Влияние гуминовых кислот на генерацию разности потенциалов в биоэлектрохимической системе
- Авторы: Гасиева З.А.1, Галушко А.С.1, Хомяков Ю.В.1, Панова Г.Г.1, Кулешова Т.Э.1
-
Учреждения:
- Агрофизический научно-исследовательский институт
- Выпуск: № 6 (2024)
- Страницы: 20-28
- Раздел: Плодородие почв
- URL: https://medbiosci.ru/0002-1881/article/view/261800
- DOI: https://doi.org/10.31857/S0002188124060037
- EDN: https://elibrary.ru/CXZHXY
- ID: 261800
Цитировать
Полный текст
Аннотация
Изучили возможность повышения электрогенных свойств корнеобитаемой среды за счет использования потенциальных переносчиков электронов – гуминовых кислот. Для этого создана биоэлектрохимическая ячейка, включающая электродные системы, внедряемые в растильни для снятия разности потенциалов, формируемой в процессе развития растений. На примере салата сорта Тайфун определено, что увеличение концентрации ГК в корнеобитаемой среде в 2 раза позволило повысить напряжение на 7–16% от контрольного варианта в зависимости от места их введения. Наилучший результат – более стабильная генерация высокой разности потенциалов уже с ранних периодов вегетации был характерен для варианта с дополнительным внесением ГК в область верхнего электрода – среднее значение напряжения для него составило 418 ± 29 мВ и удельная мощность 0.2 мВт/м2. Исследован ряд физико-химических показателей приэлектродных областей в растительных биоэлектрохимических системах: электропроводность, рН, концентрация гуминовых кислот по окончании вегетационного периода. Выявлена потенциальная электроактивность микроорганизмов в корнеобитаемой среде салата. Показано, что способность гуминовых кислот играть роль редокс-медиатора в биоэлектрохимической системе в значительной степени зависит от места их концентрирования.
Полный текст
ВВЕДЕНИЕ
Альтернативные возобновляемые природные ресурсы, такие как солнце, ветер, вода, биологические объекты, рассматриваются как перспективные энергетические источники, способствующие устойчивому развитию и позволяющие получать экологически чистое электричество, снизить уровень выбросов парниковых газов в атмосферу и уменьшить последствия изменения климата. К таким энергоресурсам относятся активно развивающиеся в настоящее время биоэлектрохимические системы (БЭС) – устройства для получения электрической энергии за счет химических реакций, сопутствующих жизнедеятельности живых организмов. БЭС включают микробные топливные элементы (МТЭ) [1], биофотоэлектрические системы или фотоМТЭ [2] и растительно-микробные топливные элементы (РМТЭ) [3].
Принцип работы растительных БЭС основан на электрогенных процессах, проходящих в корнеобитаемой среде – окислительно-восстановительных реакциях и диффузии ионов, сопутствующих развитию корневой системы, и окислении ризодепозитов микроорганизмами с образованием углекислого газа, протонов и электронов [4]. Эффективность БЭС зависит от совокупности ряда факторов, включающих как электроактивность растений и микроорганизмов, так и влияние внешних факторов – температуры, влажности, состава и структуры корнеобитаемой среды, характеристик световой среды, связанной с интенсивностью фотосинтеза [5].
Одной из наиболее значимых причин низкой производительности БЭС является высокое сопротивление корнеобитаемой среды, выступающей аналогом электролита в электрохимических устройствах. К возможным путям решения данной проблемы относят подбор электродных систем с высокой удельной поверхностью (в качестве таких применяют углеродные материалы – графитовые войлок, ткань, гранулы, стержень, бумагу [6]), изменение расстояния между электродами [7], внесение химического посредника – редокс-медиатора, повышающего эффективность транспорта электронов [8].
Редокс-медиаторы уже показали свою эффективность в усилении переноса электронов от микроорганизмов к аноду. Их применение, согласно разным исследованиям, позволило увеличить напряжение в 1.2–10 раз и удельную мощность в 1.2– 38 раз по сравнению с вариантами БЭС без медиаторов [9]. В качестве посредников при транспорте электронов описаны нейтральный красный, антрахинон-2,6-дисульфонат, тионин, п-бензохинон, 2-гидрокси-1,4-нафтохинон, 2,6-дихлорфенол индофенол ферроцин, феррицианид калия и виологеновый краситель [10]. Однако внесение внешних медиаторов, некоторые из которых являются токсичными соединениями, может сказываться на качестве растений и повышает стоимость БЭС [11].
Органические вещества почв и почвенных субстратов, используемых для культивирования растений, имеют способность как принимать, так и отдавать электроны [12–16]. Поэтому они также могут служить медиаторами в переносе электронов на электроды в РМТЭ. Такими свойствами обладают гуминовые кислоты (ГК) вследствие присутствия в них групп, проявляющих донорно-акцепторные электронные свойства хинонного типа [17, 18]. Хиноидные соединения способны принимать электроны, отвечают за образование активных форм кислорода и могут восстанавливаться до полухинонов, которые стабилизируются ароматическими кольцами и далее восстанавливаются в более устойчивые гидрохиноны [19]. Показано, что ГК служат нетоксичным переносчиком электронов между анаэробными бактериями и Fe(III) или электродом [20]. Было показано, что наличие ГК может приводить к увеличению в МТЭ удельной мощности на 67.4% и кулоновского КПД на 92.6% [21]. При добавлении в МТЭ с аэрируемым катодом ГК концентрацией 5 г/л плотность мощности составила 77 мВт/ м2, а внесение 2 г/л в двухкамерный МТЭ привело к генерации 52 мВт/м2.
