Effects of LongTerm Application of Mineral Fertilizers and Manure on Agrochemical Properties of Gray Forest Soil, Crops Productivity and Carbon Sequestration
- Authors: Zinyakova N.B.1, Sokolova D.A.1, Lebedeva T.N.1, Udal’tsova S.N.1, Semenov V.M.1,2
-
Affiliations:
- Instituteof Physicochemical and Biological Problems in Soil Science, RAS
- АllRussian Research Institute of Phytopathology
- Issue: No 4 (2024)
- Pages: 14-34
- Section: Fertilizers
- URL: https://medbiosci.ru/0002-1881/article/view/259555
- DOI: https://doi.org/10.31857/S0002188124040033
- EDN: https://elibrary.ru/dmhymz
- ID: 259555
Cite item
Full Text
Abstract
The effect of long-term application of increasing doses of mineral (from N90P75K100 to N360P300K400) and organic (cattle manure from 25 to 100 t/ha) fertilizers on the fertility of gray forest soil was studied in the micro-plot experiment. Over 9 years, 0.81–3.24 t/ha of nitrogen, 0.68–2.70 t/ha of P2O5 and 0.90–3.60 t/ha of K2O were applied with mineral fertilizers. Manure supplied 43–173 t/ha of dry matter, 16–65 t/ha of Corg, 0.85–3.41 t/ha of Ntot, 0.65–2.59 t/ha of P2O5 and 0.86–3.46 t/ha of K2O. In the yield the mineral fertilizer system exceeded the organic one by an average of 29%. At extreme doses (N360P300K400 and 100 t/ha of cattle manure) mineral fertilizers reduced crop productivity more strongly than organic fertilizers. A direct linear relationship was found between the doses of mineral and organic fertilizers and the increase in the content of available P2O5 and K2O in the soil. Application of extreme doses of fertilizers did not lead to saturation of the soil with available forms of phosphorus and potassium. Long-term application of organic fertilizers increased the soil pH(KCl) by 0.4–1.3 units and mineral fertilizers decreased it by 0.8–1.4 units. Annual application of mineral fertilizers increased soil Corg content by an average of 0.02–0.04% per year, and organic fertilizers – by 0.08–0.17% per year. Manure application at 100 t/ha over 9 years led to the saturation of the soil with organic carbon. The C : N ratio in the soil under a mineral fertilizer system was decreased, while it with the organic system was increased. An approach to calculate the carbon sequestration efficiency for the assessment of different agronomic practices is proposed. It is shown that the carbon sequestration efficiency of the organic fertilizers was 15% higher than that of the mineral fertilizers.
Full Text
ВВЕДЕНИЕ
В Нечерноземной зоне России сосредоточена 1/5 часть пахотных земель, из которых около 23% представлено серыми лесными почвами [1]. Физико-химические и агрохимические свойства серых лесных почв зависят от ландшафтногеографических условий залегания, длительности эволюции, истории и характера землепользования [2, 3]. Окультуривание серых лесных почв способствует улучшению показателей почвенного плодородия и получению стабильно высоких урожаев сельскохозяйственных культур [4, 5]. По результатам полевых опытов Агрохимслужбы, получена достоверная корреляционная связь продуктивности культур со степенью окультуренности почв, при этом долевое участие минеральных удобрений, степени окультуренности и погодных условий в приросте урожая в лесостепной зоне распространения серых лесных почв составляет 23, 36 и 41% соответственно [6]. Повышение уровня потребления культурами азота, фосфора и калия путем сбалансированного внесения удобрений позволяет увеличить адаптационный потенциал растений к неблагоприятным погодным условиям и уменьшить отрицательное влияние этих факторов на формирование урожаев [7, 8].
Повышение плодородия почв, достигнутое за счет интенсивной химизации земледелия в 1960–1980 гг., позволило смягчить негативные последствия резкого сокращения объемов применения минеральных и органических удобрений на рубеже веков. Однако систематическая недоудобренность культур в эти годы повлекла за собой повсеместную питательную деградацию пахотных почв, произошло снижение содержания подвижных форм фосфора и калия в почвах, баланс элементов минерального питания в земледелии стал выраженно отрицательным [1, 6, 9–11]. При наметившейся в последние годы позитивной тенденции с обеспечением сельскохозяйственных организаций удобрениями и мелиорантами фактические объемы их применения остаются по-прежнему недостаточными для воспроизводства почвенного плодородия [12]. Российское сельское хозяйство нуждается в таких объемах применения минеральных и органических удобрений, которыми можно было бы не только компенсировать текущий вынос питательных элементов урожаем культур и утраченные ранее запасы макрои микроэлементов, но и создать резерв элементов питания в почве. Комплексная рехимизация земледелия в сочетании с биологизацией и экологизацией агротехнологий призвана повысить продукционный потенциал пахотных почв, увеличить запасы органического углерода и минеральных элементов в почвах, синхронизировать питательный режим почвы с онтогенезом растений, оздоровить почвы и агроценозы [13–16].
Хотя минеральная система удобрения обеспечивает, как правило, более высокий урожай культур по сравнению с органической системой [17–20], органические источники элементов питания считаются более предпочтительным удобрением для большинства агроэкосистем, а отрицательные эффекты при применении органической системы удобрения менее выражены, чем минеральной системы [20–23]. Внесение навоза, компостов и растительных остатков способствует рекарбонизации и улучшению структуры почвы, пролонгированному обогащению почвы органическим веществом и биофильными элементами, увеличению таксономического разнообразия микробного сообщества и биологической активности почвы, сбалансированию минерализации–иммобилизации азота и фосфора [24–29]. Накопление новых экспериментальных фактов и мета-анализы разных вопросов применения минеральных и органических удобрений являются приоритетными направлениями современных агрохимических исследований.
Определение оптимальных для конкретных культур и почвенноэкологических условий доз удобрений продолжает оставаться актуальной задачей агрохимии. Известно, что действие разных доз удобрений соответствует зонам кинетического (ростового), физиологического и метаболического отклика продуктивности культур [30]. Кинетический отклик свой ственен при низких и умеренных дозах и проявляется в виде значительного усиления ростовых процессов с линейным увеличением урожая. Для растений, растущих на фоне высоких доз удобрений, характерен физиологический тип отклика, при котором изменение внутренних процессов обеспечивает формирование максимального урожая, хотя прибавка от удобрений не столь значительна, как в кинетической зоне. Метаболическая зона действия присуща экстремально высоким дозам удобрений, вызывающим депрессию ростовых процессов и нарушение обмена веществ, что ведет к снижению продуктивности культур. Для одних культур и типов почв дозы минеральных и органических удобрений могут быть оптимальными, а для других видов и условий – будут избыточными, приводя к снижению урожайности сельскохозяйственных растений и формированию избытка биофильных элементов в почве [31, 32]. Хотя удобрения в высоких дозах агрономически и физиологически менее эффективны, чем в низких и умеренных [33, 34], потребность в максимизации урожая сельскохозяйственных культур, в том числе с целью секвестрации атмосферного СО2, зачастую решается применением высоких и даже экстремально высоких доз минеральных удобрений [35, 36]. Нередки случаи внесения высоких доз навоза с целью увеличения потенциального плодородия почвы, депонирования углерода или утилизации животноводческих остатков [37–39]. Таким образом, в краткосрочных и длительных опытах следует ориентироваться не только на определение оптимальных доз удобрений, но и устанавливать их критические (пороговые) количества, применение которых ведет к снижению урожая.
Цель работы – изучение влияния длительного внесения умеренных, высоких и экстремально высоких доз минеральных и органических удобрений на агрохимические свой ства серой лесной почвы и продуктивность 5-польного севооборота, а также проверить возникновение переудобренности почвы при систематическом применении минеральной и органической систем удобрения.
МЕТОДИКА ИССЛЕДОВАНИЯ
Исследование проводили в микрополевом опыте на протяжении 9-ти лет (с 2011 по 2019 гг.) на серой лесной почве (Московская обл., Серпуховский р-н). Согласно данным многолетних метеонаблюдений, проводимых на Станции комплексного фонового мониторинга, расположенной на территории ПриокскоТеррасного биосферного заповедника (Данки, Серпуховской р-н, Московская обл.), среднегодовая температура воздуха в 1973–2018 гг. в районе исследования составила 5.2±0.3°C, среднегодовое количество осадков – 667±34 мм. Гидротермический коэффициент Селянинова за летний период (июнь–август) варьировал от 0.70 до 2.40, при среднем многолетнем 1.49±0.14 [40]. Для серых лесных почв района исследованийя характерны среднесуглинистый гранулометрический состав, низкое содержание органического вещества и элементов питания, низкая емкость катионного обмена, кислая реакция среды, высокая водоудерживающая и водоподъемная способность [41].
В 2000 г. в сетчатом павильоне на территории Института физикохимических и биологических проблем почвоведения РАН были установлены пластиковые емкости без дна (микроделянки) площадью 0.25 м² (0.5 × 0.5 × 0.3 м) и заполнены серой лесной почвой пахотного неудобренного массива. С 2000 по 2004 г. на микроделянках выращивали кукурузу и овес, используя дозы минеральных удобрений не больше N120P120K120. В 2005 г. был произведен уравнительный посев рапса, и почва была переведена в залежь. Ежегодно естественную растительность, растущую в микроделянках, скашивали и удаляли с поверхности почвы. В мае 2011 г. почва была перекопана на глубину 0–20 см, частично изъята из коробов, смешана и в случайном порядке засыпана вновь. Агрохимическая характеристика почвы на момент закладки опыта была следующей: pHKCl 4.96, Нг (мг-экв/100 г) – 3.98, Сорг и Nобщ (%) – 0.97 и 0.095 соответственно, Nмин, P₂O₅ и K₂O (мг/кг) – 19.8, 88.2 и 73.3 соответственно, сумма обменных оснований – 11.9 мг-экв/100 г, степень насыщенности почв основаниями – 75%, содержание физической глины – 32% [42].
Таблица 1. Содержание углерода и азота в свежем навозе крупного рогатого скота, примененного в длительном микрополевом опыте
Год | Сухое вещество, % | Cорг | Nобщ | C : N |
% на сухую массу | ||||
1 | 20.4±0.9 | 36.4±1.5 | 1.92±0.14 | 19.0 |
2 | 19.8±2.1 | 37.8±1.3 | 1.99±0.06 | 19.0 |
3 | 20.6±0.5 | 38.7±1.3 | 2.02±0.04 | 19.2 |
4 | 19.1±1.5 | 36.8±2.9 | 2.00±0.04 | 18.4 |
5 | 18.8±0.6 | 36.6±2.1 | 1.96±0.10 | 18.7 |
6 | 18.5±1.4 | 40.7±0.9 | 1.99±0.11 | 20.5 |
7 | 19.3±0.4 | 35.4±0.5 | 1.97±0.02 | 18.0 |
8 | 17.9±0.0 | 34.8±0.4 | 1.98±0.05 | 17.6 |
9 | 19.5±2.1 | 38.3±1.6 | 1.91±0.09 | 20.1 |
Примечание. Содержание P₂O₅ и K₂O в среднем 1.50 и 2.00% от сухой массы соответственно.
