесничия М.В., и др. Роль проангиогенных и антиангиогенных факторов в развитии плаценты // Медицинская иммунология. – 2008. – Т. 10. – № 4–5. – С. 347–352. [Sokolov DI, Kolobov AV, Lesnichiya MV, et al. Role of pro- and antiangiogenic factors in placental development. Meditsinskaia immunologiia. 2008;10(4-5):347-352. (In Russ.)]
- Ходжаева З.С., Мусиенко Е.В., Сухих Г.Т. Особенности секреции про- и антиангиогенных факторов в I триместре беременности у женщин с привычным выкидышем в анамнезе // Проблемы репродукции. – 2011. – Т. 17. – № 2. – С. 30–34. [Khodzhaeva ZS, Musienko EV, Sukhikh GT. Secretion of pro- and antiangiogenic factors during first trimester of -pregnancy in women with habitual miscarriages in the past. Modern reproductive technologies. 2011;17(2):30-34. (In Russ.)]
- Яковлева Н.Ю., Хазова Е.Л., Васильева Е.Ю., Зазерская И.Е. Соотношение ангиогенных и антиангиогенного факторов при преэклампсии // Артериальная гипертензия. – 2016. – Т. 22. – № 5. – С. 488–494. [Yakovleva NYu, Khazova EL, Vasil’eva EYu, Zazerskaya IE. Ratio of angiogenic and anti-angiogenic factors in preeclampsia. Arterial᾿naia gipertenziia. 2016;22(5): 488-494. (In Russ.)]
- Fedorova OV, Lakatta EG, Bagrov AY. Differential effects of acute NaCl loading on endogenous ouabain like and marinobufagenin like ligands of the sodium pump in Dahl hypertensive rats. Circulation. 2000;102(24):3009-3014.
- Fedorova OV, Simbirtsev AS, Kolodkin NI, et al. Monoclonal antibody to an endogenous bufadienolide, marinobufagenin, reverses preeclampsia-induced Na/K-ATPase inhibition and lowers blood pressure in NaCl-sensitive hypertension. J Hypertens. 2008;26(12):2414-2425. https://doi.org/10.1097/HJH.0b013e328312c86a.
- Fedorova OV, Ishkaraeva VV, Grigorova YN, et al. Antibody to Marinobufagenin Reverses Placenta-Induced Fibrosis of Umbilical Arteries in Preeclampsia. Int J Mol Sci. 2018;19(8):2377. https://doi.org/10.3390/ijms19082377.
- Morton JS, Cooke CL, Davidge ST. In Utero Origins of Hypertension: Mechanisms and Targets for Therapy. Physiol Rev. 2016;96(2):549-603. https://doi.org/10.1152/physrev.00015.2015.
- Naljayan MV, Karumanchi SA. New developments in the pathogenesis of preeclampsia. Adv Chronic Kidney Dis. 2013;20(3):265-270. https://doi.org/10.1053/j.ackd.2013.02.003.
- Seki H. Balance of antiangiogenic and angiogenic factors in the context of the etiology of preeclampsia. Acta Obstet Gynecol Scand. 2014;93(10):959-964. https://doi.org/10.1111/aogs.12473.
Supplementary files