Однако на данный момент возможность использования ГК в качестве медиаторов электронов в почвенных БЭС при выращивании растений остается до конца не изученной, что подчеркивает необходимость всесторонней оценки эффективности ГК в роли посредников при переносе электронов и изучения их применимости для производства энергии с помощью РМТЭ.
Цель работы – выявление влияния ГК на формирование разности потенциалов в БЭС на основе электрогенных свойств корнеобитаемой среды при выращивании значимой сельскохозяйственной растительной продукции.
МЕТОДИКА ИССЛЕДОВАНИЯ
Экспериментальная БЭС и объект исследования. Разработанная БЭС представляла собой емкость для выращивания растений объемом 90 × 70 × 70 мм3. В ячейке размещали электроды таким образом, чтобы верхний электрод соприкасался с корневой шейкой, а нижний электрод располагался на расстоянии, измеряемом от корневой шейки растений и соответствующим экспериментально определяемой максимальной разности потенциалов. Электроды изготавливали из пористого биосовместимого коррозионностойкого материала для обеспечения возможности прорастания корневой системы сквозь них и обеспечения тем самым поверхностного электрического контакта. Верхний электрод был выполнен из нержавеющий стали, нижний – из графитового войлока.
В качестве фитотест-объекта был выбран салат сор- та Тайфун, имеющий развитую стержневую корневую систему с множеством боковых корней. Растения выращивали в регулируемых условиях интенсивной светокультуры в вегетационно-облучательной установке с лампами ДНаТ-400 в качестве источников света. Облученность составляла 70–75 Вт/м2 в области фотосинтетически активной радиации, световой период – 14 ч/сут, температура воздуха – 20–22°C днем и 18–20°C ночью, относительная влажность воздуха 65–70%.
В качестве корнеобитаемой среды использовали торфяной грунт (Агробалт С, ООО “Пиндструп”, Московская обл., Россия) на основе верхового торфа низкой степени разложения, содержащий не менее: N – 150, P2O5 – 150, K2O – 250, Mg – 30, Са – 120 мг/л. Влажность субстрата на уровне 60– 70% от общей влагоемкости и количество микро- и макроэлементов, необходимых для получения качественной растительной продукции, поддерживали внесением раствора Кнопа [22].
Расположение электродных систем и электрические измерения. Измерение электрических характеристик осуществляли путем размещения в биоэлектрохимических ячейках объемом 440 см3 биосовместимых коррозионостойких электродов размером 60 × 60 мм в корнеобитаемой среде, что обеспечивало поверхностный электрических контакт с корневой системой и прикорневой зоной. Нижний электрод располагался на расстоянии 30 мм от дна емкости и был выполнен из графитового войлока толщиной 5 мм, верхний электрод – из сетки из нержавеющей стали с размером ячейки 8 × 8 мм размещался на расстоянии 30 мм от нижнего электрода и был электроотрицателен по отношению к нему.
Мониторинг изменения разности потенциалов в БЭС проводили с помощью аппаратной платформы Arduino, регистрацию показателей производили каждые 15 мин в течение вегетационного периода.
Измерение pH и электропроводности в приэлектродных областях проводили с помощью pH-метра ST20 (OHAUS, Китай) и кондуктометра COM80 (HM Digital, Россия) в водных вытяжках путем разведения 5 г корнеобитаемой среды, отобранной с электродов, в 100 мл дистиллированной воды.
Определение содержания ГК в корнеобитаемой среде. Для определения содержания ГК в использованном для культивирования растений торфяном субстрате использовали стандартную методику выделения гуминовых кислот (ГОСТ 9517-94 (ИСО 5073-85)). Содержание гидроксильных и карбоксильных групп в выделенных ГК определяли общепринятыми методами [23].
Оценку содержания ГК в использованном субстрате после проведения эксперимента производили по методу экспресс-определения с помощью спектрофотометрического анализа [24]. Калибровочную кривую строили в программе Excel 2010 на основе оптической плотности серии растворов гуминовых кислот с известной концентрацией (0– 0.5 г/л) (рис. 1).
Рис. 1. Калибровочная кривая для определения содержания гуминовых кислот в субстрате (оптическая плотность при длине волны 465 нм – среднее 2-х точек).
На основании данных калибровочной кривой определяли содержание ГК в образцах и полученные данные пересчитывали на 1 г сухой почвы.