В опыте создавали модели минеральной (традиционной) и органической системы удобрения. Схема включала варианты: 1 – без удобрений (контроль), 2 – N90P75K100, 3 – N180P150K200, 4 – N270P225K300, 5 – N360P300K400, 6 – навоз в дозе 25 т/га, 7 – навоз 50 т/га, 8 – навоз 75 т/га, 9 – навоз 100 т/га, 10 – чистый пар. В качестве удобрений использовали карбамид, суперфосфат двой ной, сернокислый калий, свежий навоз крупного рогатого скота (КРС). Содержание сухого вещества и биофильных элементов в навозе КРС приведено в табл. 1.
Количества поступающего с навозом КРС азота, фосфора и калия были приблизительно равны дозам минеральных удобрений (табл. 2).
Таблица 2. Ежегодное (графа 1) и общее (графа 2) количество минеральных и органических удобрений, примененных в 9-летнем микрополевом опыте на серой почве, т/га
Вариант | Масса минеральных удобрений и сухого вещества навоза | Углерод | Азот (N) | Фосфор (P₂O₅) | Калий (K₂O) | Всего NPK | ||||||
1 | 2 | 1 | 2 | 1 | 2 | 1 | 2 | 1 | 2 | 1 | 2 | |
1. Без удобрений | 0 | 0 | 0 | 0 | 0 | 0 | 0 | 0 | 0 | 0 | 0 | 0 |
2. N90P75K100 | 0.57 | 5.1 | 0 | 0 | 0.09 | 0.81 | 0.08 | 0.68 | 0.10 | 0.90 | 0.27 | 2.39 |
3. N180P150K200 | 1.14 | 10.2 | 0 | 0 | 0.18 | 1.62 | 0.15 | 1.35 | 0.20 | 1.80 | 0.53 | 4.77 |
4. N270P225K300 | 1.71 | 15.3 | 0 | 0 | 0.27 | 2.43 | 0.23 | 2.03 | 0.30 | 2.70 | 0.80 | 7.16 |
5. N360P300K400 | 2.28 | 20.5 | 0 | 0 | 0.36 | 3.24 | 0.30 | 2.70 | 0.40 | 3.60 | 1.06 | 9.54 |
6. Навоз 25 т/га | 4.8 | 43.2 | 1.79 | 16.1 | 0.09 | 0.85 | 0.07 | 0.65 | 0.10 | 0.86 | 0.26 | 2.36 |
7. Навоз 50 т/га | 9.6 | 86.4 | 3.58 | 32.2 | 0.19 | 1.70 | 0.14 | 1.30 | 0.19 | 1.73 | 0.52 | 4.73 |
8. Навоз 75 т/га | 14.4 | 130 | 5.37 | 48.3 | 0.28 | 2.56 | 0.22 | 1.94 | 0.29 | 2.59 | 0.79 | 7.09 |
9. Навоз 100 т/га | 19.2 | 173 | 7.16 | 64.5 | 0.38 | 3.41 | 0.29 | 2.59 | 0.38 | 3.46 | 1.05 | 9.46 |
10. Чистый пар | 0 | 0 | 0 | 0 | 0 | 0 | 0 | 0 | 0 | 0 | 0 | 0 |
Минеральные и органические удобрения вносили ежегодно весной, разбрасывая по поверхности почвы с последующей заделкой в слой 0–20 см. Дозы внесенных в почву минеральных и органических удобрений были условно отнесены к умеренным (варианты 2 и 6), высоким (варианты 3, 4 и 7, 8) и экстремально высоким (варианты 5 и 9). За 9 лет микрополевого опыта было проведено 2 неполные ротации 5-польного севооборота со следующей очередностью культур: сахарная свекла сорта Анастасия–кукуруза на зеленую массу, гибрид Молдавский–лук репчатый сорта Центурион–картофель сорта Жуковский–картофель сорта Жуковский. Исследованные культуры кроме лука устойчивы к высоким и экстремально высоким дозам удобрений. После всходов в каждом коробе оставляли 2 растения сахарной свеклы и картофеля, 6 растений кукурузы и лука, что обеспечивало нормальную площадь питания. Остатки корней перемешивали с почвой, а основную и побочную продукцию удаляли. Почву чистого пара в течение вегетационного периода дважды перекапывали, сорные растения удаляли. Уборку урожая проводили в сентябре, учитывая урожай основной продукции (корнеплоды сахарной свеклы, зеленая масса кукурузы, луковицы лука и клубни картофеля). Повторность опыта трехкратная.
Образцы почвы отбирали тростевым буром после уборки урожая из каждой повторности согласно схеме опыта. Отобранные образцы смешивали и высушивали на открытом воздухе с удалением видимых остатков растений и мезофауны, просеивая через сито с диаметром отверстий 2 мм. В образцах почвы, растертых до частиц <1 мм, определяли величину pHKCl потенциометрическим методом (Sartorius Basic Meter PB-11), содержание подвижных форм фосфора (P₂O₅) по Кирсанову в вытяжке 0.2 н. HCl спектрофотометрическим методом (UNICO-1200) и калия (K₂O) по Кирсанову в вытяжке 0.2 н. HCl методом пламенной фотометрии (BWB-XP Perfomance Plus). Содержание общего (органического) углерода и общего азота определяли с помощью CNHS-анализатора (Leco 932) сухим сжиганием. Экспериментальные данные приведены в виде средних величин из 3-х аналитических повторений и их стандартных отклонений.
РЕЗУЛЬТАТЫ И ИХ ОБСУЖДЕНИЕ
Урожай культур. В условиях микрополевого опыта устраняется почвенная неоднородность, четче реализуется основной действующий фактор при сохранении совокупности естественных почвенных процессов и агроклиматических факторов, создается практически идеальное распределение гранул минеральных удобрений и частиц навоза по поверхности почвы, их равномерное смешивание с пахотным слоем. В итоге полностью реализуется продукционный потенциал культур. Урожай возделываемых культур на протяжении 9 лет микрополевого опыта был сопоставим с таковым, полученным для опытных культур в крупноделяночных опытах или в производственных условиях (табл. 3).
Таблица 3. Урожай культур при систематическом внесении возрастающих доз минеральных и органических удобрений в течение 9 лет
Вариант | 1-я ротация | 2-я ротация | |||||||
сахарная свекла (корнеплоды) | кукуруза (зеленая масса) | лук репчатый | картофель (клубни) | картофель (клубни) | сахарная свекла (корнеплоды) | кукуруза (зеленая масса) | лук репчатый | картофель (клубни) | |
Без удобрений | 3.18±0.24 – | 1.64±0.14 – | 0.65±0.06 – | 1.27±0.18 – | 0.71±0.20 – | 0.70±0.06 – | 1.26±0.13 Нет | 0.27±0.05 Нет | 0.98±0.10 Нет |
N90P75K100 | 4.42±0.22 39 | 3.73±0.19 127 | 1.01±0.13 56 | 2.93±0.06 131 | 1.58±0.51 122 | 2.09±0.14 196 | 4.13±0.33 227 | 0.47±0.01 74 | 1.31±0.12 34 |
N180P150K200 | 5.85±0.27 84 | 6.68±0.21 307 | 1.23±0.07 90 | 3.89±0.40 207 | 2.52±0.19 254 | 3.32±0.18 371 | 8.40±0.56 565 | 0.63±0.03 132 | 2.59±0.17 166 |
N270P225K300 | 6.62±0.40 108 | 7.88±0.41 380 | 0.79±0.08 23 | 3.77±0.20 197 | 3.28±0.20 361 | 2.61±0.28 270 | 8.96±0.44 609 | 0.69±0.02 155 | 3.19±0.06 226 |
N360P300K400 | 6.25±0.16 97 | 7.15±0.62 336 | 0.65±0.14 0 | 3.61±0.26 185 | 2.54±0.36 257 | 1.66±0.08 135 | 10.1±0.76 699 | 0.40±0.08 49 | 2.11±0.21 116 |
Навоз 25 т/га | 4.03±0.50 27 | 3.05±0.23 86 | 0.85±0.03 31 | 1.57±0.02 24 | 1.25±0.11 75 | 1.45±0.13 106 | 4.56±0.63 261 | 0.34±0.03 25 | 1.45±0.12 48 |
Навоз 50 т/га | 5.21±0.60 64 | 4.17±0.23 154 | 1.18±0.10 82 | 2.71±0.42 114 | 1.35±0.23 90 | 2.58±0.18 267 | 6.69±0.94 429 | 0.60±0.02 124 | 1.91±0.12 96 |
Навоз 75 т/га | 5.71±0.30 80 | 5.16±0.04 215 | 0.82±0.05 27 | 2.08±0.10 64 | 1.76±0.35 148 | 3.71±0.27 427 | 7.51±0.07 494 | 0.58±0.09 117 | 2.09±0.15 114 |
Навоз 100 т/га | 6.21±0.65 95 | 5.56±0.21 239 | 0.78±0.16 21 | 2.00±0.21 58 | 0.94±0.11 33 | 2.05±0.12 191 | 7.39±0.04 484 | 0.41±0.06 53 | 2.44±0.08 150 |
НСР05, кг/м² | 0.70 | 0.51 | 0.13 | 0.38 | 0.37 | 0.30 | 0.87 | 0.07 | 0.19 |
Примечание. Над чертой – кг/м², под чертой – прибавка к контролю без удобрений, %.
Считается, что минеральная система увеличивает актуальное плодородие почв, превосходя органическую по агрономической и экономической эффективности, тогда как органическая система удобрения положительно сказывается на потенциальном плодородии [1, 6, 11, 43–46]. Применение минеральных и органических удобрений в нашем опыте на серой лесной почве повышало урожай культур по сравнению с неудобренным контролем в среднем за 2 ротации севооборота соответственно на 207 и 142%, при этом прибавка урожая культур увеличивалась в ряду: лук репчатый < картофель < сахарная свекла < кукуруза. Величина урожая культур при применении возрастающих доз минеральных удобрений в среднем за 9 лет опыта была на 29% (от –1 до +87%) больше, чем от органических удобрений. Известно, что при органическом земледелии урожай культур меньше, чем при традиционном земледелии с применением минеральных удобрений на 20% [17] и на 5–58% [19]. В сравнимых условиях полевых опытов урожай при применении NPK был больше по сравнению с внесением навоза на 25% на черноземах, на серых лесных и дерновоподзолистых почвах – на 12–17% [18], в других регионах – на 4–8% [20]. Во 2-й ротации величина урожая культур была меньше, чем в 1-й ротации (рис. 1).
Рис. 1. Изменение урожая культур во 2-й ротации севооборота в зависимости от применения минеральных и органических удобрений (в среднем для сахарной свеклы, кукурузы, лука и картофеля). Варианты: 1 – без удобрений (контроль), 2 – N90P75K100, 3 – N180P150K200, 4 – N270P225K300, 5 – N360P300K400, 6 – навоз 25 т/га, 7 – навоз 50 т/га, 8 – навоз 75 т/га, 9 – навоз 100 т/га. Нумерация вариантов та же в табл. 2–5 и на рис. 1–5.
Особенно сильное снижение урожая по сравнению с 1-й ротацией произошло в неудобренном контроле и в вариантах с возрастающими дозами минеральных удобрений (соответственно на 46 и 19–44%) и в меньшей мере – при применении органических удобрений (на 4–21%). Как следствие, если в 1-й ротации дополнительная прибавка урожая при применении минеральной системы по сравнению с органической составляла 42%, то во 2-й ротации – 13%, при этом урожай сахарной свеклы при внесении навоза оказался даже больше.
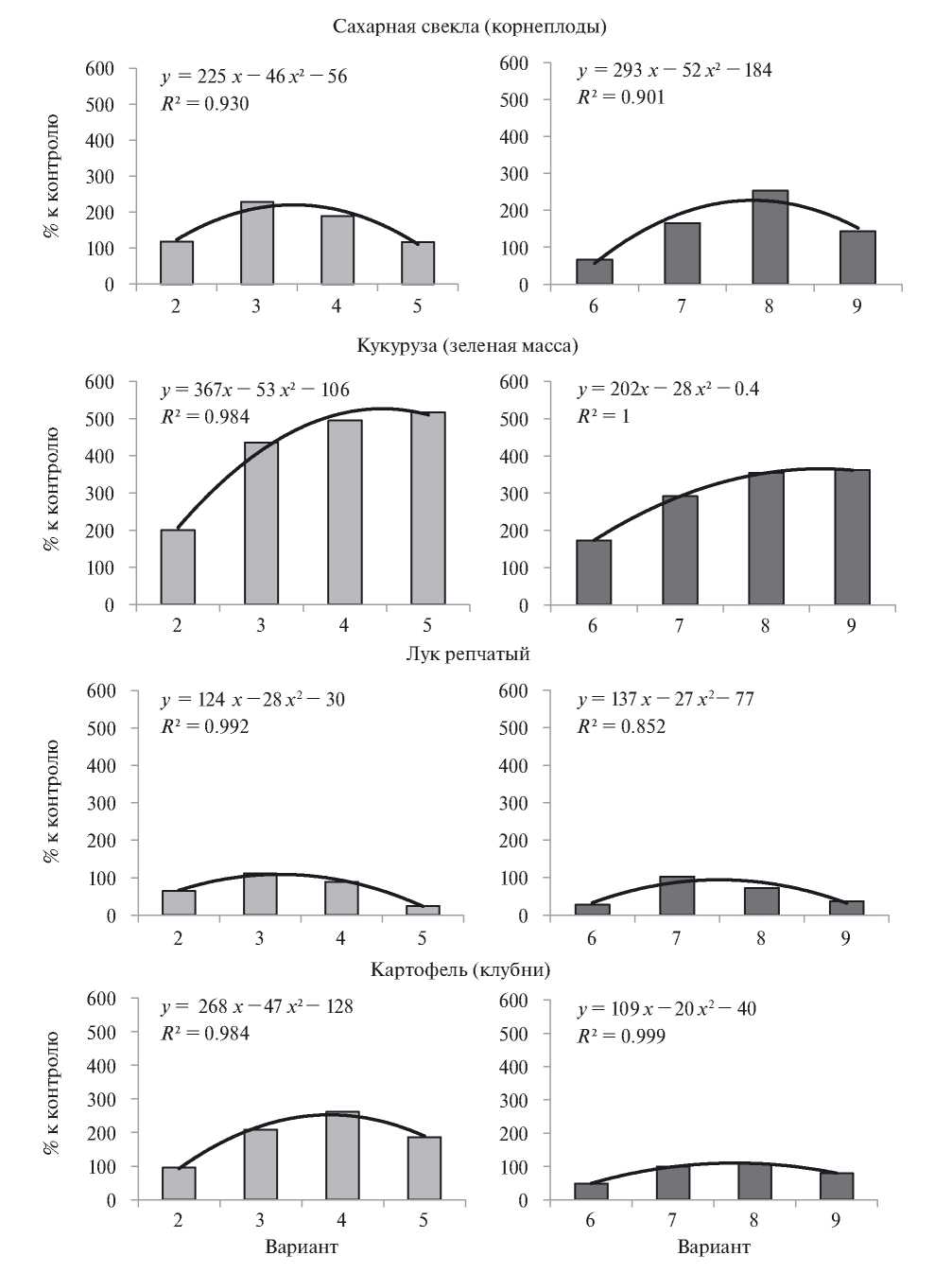
Размеры прибавки урожая культур от возрастающих доз минеральных и органических удобрений подчинялись полиномиальной зависимости (рис. 2).
Рис. 2. Прибавка урожая культур в зависимости от доз минеральных и органических удобрений (среднее за 2 ротации севооборота).
При минеральной системе удобрения наибольший урожай корнеплодов сахарной свеклы и луковиц лука формировался при применении N180P150K200, клубней картофеля – при дозе N270P225K300, зеленой массы кукурузы – при экстремально высокой дозе N360P300K400. Однако каждая более высокая доза минеральных удобрений являлась, как правило, менее эффективной, чем предыдущая, а величины прибавки от экстремально высоких доз были не стабильными в течение 2-х ротаций, действуя в метаболической зоне отклика растений на удобрения. Поэтому при возделывании лука на серой лесной почве с низким исходным уровнем плодородия физиологически оптимальным является применение минеральных удобрений в интервале доз от N90P75K100 до N180P150K200, сахарной свеклы и картофеля – от N180P150K200 до N270P225K300, кукурузы на зеленую массу – от N270P225K300 до N360P300K300. В целом, для возделываемых видов овощных, технических и кормовых культур экстремально высокие дозы минеральных удобрений на уровне N360P300K400 были избыточными, не дававшими соответствующего прироста урожая или вовсе подавлявшими рост и развитие растений.
В вариантах с навозом КРС самая высокая прибавка урожая была получена для биомассы кукурузы при экстремальной дозе 100 т/га, эквивалентной N360P300K400 минеральных удобрений (табл. 3). При этом прибавка при применении навоза КРС 100 т/га лишь немногим превышала таковую от дозы 75 т/га (362 и 354% соответственно). Урожай корнеплодов сахарной свеклы и клубней картофеля возрастал только до дозы навоза 75 т/га, лука – до дозы навоза 50 т/га. Ежегодное внесение навоза КРС 100 т/га не давало дополнительной прибавки урожая сахарной свеклы, картофеля и лука. В других исследованиях внесение 4–5-кратных доз навоза неблагоприятно сказывалось на росте растений и приводило к снижению урожая [44].
Таким образом, сахарная свекла, кукуруза, картофель и в меньшей мере лук репчатый были достаточно восприимчивы к систематическому внесению высоких доз минеральных (N180P150K200 до N270P225K300) и органических (50–75 т/га) удобрений, но хуже переносили экстремально высокие дозы (N360P300K400 и навоз КРС 100 т/га). Снижение прибавки урожая при внесении экстремально высоких доз по сравнению с высокими дозами может быть вызвано несколькими причинами. Во-первых, избыточное потребление элементов минерального питания нарушает внутреннюю сбалансированность физиологобиохимических и продукционных процессов вегетирующих растений. Во-вторых, высокие концентрации солей подавляют поглотительную и синтетическую деятельность корневых систем. В-третьих, высокие дозы удобрений изменяют физикохимические свой ства почвы, делая их некомфортными для произрастания растений. В-четвертых, внесение высоких доз удобрений создает повышенный уровень фитотоксичности почвы и снижает устойчивость растений к болезням и вредителям. Хотя органические удобрения элиминируют микробный фитотоксикоз минеральных удобрений [47, 48], поступление большого количества органического вещества с экстремально высокими дозами свежего навоза может быть причиной накопления в почве фитотоксичных веществ [49].
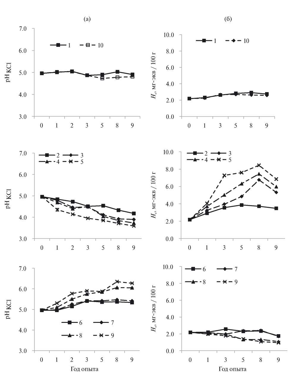
Обменная и гидролитическая кислотность серой лесной почвы. Большинство сельскохозяйственных растений очень требовательны к кислотности почвы. Кислая среда почвенного раствора – главная причина угнетения деятельности почвенных организмов, снижения биологической активности почвы, низких урожаев сельскохозяйственных культур, недостаточной эффективности минеральных удобрений, массовой гибели многолетних трав при перезимовке, низкого содержания белка в зерне и кормах [50]. Обобщение большого массива данных в производственных условиях на дерновоподзолистых и серых лесных почвах показало наличие достоверной корреляции (r = 0.45–0.50) величин урожая культур с рН почв [6]. Систематическое применение минеральных удобрений – одна из главных причин ацидификация сельскохозяйственных почв.
Серую лесную почву по степени кислотности перед началом опыта классифицировали как кислую. За 9 лет систематического применения минеральных удобрений произошло отчетливое уменьшение величины рН почвы на 0.8–1.4 ед. вплоть до 3.59 в варианте N360P300K400. Внесение свежего навоза КРС способствовало, наоборот, увеличению рН на 0.4–1.3 ед. до 6.35 при дозе 100 т/га (рис. 3).
Рис. 3. Изменение обменной (а) и гидролитической (б) кислотности почвы при ежегодном применении минеральных и органических удобрений в возрастающих дозах.
В вариантах без удобрений и чистого пара величины рН почвы флуктуировали в пределах стандартного отклонения. Чем продолжительнее применяли минеральные удобрения, тем существеннее снижался рН (r = −0.627, p < 0.001), в случае применения навоза, наоборот, повышался (r = 0.518, p = 0.001). В вариантах с минеральными удобрениями величина рН почвы отрицательно коррелировала с ежегодными дозами NPK (r = −0.771, p < 0.001) и с суммарным их количеством за все годы внесения (r = −0.911, p < 0.001), а при внесении органических удобрений – соответственно положительно (r = 0.801, p < 0.001 и r = 0.905, p < 0.001).
В течение 9-ти лет применения возрастающих доз минеральных удобрений произошло увеличение гидролитической кислотности серой лесной почвы на 1.30–6.26 мг-экв/100 г (рис. 3). Противоположную динамику отметили при ежегодном внесении навоза КРС, применение которого в возрастающих дозах способствовало снижению гидролитической кислотности на 0.4–1.2 мгэкв/100 г. Величины гидролитической кислотности серой лесной почвы положительно коррелировали с ежегодным (r = 0.818, p < 0.001) и суммарным (r = 0.880, p < 0.001) количеством внесенных минеральных удобрений. Корреляционная связь показателей гидролитической кислотности почвы с ежегодными дозами (r = –0.811, p < 0.001) и суммарным внесением навоза (r = –0.869, p < 0.001) была отрицательной. Судя по коэффициентам корреляции, влияние длительности внесения минеральных удобрений (r = 0.627, p < 0.001) было хотя и достоверным, но менее значимым, чем внесенных доз, а фактор продолжительности внесения навоза – не значимым (r = –0.293, p = 0.116).
Таким образом, минеральные и органические удобрения оказывали разнонаправленное влияние на кислотность серой лесной почвы. Мета-анализ 105 экспериментов, проведенных на разных типах почв в мире, показал снижение рН почвы при применении минеральных азотных удобрений и соломы, тогда как использование навоза приводило к повышению рН почвы [23]. На дерновоподзолистой тяжелосуглинистой почве длительное применение минеральных удобрений оказало существенное влияние на кислотность почвы по всему 1-метровому слою, в то время как дополнительное внесение навоза смягчало подкисляющее действие минеральных удобрений [46]. Однако в 15-летнем эксперименте на слабощелочной почве снижение рН почвы наблюдали как в вариантах с минеральными удобрениями, так и с навозом [51]. По мнению этих авторов, влияние навоза на pH почвы зависело от источника навоза и характеристик почвы. Снижение pH в слабощелочных почвах могло быть вызвано присутствующими в навозе органическими кислотами. В то же время, присутствие карбонатов и бикарбонатов в навозе может повысить pH кислой почвы.
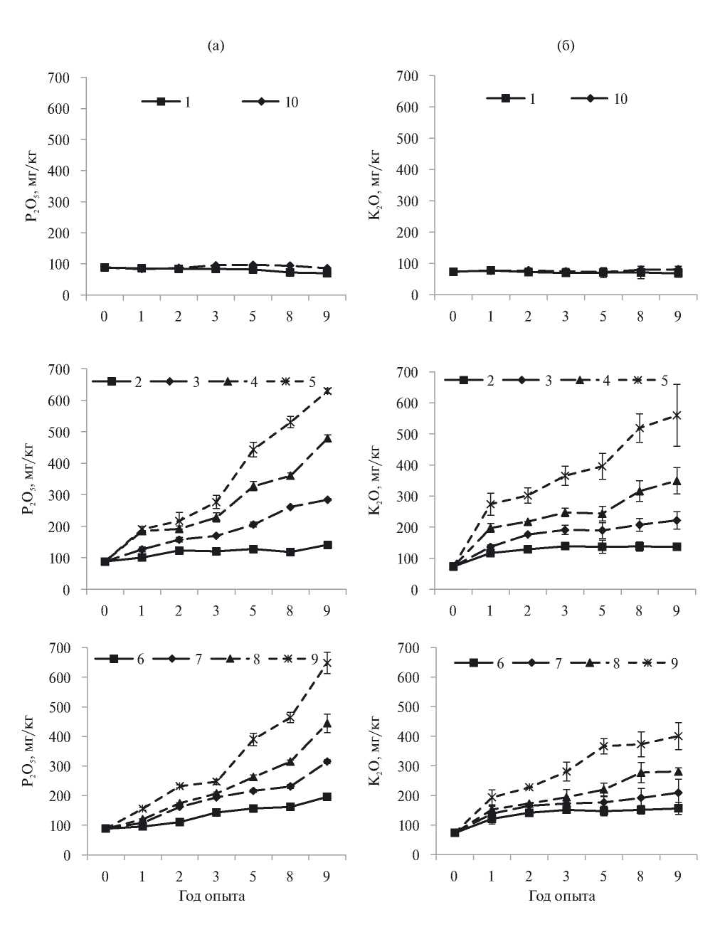
Изменение обеспеченности серой лесной почвы подвижными P₂O₅ и K₂O. Содержание подвижного фосфора в почве является ключевым признаком ее уровня плодородия, а повышение запасов P₂O₅ свидетельствует о росте окультуренности [18, 52]. В свою очередь, содержание и запасы подвижного калия определяют агрохимические ценные свой ства почвы, плодородие и продуктивность почв в целом. Калийный режим пахотных почв зависит от насыщенности севооборотов пропашными культурами, которые выносят значительные количества калия и снижают содержание его подвижных форм, а также от количества и длительности применения калийных удобрений и навоза, повышающих обеспеченность почвы подвижным калием [53]. В производственных условиях на дерновоподзолистых и серых лесных почвах урожай культур коррелировал с содержанием в почве подвижных форм фосфора (r = 0.30–0.50) и калия (r = 0.28–0.49), тогда как в степной и сухостепной зонах эта связь была менее отчетливой [6].
В серой лесной почве без удобрений за 9 лет наблюдений содержание подвижного P₂O₅ уменьшилось в 1.3 раза, при внесении возрастающих доз NPK возросло в 1.6–7.1 раза, в вариантах с органическими удобрениями увеличилось в 2.2–7.4 раза в зависимости от дозы навоза (рис. 4).
Рис. 4. Изменение содержания подвижных форм P₂O₅ (а) и K₂O (б) в почве в течение 9-летнего применения минеральных и органических удобрений в возрастающих дозах.
При внесении экстремальных доз минеральных и органических удобрений содержание подвижного P₂O₅ достигало 480–630 и 444–650 мг/кг соответственно, что свидетельствовало о зафосфачивании и переудобренности почвы. Содержание подвижного фосфора в почве достоверно зависело от величины ежегодных доз минеральных и органических удобрений (r = 0.767, p < 0.001 и r = 0.705, p < 0.001 соответственно) и от суммарного количества фосфора, внесенного в почву с этими удобрениями (r = 0.968, p < 0.001 и r = 0.972, p < 0.001 соответственно) в течение 9-ти лет эксперимента. Влияние длительности внесения возрастающих доз минеральных (r = 0.530, p = 0.001) и органических (r = 0.588, p < 0.001) удобрений на изменение обеспеченности серой лесной почвы подвижным фосфором также было существенным. В дерновоподзолистой тяжелосуглинистой почве за 20 лет опыта в варианте без удобрений происходило снижение содержания подвижного P₂O₅ в 1.1 раза, при применении умеренных доз минеральных удобрений – увеличивалось в 1.2–2.6 раза, а при внесении навоза из расчета 5.7 т/га в год – в 1.2 раза [46, 54].
Влияние возрастающих доз удобрений и длительности их применения на содержание и динамику подвижного калия в серой лесной почве было сходным с таковым для подвижного фосфора. Содержание K₂O в почве без удобрений уменьшилось в 1.1 раза, при внесении возрастающих доз NPK возросло в 3.0–7.7 раза, в вариантах с навозом увеличилось в 2.1–5.5 раза в зависимости от дозы навоза (рис. 4). При умеренных и высоких дозах минеральных и органических удобрений в почве создавался высокий уровень содержания подвижного калия (137–222 и 156–210 мг/кг соответственно). Применение экстремальных доз минеральных удобрений и навоза приводило к переудобренности с содержанием в почве подвижного K₂O вплоть до 350–560 и 281–401 мг/кг соответственно. Содержание подвижного калия в почве достоверно коррелировало с ежегодными дозами внесенного сернокислого калия (r = 0.884, p < 0.001) и суммарным его количеством в течение 9-ти лет внесения (r = 0.893, p < 0.001). Повышение доз навоза и суммарное его поступление в почву за 9 лет опыта давало достоверное увеличение обеспеченности почвы подвижным калием (r = 0.862, p < 0.001 и r = 0.913, p < 0.001 соответственно). Прирост содержания подвижного калия в почве от экстремальных доз минеральных удобрений и навоза оказался соответственно в 1.9 и 1.3 раза больше, чем от умеренных и высоких доз. Продолжительность внесения калийных удобрений и навоза было значимым фактором накопления в почве подвижного калия (r = 0.425, p = 0.011 и r = 0.478, p = 0.004 соответственно), но судя по коэффициентам корреляции менее существенным, чем дозы удобрений.
Примененные в опыте минеральные и органические удобрения не только компенсировали вынос фосфора и калия урожаем культур, но и создавали в почве переходящий запас этих элементов в подвижных формах с прямой зависимостью от количества внесенных удобрений и продолжительности их применения. Были получены уравнения регрессии, отражающие зависимости между суммарным поступлением удобрений в почву в течение 9-ти лет опыта и изменением содержания подвижных P₂O₅ и K₂O в среднесуглинистой серой лесной почве [55]. Согласно полученным уравнениям, для повышения содержания подвижного P₂O₅ на 10 мг/кг требовалось внести дополнительно фосфорных удобрений 55 кг/га или свежего навоза КРС 20 т/га, а для повышения содержания подвижного K₂O на 10 мг/кг – калийных удобрений 85 кг/га или навоза 30 т/га. По существующим нормативам, установленным расчетными способами, для повышения содержания подвижных P₂O₅ и K₂O на 10 мг/кг в суглинистой серой лесной почве рекомендуется вносить фосфорных удобрений 90–100 кг/га и калийных удобрений 35–45 кг/га [18]. Выявленные различия в затратах фосфорных и калийных удобрений на накопительный сдвиг подвижных форм фосфора и калия в почве могли быть обусловлены как разными способами определения “нормативных доз”, так и неодинаковым набором агрохимических характеристик почв и возделываемых культур в севооборотах. Как показано ранее, дозы расхода удобрений на накопление в почве 10 мг/кг P₂O₅ и K₂O зависели от гранулометрического состава, содержания органического вещества, рН почвы, исходного содержания подвижных фосфора и калия [18, 52].
Таким образом, внесение фосфора и калия с минеральными и органическими удобрениями в сопоставимых дозах дало сходное увеличение обеспеченности серой лесной почвы подвижными формами этих элементов. В почве с органической системой удобрения не обнаружили недостатка подвижного фосфора, как это бывает в условиях органического земледелия. Применение высоких и экстремально высоких доз фосфорнокалийных минеральных удобрений или навоза КРС приводило к быстрому накоплению в серой лесной почве подвижных P₂O₅ и K₂O до сверхвысоких уровней. Переудобренность почвы не сопровождалась насыщением почвы подвижными формами фосфора и калия.
Содержание углерода и азота в серой лесной почве при ежегодном внесении возрастающих доз минеральных и органических удобрений. Содержащееся в почве органическое вещество опосредованно влияет на урожай культур, выступая источником азота и других элементов минерального питания, создавая комфортные для растений воднофизические свой ства, поддерживая и регулируя микробную активность, контролируя трансформацию удобрений в почве. Улучшение минерального и особенно азотного питания растений происходит уже при повышении содержания в почве Сорг на 0.1–0.2%, а прирост Сорг ≥ 0.3% обеспечивает улучшение воднофизических свой ств почвы [56]. Мета-анализ мировых данных показал наличие положительной связи между концентрацией Сорг в почве в интервале от 0.1 до 2.0% и урожаем пшеницы и кукурузы независимо от применения минеральных удобрений, которая нивелировалась выше критического уровня 2% Сорг [57]. Для лесостепных черноземов среднеи тяжелосуглинистого гранулометрического состава критический уровень содержания Сорг составляет 2.0–2.3% [58].
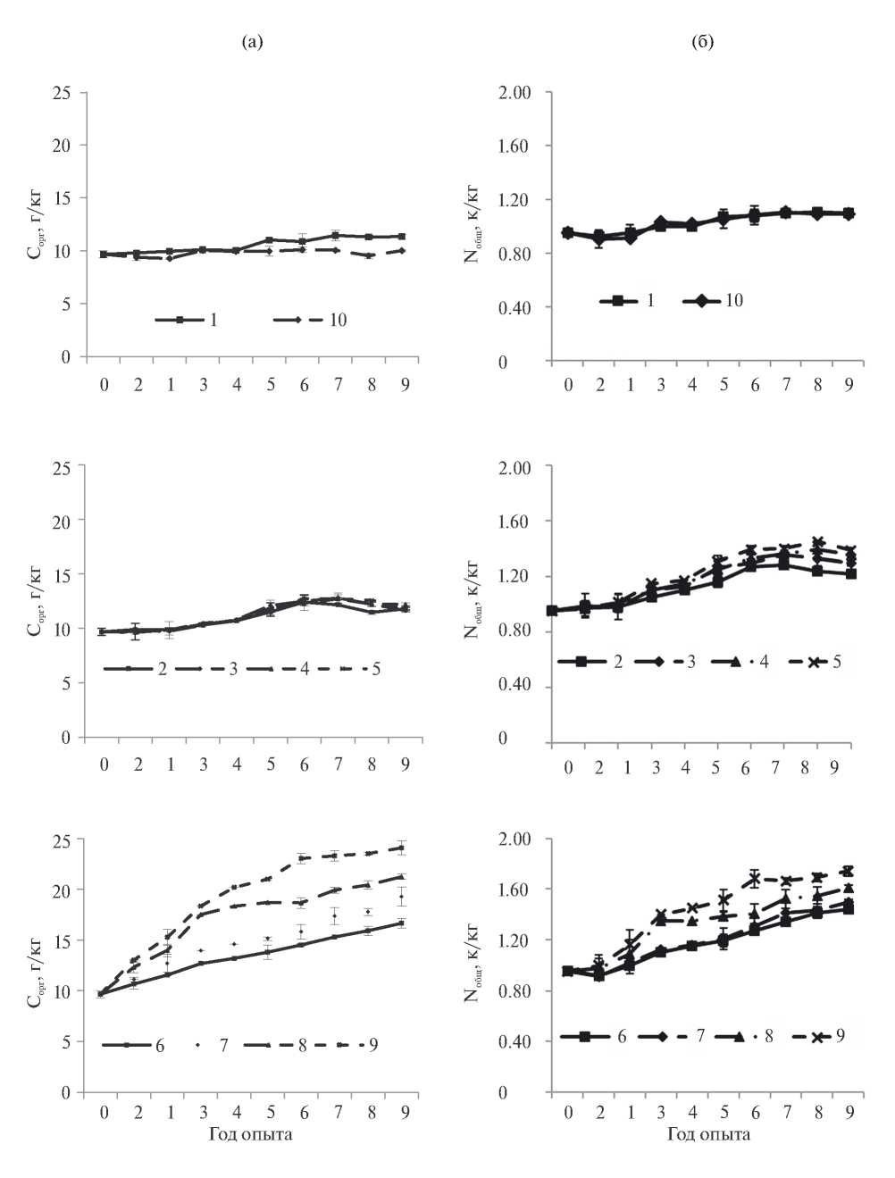
Применение минеральных и органических удобрений – важные факторы, определяющие содержание, качество и функции почвенного органического вещества. В микрополевом опыте за 9 лет исследования содержание Сорг в почве при внесении возрастающих доз минеральных удобрений увеличилось в среднем на 0.25%, в вариантах с органическими удобрениями – на 0.70–1.44% в зависимости от дозы навоза (рис. 5).
Рис. 5. Изменение содержания органического углерода (а) и общего азота (б) в почве в течение 9-летнего применения минеральных и органических удобрений в возрастающих дозах.
При применении навоза почва обогащалась органическим веществом самого навоза и растительных остатков, тогда как в случае с минеральными удобрениями единственным источником поступления органического вещества в почву были пожнивные и корневые остатки возделываемых культур. Полученные данные согласуются с результатами большого числа опытов в РФ и в мире, показывающими неустойчивое увеличение содержания Сорг в почве при минеральной системе удобрения и значимое обогащение почвы органическим веществом – при органической системе [18, 23, 44, 45, 58–62].
Содержание в почве валового органического углерода достоверно зависело от продолжительности применения (r = 0.860, p < 0.001) возрастающих доз минеральных удобрений и суммарного поступления питательных веществ с удобрениями за годы исследования (r = 0.672, p < 0.001), а влияние ежегодных доз NPK было не значимым. Напротив, установлена прямая зависимость содержания Сорг от ежегодных возрастающих доз навоза (r = 0.793, p < 0.001), суммарного количества навоза, внесенного в течение 9-ти лет (r = 0.966, p < 0.001) и продолжительности его внесения (r = 0.628, p < 0.001). Если при внесении доз навоза 25 и 50 т/га наблюдали достаточно равномерное повышение содержания Сорг на протяжении 9-ти лет, то при экстремально высоких дозах 75 и 100 т/га после поступления навоза КРС 700–900 т/га (50–65 т C/га) наметилась тенденция к насыщению почвы Сорг на уровне 2.34±0.04% [55]. Этот уровень Сорг предложено считать нижней границей насыщения серой лесной почвы органическим веществом. Верхняя граница насыщения пахотной серой лесной почвы органическим углеродом составляла 2.75% и достигалась поступлением свежего навоза КРС 1300 т/га, что эквивалентно 95 т C/га.
Почвенные циклы углерода и азота тесно связаны между собой в виде многочисленных, разнообразных и сопряженных биотических процессов [25]. Применение азотных удобрений является главным фактором максимизации продуктивности сельскохозяйственных культур [30, 32]. Поступление в почву азота с минеральными удобрениями изменяет углеродноазотное равновесие [63], свой ственное почве, создавая предпосылки праймингэффекта [64] и различных вторичных эффектов, вызывающих экологические нарушения [31]. По результатам многолетних полевых опытов, длительное (4–107 лет) применение минеральных азотных удобрений (от 12 до 300 кг N/га) сопровождается чаще убылью (до –0.80 г N/кг) общего азота в почве, чем его приростом (до +0.40 г N/кг), показывая в среднем в опытах потери азота на уровне 0.10 г N/кг [65]. При этом, чем продолжительнее было применение удобрений, тем значительнее убыль азота в почве. Наблюдаемое накопление общего азота в почве с увеличением дозы удобрений было связано с увеличением массы растительных остатков в результате роста урожая, а обеднение в присутствии азотных удобрений – ускорением разложения растительных остатков, азот которых реутилизировался растениями или терялся из почвы. По результатам одного из мета-анализов, внесение азотных удобрений в дозах 0–125, 126–250 и >250 кг/га почти пропорционально повышает содержание Nобщ в почве соответственно на 12, 16 и 27% [66]. Согласно другому обобщению, применение азотных удобрений в дозе 240 кг/га давало меньший прирост Nобщ в почве по сравнению с дозой в 120 кг/га [67]. Применение органических удобрений не давало особых преимуществ в обогащении почвы азотом в отличие от Сорг по сравнению с минеральными удобрениями [66].
В микрополевом опыте за 9 лет содержание Nобщ в серой лесной почве в вариантах с минеральными удобрениями возросло в 1.1–1.3 раза по сравнению с неудобренным контролем, с органическими удобрениями – в 1.3–1.6 раза, хотя в почву поступало примерно одинаковое количество азота (табл. 4).
Таблица 4. Изменение агрохимических свой ств серой лесной почвы при ежегодном внесении возрастающих доз минеральных и органических удобрений.
Вариант | Показатель | |||||
pHKCl | Cорг | Nобщ | Nмин | P₂O₅ | K₂O | |
% | мг/кг почвы | |||||
Чистый пар | 5.02 4.81 | 0.94 1.00 | 0.09 0.11 | 1.36 1.36 | 83 86 | 77 81 |
Без удобрений (контроль) | 5.01 4.91 | 0.98 1.13 | 0.09 0.11 | 1.03 0.96 | 85 70 | 78 68 |
N90P75K100 | 4.84 4.18 | 0.99 1.18 | 0.10 0.12 | 2.23 3.03 | 101 141 | 117 137 |
N180P150K200 | 4.79 3.90 | 0.97 1.16 | 0.10 0.13 | 4.29 4.00 | 127 284 | 137 222 |
N270P225K300 | 4.69 3.73 | 0.96 1.22 | 0.10 0.14 | 5.75 30.22 | 185 480 | 198 350 |
N360P300K400 | 4.35 3.59 | 0.97 1.18 | 0.10 0.14 | 9.28 39.33 | 191 630 | 274 560 |
Навоз 25 т/га | 4.96 5.34 | 1.07 1.67 | 0.09 0.14 | 1.00 2.84 | 95 196 | 121 156 |
Навоз 50 т/га | 4.98 5.42 | 1.11 1.93 | 0.09 0.15 | 1.23 6.02 | 108 315 | 139 210 |
Навоз 75 т/га | 5.10 6.05 | 1.23 2.12 | 0.10 0.16 | 2.03 7.83 | 120 444 | 153 281 |
Навоз 100 т/га | 5.30 6.27 | 1.30 2.41 | 0.10 0.17 | 2.69 15.00 | 156 649 | 194 401 |
Примечания. Над чертой – 1-й год опыта, под чертой – 9-й год опыта. Исходные данные приведены в разделе “Методика исследования”.
В вариантах с минеральными удобрениями содержание Nобщ в почве теснее всего коррелировало с суммарным количеством азота удобрений на протяжении 9-ти лет (r = 0.860, p < 0.001) и менее тесно – с числом лет, в течение которых применяли удобрения (r = 0.787, p < 0.001) и с ежегодными дозами удобрения (r = 0.463, p = 0.001). Та же последовательность факторов была характерна и для органического удобрения: коэффициент корреляции содержания Nобщ в почве с суммарным количеством внесенного навоза был больше (r = 0.931, p <0.001), чем с продолжительностью применения навоза (r = 0.707, p < 0.001) и его ежегодными дозами (r = 0.623, p < 0.001). Умеренные и высокие дозы минеральных удобрений обеспечивали более высокий прирост общего азота в почве, чем экстремальные, тогда как величины ежегодного прироста Nобщ в почве от возрастающих доз органических удобрений были примерно одинаковыми. Как следствие, при ежегодном внесении полного минерального удобрения происходило сужение соотношения C : N в почве: с 10.2 в контроле до 9.7 и 8.5 при внесении доз N90P75K100 и N360P300K400 соответственно. В вариантах с ежегодным внесением навоза соотношение C : N в почве, наоборот, расширялось до 11.6 и 14.0 при дозах навоза 25 и 100 т/га.
Таким образом, систематическое применение минеральных и органических удобрений отражалось на азотноуглеродном режиме почвы, оказывая разнонаправленное изменение соотношения C : N в почве. Сужение C : N в почве с минеральными удобрениями свидетельствовало о дефиците доступного углерода, необходимого для иммобилизации азота и наличии предпосылок для значительных его потерь в течение вегетационного периода и за осеннезимние месяцы, особенно при внесении экстремально высоких доз удобрений. Применение органических удобрений создало более сбалансированное соотношение между углеродом и азотом в почве, способствуя накоплению азота в почве в 1.2–1.3 раза по сравнению с минеральной системой.
Эффективность секвестрации углерода при минеральной и органической системах. Современное земледелие должно быть высокопродуктивным, экономически рентабельным, устойчивым к глобальным изменениям климата, регенеративным и углероднейтральным, базирующимся на агротехнологиях, секвестрирующих углерод атмосферы. Секвестрация углерода в широком смысле – это абиотическое или биотическое улавливание (поглощение) атмосферного CO2 и перемещение связанного углерода в другие долгоживущие резервуары для безопасного хранения [68]. Почвенная секвестрация углерода представляет собой разновидность биотической секвестрации. По одному из ранних определений под почвенной секвестрацией углерода понимался “перевод атмосферного углерода в органическое вещество наземных экосистем и долговременное его сохранение в резервуаре почвенного органического вещества с минимальным риском немедленного возврата в атмосферу” [69]. В уточненном определении почвенная секвестрация углерода рассматривается как “перевод СО2 атмосферы в живое органическое вещество растений (фотосинтез) с последующей трансформацией формирующейся мортмассы в почвенное органическое вещество (гумус) с периодом полного разложения (минерализации) составляющих его новообразованных компонентов от 10 до 100 лет” [70]. Наиболее употребляемым является определение, сформулированное в работе [71], согласно которому почвенная секвестрация углерода обозначает “процесс переноса CO2 из атмосферы в почву земельной единицы посредством растений, растительных остатков и других органических твердых веществ, которые хранятся или удерживаются в почве данной земельной единицы как часть почвенного органического вещества (гумуса)”.
Научная интерпретация и практическая реализация идеи почвенной секвестрации углерода регламентируется несколькими положениями и принципами [68, 71–73]. Во-первых, образование первичной продукции фотосинтеза, поступление биомассы в почву и включение мортмассы в почвенное органическое вещество (разложение и стабилизация) – взаимосвязанные и равноправные этапы почвенной секвестрации углерода. Во-вторых, время удерживания (хранения) секвестрированного углерода в почве (наземном резервуаре) может варьировать от краткосрочного, но не сразу эмитируемого обратно в атмосферу, до долговременного. В-третьих, почвенная секвестрация углерода должна обеспечивать чистое увеличение содержания Сорг в почве в течение определенного времени до уровня, превышающего предыдущий базовый уровень и привести к чистому снижению уровня CO2 в атмосфере в виде прироста биомассы растений. В-четвертых, секвестрированным является углерод, поступающий непосредственно из атмосферы и в пределах конкретной земельной единицы с четко выраженными границами (делянка, поле, ферма, ландшафт, луг, лес, болото). Углерод, поступивший в почву естественным или искусственным путем из перемещенных источников (органические удобрения, растительные остатки, эрозионные отложения), не относится к секвестрированному. В-пятых, следует различать почвенную секвестрацию углерода и почвенное хранение (депонирование) углерода. Хранение применимо к увеличению запасов Сорг с течением времени в почвах данной земельной единицы, не обязательно связанное с чистым удалением CO2 из атмосферы. Поскольку перечисленные принципы не всегда учитываются в исследованиях и при мониторинге потоков углерода, существуют разные толкования идеи почвенной секвестрации углерода, так и способов оценки ее практической результативности.
Минеральные удобрения способствуют производству первичной продукции, увеличивая надземную и подземную биомассу и обогащая почву органическим веществом, поэтому, с одной стороны, оптимальное снабжение растений азотом может иметь решающее значение для почвенной секвестрации углерода [74]. С другой стороны, азот минеральных удобрений может стимулировать биоразложение растительных остатков и органического вещества почвы с широким отношением C : N, уменьшая запасы Сорг в почве [25, 64]. Уместным будет заметить, что секвестрация углерода от применения минеральных удобрений будет кажущейся, если основная и побочная продукция будет изъята из агроэкосистемы, а в почве не произошло увеличения запасов Сорг.
Возврат остатков урожая в почву в виде животноводческих отходов (навоз, навозная жижа, компост) является ключевым этапом регенеративного земледелия, обеспечивающим рециркуляцию биофильных элементов и сохранение в составе ПОВ ранее секвестрированного углерода, предотвращая его быстрый и полный возврат в атмосферу в ходе хранения. Но увеличение содержания Сорг в почве в этом случае не является признаком секвестрации углерода, поскольку органическое вещество просто перемещается и концентрируется в другом месте [73, 75, 76]. Секвестрирующий эффект свой ственен навозу лишь в случае его внесения в удобрительных целях и в случае прироста не только Сорг в почве, но и урожая культур под действием навоза. Следовательно, секвестрирующими углерод являются такие мероприятия, которые обеспечивают рост продуктивности растений и накопление органического углерода в почве одновременно, а секвестрирующую эффективность приемов и средств следует оценивать, как минимум, по 2-м этим параметрам вместе, суммируя нормализованные отношения величины урожая и содержания Сорг в почве испытываемых вариантов к контролю (1):
, (1)
где SE – эффективность секвестрации (%), Yv и Yc – урожай варианта и контроля соответственно, Cv и Cc – содержание Сорг в почве варианта и контроля соответственно, 100 – пересчет в %.
Предполагается, что чем больше величина SE, тем больше эффективность секвестрации под действием используемого приема или средства. В нашем эксперименте урожай культур от внесения минеральных удобрений был в среднем в 1.3 раза больше, чем от применения органических удобрений, но содержание Сорг в почве от ежегодного внесения навоза было больше более чем в 1.5 раза, чем от NPK. Иными словами, минеральные удобрения больше способствовали росту первичной продукции фотосинтеза, а органические удобрения давали более значимый прирост почвенного Сорг, обеспечивая его хранение в почве. В целом в опыте эффективность секвестрации углерода при органической системе удобрения была на 15% больше, чем при минеральной системе (табл. 5).
Таблица 5. Эффективность секвестрации углерода при применении минеральных и органических удобрений
Вариант | Индекс прироста урожая культур, ln(Yv/Yc) | Индекс прироста Сорг в почве, ln(Cv/Cc) | Эффективность секвестрации, % |
N90P75K100 | 0.72 | 0.04 | 76 |
N180P150K200 | 1.15 | 0.06 | 120 |
N270P225K300 | 1.17 | 0.06 | 123 |
N360P300K400 | 0.95 | 0.06 | 101 |
Навоз 25 т/га | 0.50 | 0.25 | 76 |
Навоз 50 т/га | 0.87 | 0.35 | 123 |
Навоз 75 т/га | 0.93 | 0.51 | 144 |
Навоз 100 т/га | 0.78 | 0.62 | 140 |
Среднее вариантов NPK | 1.00 | 0.05 | 105 |
Среднее вариантов применения навоза | 0.77 | 0.43 | 120 |
В разные годы эффективность секвестрации углерода при применении возрастающих доз минеральных удобрений менялась от 3 до 218%, в вариантах с навозом – от 32 до 248%. Среди вариантов с минеральной системой наибольшую эффективность секвестрации углерода давали дозы N180P150K200 и N270P225K300, с органической системой – навоз КРС 75 т/га. Можно заметить, что секвестрирующий эффект экстремально высоких доз минеральных и органических удобрений был на 25 и 66% больше, чем умеренных доз N90P75K100 и навоза 25 т/га. Этот факт может стать аргументом максимизации урожая сельскохозяйственных культур и обуглероживания почвы за счет применения минеральных и органических удобрений в дозах, превышающих физиологические потребности растений. Однако в этом случае возрастает вероятность эвтрофикации почвы, что является характерным признаком “переудобренности” (Over-fertilization) [55]. Эвтрофикация, в свою очередь, несет угрозу деградации физикохимических свой ств почвы, изменения таксономического состава микробного сообщества, нарушения циклов биофильных элементов в почвенной экосистеме и в сопредельных средах. Получить запланированный прирост урожая и содержания органического углерода в почве, избежав переудобренности и насыщения почвы органическим углеродом, можно применением органоминеральной системы удобрения, внося уменьшенные дозы NPK и навоза. Другой путь – это использование агротехнических приемов, которые способствуют секвестрации углерода и обогащению почвы органическим веществом, не требуя интенсивного применения удобрений в повышенных дозах. Таковыми традиционно являются посевы покровных, промежуточных и сидеральных культур, биомассу которых можно полностью заделывать в почву.
В целом агроцензы обладают высоким потенциалом секвестрации углерода, однако значительная часть биомассы, синтезированной сельскохозяйственными культурами, не возвращается в почву, а более половины углерода растительных остатков минерализуется в почве, возвращаясь в атмосферу [77]. В этой связи важно не только в полной мере инкорпорировать растительные остатки в почву, но и предусмотреть мероприятия по усилению стабилизации продуктов разложения в почве (агрегация, комлексообразование, сорбция минералами и др.), способствующих сохранности почвенного органического вещества.
ЗАКЛЮЧЕНИЕ
Таким образом, минеральные и органические удобрения, примененные в эквивалентных дозах по NPK, оказывали разное действие на величину урожая сельскохозяйственных культур, рН почвы, содержание в серой лесной почве органического углерода и общего азота, но давали сходное обогащение почвы подвижными формами фосфора и калия.
При применении возрастающих доз минеральных удобрений урожай культур в среднем за 2 ротации севооборота был на 29% больше, чем от внесения навоза крупного рогатого скота (КРС). Нетребовательность возделываемых культур к систематическому внесению высоких доз минеральных (от N180P150K200 до N270P225K300) и органических (50–75 т/га) удобрений уменьшалась в следующей последовательности: кукуруза на зеленую массу > сахарная свекла > картофель > лук. Минеральные удобрения в экстремальных дозах (N360P300K400) сильнее угнетали продуктивность культур, чем органические удобрения (навоз КРС 100 т/га). Быстрое истощение неудобренной серой лесной почвы сопровождалось значительным уменьшением продуктивности культур во 2-й ротации севооборота.
Прогрессирующая ацидификация почвы – одна из причин уменьшения прибавки урожая при систематическом внесении минеральных удобрений. Чем больше была доза минеральных удобрений и продолжительнее их применение, тем сильнее подкислялась почва. Внесение навоза повышало рН почвы и устраняло ее гидролитическую кислотность. Систематическое применение полного минерального удобрения и навоза в одинаковой мере обогащало почву подвижными фосфором и калием с прямой зависимостью от доз удобрений. Накопительный сдвиг содержания подвижных форм фосфора в почве на 10 мг/кг достигался внесением фосфорных удобрений 55 кг/га или свежего навоза КРС 20 т/га, подвижного K₂O – соответственно внесением калийных удобрений 85 кг/га или навоза 30 т/га. Высокие и экстремально высокие дозы минеральных и органических удобрений создавали переудобренность почвы со сверхвысоким накоплением подвижных форм фосфора и калия. Переудобренность почвы не сопровождалась насыщением почвы подвижными формами фосфора и калия.
Незначительное повышение содержания Сорг на 0.25% в почве при внесении полного минерального удобрения определялось длительностью применения NPK и не зависело от внесенных доз. Вклад дозы навоза в увеличение обеспеченности почвы Сорг на 0.70–1.44% был более существенным, чем длительность его применения. Обнаруживалось насыщение почвы органическим углеродом при ежегодном внесении навоза 100 т/га на протяжении 9-ти лет. Внесение азота с навозом давало больший прирост содержания Nобщ в почве, чем с минеральными удобрениями. Содержание Nобщ в почве повышалось пропорционально внесенным дозам навоза, а умеренные и высокие дозы минеральных удобрений давали более высокий прирост содержания общего азота в почве, чем экстремальные. Применение минеральной системы удобрения вело к уменьшению соотношения C : N в почве, органической – к расширению, создавая более сбалансированное соотношение между углеродом и азотом в почве.
Повышение продуктивности культур и накопление Сорг в почве являются двуедиными критериями почвенной секвестрации углерода с помощью агроприемов. Минеральные и органические удобрения на стадии их получения не являются углеродсеквестрирующими средствами, но становятся таковыми при удобрении сельскохозяйственных культур. Эффективность секвестрации углерода при органической системе удобрения была на 15% больше, чем при минеральной системе. Минеральные удобрения больше способствовали образованию биомассы растений, а органические удобрения – накоплению Сорг в почве. Оценка секвестрирующей эффективности агроприемов должна предусматривать определение стабильности и сохранности секвестрированного углерода по соотношению лабильных и стабильных, потенциально минерализуемых и устойчивых к минерализации пулов углерода в составе почвенного органического вещества.
Авторы выражают благодарность ЦКП ФИЦ ПНЦБИ РАН за приборное обеспечение исследования.
About the authors
N. B. Zinyakova
Instituteof Physicochemical and Biological Problems in Soil Science, RAS
Email: v.m.semenov@mail.ru
Russian Federation, ul. Institutskaya 2, Moscow region Pushchino142290
D. A. Sokolova
Instituteof Physicochemical and Biological Problems in Soil Science, RAS
Email: v.m.semenov@mail.ru
Russian Federation, ul. Institutskaya 2, Moscow region Pushchino142290
T. N. Lebedeva
Instituteof Physicochemical and Biological Problems in Soil Science, RAS
Email: v.m.semenov@mail.ru
Russian Federation, ul. Institutskaya 2, Moscow region Pushchino 142290
S. N. Udal’tsova
Instituteof Physicochemical and Biological Problems in Soil Science, RAS
Email: v.m.semenov@mail.ru
Russian Federation, ul. Institutskaya 2, Moscow region Pushchino 142290
V. M. Semenov
Instituteof Physicochemical and Biological Problems in Soil Science, RAS; АllRussian Research Institute of Phytopathology
Author for correspondence.
Email: v.m.semenov@mail.ru
Russian Federation, ul. Institutskaya 2, Moscow region Pushchino142290; ul. Institute 5, Moscow region, Odintsovo district, p/o Bolshiye Vyazemy 143050
References
- Шафран С.А. Динамика плодородия почв Нечерноземной зоны и ее резервы // Агрохимия. 2016. № 8. С. 3–10.
- Алифанов В.М. Палеокриогенез и современное почвообразование. Пущино: ОНТИ НЦБИ РАН, 1995. 318 с.
- Ахтырцев Б.П., Шевченко Г.А. Изменение агрохимических свой ств серых лесных почв Центральной черноземной полосы при их окультуривании // Агрохимия. 1965. № 4. С. 38–50.
- Никитишен В.И. Плодородие почвы и устойчивость функционирования агроэкосистемы. М.: Наука, 2002. 258 с.
- Никитишен В.И., Курганова Е.В. Плодородие и удобрение серых лесных почв ополий Центральной России. М.: Наука, 2007. 367 с.
- Сычев В.Г. Современное состояние плодородия почв и основные аспекты его регулирования. М.: РАН, 2019. 328 с.
- Никитишен В.И., Личко В.И. Формирование продуктивности агроэкосистем при применении минеральных удобрений и действии климатических факторов в условиях ополий Центральной России // Агрохимия. 2008. № 12. С. 20–28.
- Лебедева Т.Н., Семенов В.М. Эффективность применения минеральных удобрений под картофель при обычных и экстремальных гидротермических условиях вегетационного периода // Агрохимия. 2016. № 2. С. 51–59.
- Кудеяров В.Н. Оценка питательной деградации пахотных почв России // Вестн. РАН. 2015. Т. 85. № 9. С. 771–775. https://doi.org/10.7868/S0869587315090078
- Кудеяров В.Н., Семенов В.М. Проблемы агрохимии и современное состояние химизации сельскохозяйственного производства в Российской Федерации // Агрохимия. 2014. № 10. С. 3–17.
- Сычев В.Г., Шафран С.А., Виноградова С.Б. Плодородие почв России и пути его регулирования // Агрохимия. 2020. № 6. С. 3–13. http://dx.doi.org/10.31857/S0002188120060125
- Сельское хозяйство в России 2021. Стат. сб. М.: Росстат, 2021. С. 38–41.
- Кудеяров В.Н., Соколов М.С., Глинушкин А.П. Современное состояние почв агроценозов России, меры по их оздоровлению и рациональному использованию // Агрохимия. № 6. 2017. С. 3–11. http://dx.doi.org/10.7868/S0002188117060011
- Кудеяров В.Н. Почвеннобиогеохимические аспекты состояния земледелия в РФ // Почвоведение. 2019. № 1. С. 109–121. http://dx.doi.org/10.1134/S0032180X1901009X
- Семенов В.М. Современные проблемы и перспективы агрохимии азота // Пробл. агрохим. и экол. 2008. № 1. С. 55–63.
- Соколов М.С., Семенов А.М., Спиридонов Ю.Я., Торопова Е.Ю., Глинушкин А.П. Здоровая почва – условие устойчивости и развития агрои социосфер (проблемноаналитический обзор) // Изв. РАН. Сер. биол. 2020. № 1. С. 12–21. http://dx.doi.org/10.31857/S0002332920010142
- Mäder P., Fließbach A., Dubois D., Gunst L., Fried P., Niggli U. Soil fertility and biodiversity in organic farming // Science. 2002. V. 296 № 5573. P. 1694–1697. http://dx.doi.org/10.1126/science.1071148
- Сычев В.Г., Налиухин А.Н., Шевцова Л.К., Рухович О.В., Беличенко М.В. Влияние систем удобрения на содержание почвенного органического углерода и урожайность сельскохозяйственных культур: результаты длительных полевых опытов Географической сети России // Почвоведение. 2020. № 12. С. 1521–1536. https://doi.org/10.31857/S0032180X20120138
- Aulakh C.S., Sharma S., Thakur M., Kaur P. A review of the influences of organic farming on soil quality, crop productivity and produce quality // J. Plant Nutr. 2022. V. 45 № 12. P. 1884–1905. https://doi.org/10.1080/01904167.2022.2027976
- Geng Y., Cao G., Wang L., Wang S. Effects of equal chemical fertilizer substitutions with organic manure on yield, dry matter, and nitrogen uptake of spring maize and soil nitrogen distribution // PLoS One. 2019. V. 14(7). Art. № e0219512. https://doi.org/10.1371/journal.pone.0219512
- Francioli D., Schulz E., Lentendu G., Wubet T., Buscot F., Reitz T. Mineral vs. organic amendments: microbial community structure, activity and abundance of agriculturally relevant microbes are driven by long-term fertilization strategies // J. Front. Microbiol. 2016. V. 7. Art. № 1446. https://doi.org/10.3389/fmicb.2016.01446
- Bebber D.P., Richards V.R. A meta-analysis of the effect of organic and mineral fertilizers on soil microbial diversity // Appl. Soil Ecol. 2022. V. 175. Art. № 104450. https://doi.org/10.1016/j.apsoil.2022.104450
- Dang P., Li C., Lu Ch., Zhang M., Huang T., Wan Ch., Wang H., Chen Y., Qin X., Liao Y., Siddique K.H.M. Effect of fertilizer management on the soil bacterial community in agroecosystems across the globe // J. Agricult. Ecosyst. Environ. 2022. V. 326. P. 1–8. https://doi.org/10.1016/j.agee.2021.107795
- Семенов В.М., Лебедева Т.Н. Проблема углерода в устойчивом земледелии: агрохимические аспекты // Агрохимия. 2015. № 11. С. 3–12.
- Семенов В.М. Функции углерода в минерали-зационноиммобилизационном обороте азота в почве // Агрохимия. 2020. № 6. С. 78–96. https://doi.org/10.31857/S0002188120060101
- Liu S., Wang J., Pu S., Blagodatskaya E., Kuzyakov Y., Razavi B.S. Impact of manure on soil biochemical properties: A global synthesis // J. Sci. Total Environ. 2020. V. 745. Art. No. 141003. P. 1–15. https://doi.org/10.1016/j.scitotenv.2020.141003
- Semenov M.V., Krasnov G.S., Semenov V.M., van Bruggen A. Mineral and organic fertilizers distinctly affect fungal communities in the crop rhizosphere // J. Fungi. 2022. V. 8(3). Art. № 251. https://doi.org/10.3390/jof8030251
- Никитин Д.А., Семенов М.В., Ксенофонтова Н.А., Тхакахова А.К., Русакова И.В., Лукин C.М. Влияние внесения соломы на состояние микробиома дерновоподзолистой почвы // Почвоведение. 2023. № 5. С. 640–653. https://doi.org/10.31857/S0032180X22601189
- Семенов М.В., Ксенофонтова Н.А., Никитин Д.А., Тхакахова А.К., Лукин C.М. Микробиологические показатели дерновоподзолистой почвы и ризосферы в полувековом полевом опыте с применением разных систем удобрения // Почвоведение. 2023. № 6. С. 715–729. https://doi.org/10.31857/S0032180X22601220
- Соколов О.А., Семенов В.М., Пачепский Я.А. Закономерности действия азотных удобрений на продуктивность растений // Изв. АН СССР. Сер. биол. 1986. № 6. С. 824–833.
- Кудеяров В.Н., Биелек П., Соколов О.А., Кноп К., Пругар Я., Семенов В.М., Башкин В.Н., Моцик А., Скоржепова И., Шабаев В.П., Никитишен В.И. Баланс азота и трансформация азотных удобрений в почвах. Пущино: ОНТИ, 1986. 160 с.
- Романенков В.А., Беличенко М.В., Рухович О.В., Никитина Л.В., Иванова О.И. Эффективность использования азота в длительных и краткосрочных опытах агрохимслужбы и Геосети Российской Федерации // Агрохимия. 2020. № 12. С. 28–37. https://doi.org/10.31857/S0002188120120091
- Семенов В.М. Слагаемые эффективности азотных удобрений в системе почва–растение и критерии их количественной оценки // Агрохимия. 1999. № 5. С. 25–32.
- Шафран С.А. Научные основы и современные методы определения доз применения минеральных удобрений. М.: ВНИИА им. Д.Н. Прянишникова, 2022. 236 с.
- Минеев В.Г., Ремпе Е.Х. Экологические последствия длительного применения повышенных и высоких доз минеральных удобрений //Агрохимия. 1991. № 3. С. 35–49.
- Hijbeek R., van Loon M.P., van Ittersum M.K. Fertiliser use and soil carbon sequestration: opportunities and trade-offs. Wageningen: CCAFS Working Paper, 2019. № 264. 23 p.
- Паутова Н.Б., Семенова Н.А., Хромычкина Д.П., Лебедева Т.Н., Семенов В.М. Определение активного органического вещества в свежем подстилочном навозе биокинетическим методом // Агрохимия. 2018. № 9. С. 29–39. https://doi.org/10.1134/S0002188118090107
- Семенов М.В., Железова А.Д., Ксенофонтова Н.А., Иванова Е.А., Никитин Д.А. Куриный помет как органическое удобрение: технологии компостирования и влияние на почвенные свой ства (обзор) // Бюл. Почв. ин-та им. В.В. Докучаева. 2023. Вып. 115. С. 160–198. https://doi.org/10.19047/0136-1694-2023-115-160-198
- Roß C.-L., Baumecker M., Ellmer F., Kautz T. Organic manure increases carbon sequestration far beyond the “4 per 1000 Initiative” goal on a sandy soil in the Thyrow long-term field experiment DIV.2 // Agriculture. 2022. V. 12. Art. № 170. https://doi.org/10.3390/agriculture12020170
- Курганова И.Н., Лопес де Гереню В.О., Хорошаев Д.А., Мякшина Т.Н., Сапронов Д.В., Жмурин В.А., Кудеяров В.Н. Анализ многолетней динамики дыхания почв в лесном и луговом ценозах Приокскотеррасного биосферного заповедника в свете современных климатических трендов // Почвоведение. 2020. № 10. С. 1220–1236. https://doi.org/10.31857/S0032180X20100111
- Алифанов В.М. Изменение серых лесных почв при сельскохозяйственном использовании // Почвоведение. 1979. № 1. С. 37–47.
- Зинякова Н.Б., Семенов В.М. Влияние возрастающих доз органических и минеральных удобрений на пулы растворенного, подвижного и активного органического вещества в серой лесной почве // Агрохимия. 2014. № 6. С. 8–19.
- Сычев В.Г., Соколов О.А., Завалин А.А., Шмырева Н.Я. Экология применения органических удобрений. М.: ВНИИА, 2017. 336 с.
- Мерзлая Г.Е., Еськов А.И., Тарасов С.И. Действие и последействие навоза // Плодородие. 2011. № 3. С. 16–19.
- Мерзлая Г.Е., Зябкина Г.А., Фомкина Т.П., Козлова А.В., Макшакова О.В., Волошин С.П., Хромова О.М., Панкратенкова И.В. Эффективность длительного применения органических и минеральных удобрений на дерновоподзолистой легкосуглинистой почве // Агрохимия. 2012. № 2. С. 37–46.
- Васбиева М.Т. Изменение агрохимических показателей дерновоподзолистой почвы Предуралья при длительном применении удобрений // Почвоведение. 2021. № 1. С. 90–99. https://doi.org/10.31857/S0032180X21010135
- Зинченко М.К., Селицкая О.В. Биологическая токсичность серой лесной почвы в зависимости от систем удобрений // Агрохим. вестн. 2011. № 5. С. 38–40.
- Свистова И.Д., Стахурлова Л.Д., Еременко М.В., Бендяк А.Ю. Биотестирование длительно окультуренного чернозема выщелоченного разного уровня удобренности // Агрохимия. 2011. № 5. С. 54–59.
- Kong Y., Wang G., Chen W., Yang Y., Ma R., Li D., Shen Y., Li G., Yuan J. Phytotoxicity of farm livestock manures in facultative heap composting using the seed germination index as indicator // Ecotoxicol. Environ. Saf. 2022. V. 247. Art. № 114251.https://doi.org/10.1016/j.ecoenv.2022.114251
- Шильников И.А., Аканова Н.И. Известкование почв в современных условиях // Плодородие. 2011. № 3. С. 22–24.
- Liang Q., Chen H., Gong Y., Fan M., Yang H., Lal R., Kuzyakov Y. Effects of 15 years of manure and inorganic fertilizers on soil organic carbon fractions in a wheatmaize system in the North China Plain // J. Nutr. Cycl. Agroecos. 2012. V. 92. P. 21–33. https://doi.org/10.1007/s10705-011-9469-6
- Шафран С.А., Кирпичников Н.А., Ермаков А.А., Семенова А.И. Динамика содержания подвижного фосфора в почвах Нечерноземной зоны и его регулирование // Агрохимия. 2021. № 5. С. 14–20. https://doi.org/10.31857/S0002188121050100
- Лазарев В.И., Лазарева Р.И., Ильин Б.С., Боева Н.Н. Калийный режим чернозема типичного его длительного сельскохозяйственного использования в различных агроэкосостемах // Агрохимия. 2020. № 2. С. 14–19. https://doi.org/10.31857/S000218812002009X
- Митрофанова Е.М., Васбиева М.Т. Фосфатный режим дерновоподзолистой почвы при длительном применении органических и минеральных удобрений // Агрохимия. 2014. № 9. С. 13–19.
- Семенов В.М., Лебедева Т.Н., Зинякова Н.Б., Соколов Д.А., Семенов М.В. Эвтрофикация пахотной почвы: сравнительное влияние минеральной и органической систем удобрения // Почвоведение. 2023. № 1. С. 58–73. https://doi.org/10.31857/S0032180X22600676
- Шарков И.Н. Удобрения и проблема гумуса в почве // Почвоведение. 1987. № 11. С. 70–81.
- Oldfield E.E., Bradford M.A., Wood S.A. Global meta-analysis of the relationship between soil organic matter and crop yields // Soil Interact. Open-access J. 2019. V. 5. № 1. P. 15–32. https://doi.org/10.5194/soil-5-15-2019
- Шарков И.Н., Данилова А.А, Прозоров А.С., Самохвалова Л.М., Бушмелева Т.И., Шепелев А.Г. Воспроизводство гумуса как составная часть системы управления плодородием почвы: метод. пособ. Новосибирск: РАСХН, 2010. 36 с.
- Шарков И.Н., Данилова А.А. Влияние агротехнических приемов на изменение содержания гумуса в пахотных почвах // Агрохимия. 2010. № 12. С. 72–81.
- Körschens M. Long-term field experiments (LTEs) – importance, overview, soil organic matter // Exploring and Optimizing Agricultural Landscapes, Innovations in Landscape Research / Еd. A.G. Mueller. Switzerland: Springer Nature, 2021. Chapter 8. P. 215–231.https://doi.org/10.1007/978-3-030-67448-9_8
- Tian K., Zhao Y., Xu X., Hai N., Huang B., Deng W. Effects of long-term fertilization and residue management on soil organic carbon changes in paddy soils of China: A meta-analysis // Agricult. Ecosyst. Environ. 2015. V. 204. P. 40–50. http://dx.doi.org/10.1016/j.agee.2015.02.008
- Gross A., Glaser B. Meta-analysis on how manure application changes soil organic carbon storage // Sci. Rep. 2021. V. 11. Art. No. 5516. https://doi.org/10.1038/s41598-021-82739-7
- Кудеяров В.Н. Азотноуглеродный баланс в почве // Почвоведение. 1999. № 1. С. 73–82.
- Семенов В.М. Образование экстраазота в удобренных почвах и его роль в питании растений // Агрохимия. 1999. № 8. С. 5–12.
- Mulvaney R.L., Khan S.A., Ellsworth T.R. Synthetic Nitrogen Fertilizers Deplete Soil Nitrogen: A Global dilemma for sustainable cereal production // J. Environ. Qual. 2009. V. 38. P. 2295–2314.https://doi.org/10.2134/jeq2008.0527
- Bohoussou N.D.Y., Han S.-W., Li H.-R., Kouadio Y.D., Ejaz I., Virk A.L., Dang Y.P., Zhao X., Zhang H.-L. Effects of fertilizer application strategies on soil organic carbon and total nitrogen storage under different agronomic practices: A meta-analysis // Land Degradation and Development. 2023. Online Version.https://doi.org/10.1002/ldr.4885
- Jin S. Recommended nitrogen fertilization enhances soil carbon sequestration in China’s monsoonal temperate zone // Peer J. 2018. V. 6. Art. № e5983. https://doi.org/10.7717/peerj.5983
- Lal R. Carbon sequestration // Philosoph. Trans. Royal Soc. B. 2008. V. 363. P. 815–830.http://dx.doi.org/10.1098/rstb.2007.2185
- Семенов В.М., Иванникова Л.А., Кузнецова Т.В., Семенова Н.А., Тулина А.С. Минерализуемость органического вещества и углеродсеквестрирующая емкость почв зонального ряда // Почвоведение. 2008. № 7. С. 819–832.
- Когут Б.М., Семенов В.М., Артемьева З.С., Данченко Н.Н. Дегумусирование и почвенная секвестрация углерода // Агрохимия. 2021. № 5. С. 3–13. https://doi.org/10.31857/S0002188121050070
- Olson K.R. Soil organic carbon sequestration, storage, retention and loss in U.S. croplands: Issues paper for protocol development // Geoderma. 2013. V. 195–196. P. 201–206.http://dx.doi.org/10.1016/j.geoderma.2012.12.004
- Chenu C., Angers D.A., Barré P., Derrien D., Arrouays D., Balesdent J. Increasing organic stocks in agricultural soils: Knowledge gaps and potential innovations // Soil Till. Res. 2019. V. 188. P. 41–52. https://doi.org/10.1016/j.still.2018.04.011
- Brock C., Franko U., Wiesmeier M. Soil management for carbon sequestration // Encyclopedia of Soils in the Environment (Second Edit.). 2023. V. 3. P. 424–432. https://doi.org/10.1016/B978-0-12-822974-3.00124-5
- van Groenigen J.W., van Kessel C., Hungate B.A., Oenema O., Powlson D.S., van Groenigen K.J. Sequestering soil organic carbon: A Nitrogen dilemma // Environ. Sci. Technol. 2017. V. 51(9). P. 4738–4739. https://doi.org/10.1021/acs.est.7b01427
- Кудеяров В.Н. Почвенное дыхание и секвестрация углерода (обзор) // Почвоведение. 2023. № 9. С. 1011–1022. https://doi.org/10.31857/S0032180X23990017
- Olson K.R., AlKaisi M.M., Lal R., Lowery B. Experimental consideration, treatments, and methods in determining soil organic carbon sequestration rates // Soil Sci. Soc. Am. J. 2014, V. 78(2). P. 348–360. https://doi.org/10.2136/sssaj2013.09.041
- Семенов В.М., Паутова Н.Б., Лебедева Т.Н., Хромычкина Д.П., Семенова Н.А., Лопес де Гереню В.О. Разложение растительных остатков и формирование активного органического вещества в почве инкубационных экспериментов // Почвоведение. 2019. № 10. С. 1172–1184.
- § Работа выполнена в рамках Госзадания “Комплексное исследование влияния природных и антропогенных факторов на состояние почвенных предшественников, источников и стоков парниковых газов, включая моделирование структурнофункциональной организации биогенных циклов и факторов разномасштабной динамики наземных экосистем в условиях изменяющейся среды”, регистрационный номер 122040500037-6.
Supplementary files