Исследованные варианты БЭС с дополнительным внесением ГК. Для выявления роли ГК в формировании разности потенциалов в корнеобитаемой среде исследовали следующие варианты: 1 – БЭС-К – контроль, содержащий только исходный субстрат в виде торфа без растений, 2 – БЭС-Р – на основе растений салата, 3 – БЭС-ГК – с увеличенным содержания ГК в объеме корнеобитаемой среды в 2 раза, общее количество внесенных ГК составляло 3 г, 4 – БЭС-ГКв – с 2-кратным увеличением содержания ГК в 0.5 объемной области верхнего электрода, 5 – БЭС-ГКн – с 2-кратным увеличением содержания ГК в 0.5 объемной области нижнего электрода. В соответствующие варианты субстрата вносили ГК фирмы Roth (Германия). Вегетационные опыты длились 30 сут, и их проводили в 2-кратной повторности.
Статистическую обработку данных проводили c применением программы Excel 2010. Определяли средние величины изученных показателей, доверительные интервалы. Достоверность различий между вариантами оценивали методами параметрической (t-критерий Стьюдента) статистики. Различия между вариантами считали достоверными при p ≤ 0.05.
Выделение микроорганизмов из корнеобитаемой среды. Для выявления поверхностной микрофлоры, вовлеченной в электрогенные процессы корнеобитаемой среды, в конце вегетационного опыта небольшую часть корня с субстратом вокруг него помещали на специально подготовленную жидкую и агаризованную среду Ворошиловой–Диановой, в качестве источника углерода использовали яблочную кислоту (10 мМ), рН среды приводили к 7.1 ед. В качестве индикатора восстановительных процессов использовали антрахинон-2,4- дисульфонат (1 мМ) и водный раствор резазурина (1 мг/л). В реакционной среде создавали анаэробные условия. Культивировали микроорганизмы при температуре 27 ± 1°C. На 7-е сут культивации проводили пересев на такую же среду.
Изучение потенциальной способности микроорганизмов отдавать электроны во внешнюю среду проводили засевом полученной микробиальной массы на среду с фумаровой и уксусной кислотой в качестве источника электронов, углерода и энергии для роста микроорганизмов. В качестве индикатора окислительно-восстановительных процессов использовали водный раствор резазурина (1 мг/л). Для изучения разнообразия микроорганизмов проводили световую микроскопию c помощью устройства фазового контраста, установленного на микроскопе AxioStar Plus.
РЕЗУЛЬТАТЫ И ИХ ОБСУЖДЕНИЕ
Влияние ГК на генерацию разности потенциалов в БЭС. В ходе исследования влияния ГК на формирование разности потенциалов в корнеобитаемой среде получены следующие результаты: средняя величина напряжения составила 360 ± 19 мВ в контрольном варианте без растения (БЭС-К), 405 ± 2 мВ – в варианте БЭС-Р при выращивании растений салата, 395 ± 14 мВ – в варианте БЭС-ГК с дополнительно внесенными ГК, 418 ± 29 мВ – в варианте БЭС-ГКв с добавленными ГК в область верхнего электрода, 387 ± 4 мВ – в варианте БЭС-ГКн с добавленными ГК в область нижнего электрода (рис. 2).
Рис. 2. Динамика разности потенциалов в корнеобитаемой среде в БЭС различного состава, варианты: (а) – БЭС-К (контроль без растений), (б) – БЭС-Р (с салатом сорта Тайфун), (в) – БЭС-ГК (с внесенными в субстрат ГК), (г) – БЭС-ГКв (с добавленными ГК в верхнюю приэлектродную область), (д) – БЭС-ГКн (с внесенными ГК в область нижнего электрода). То же на рис. 3.
Динамика формирования разности потенциалов в исследованных вариантах в течение эксперимента также была схожей: стационарная генерация в первые 3-е сут, плавный рост на 4–5-е сут и стабилизация на 10–15 сут. Для контрольной БЭС-К без растений наблюдали плавный рост напряжения в течении первых 5-ти сут с 300 до 385 мВ, затем небольшое уменьшение до 320 мВ к 13-м сут и стабилизация при ~380 мВ. Наличие разности потенциалов в БЭС, не содержащей растительного организма, по-видимому, было связано со множеством других окислительно-восстановительных реакций в субстрате – от диффузии ионов при поливе до электроактивности микрофлоры. Для варианта БЭС-Р было характерно увеличение напряжения в ячейке на протяжении всего вегетационного периода с 300 до 530 мВ, вероятно, являющееся следствием повышения интенсивности процессов в корнеобитаемой среде, сопутствующих развитию растений. При удвоении концентрации ГК в корнеобитаемой среде так же, как и в варианте БЭС-Р, наблюдали плавный рост с 230 до 510 мВ, в варианте БЭС-ГКв – с 330 до 450 мВ, в варианте БЭС-ГКн – с 200 до 510 мВ.
Максимальная разность потенциалов (530 мВ на 28-е сут эксперимента) была отмечена в варианте БЭС-Р, не содержавшего дополнительно добавленного ГК. В то же время в этом варианте отмечен достаточно большой разброс величин ~60 мВ в течение вегетационного периода. Тогда как в варианте БЭС-ГКв с добавлением ГК в область верхнего электрода разброс БЭП не превышал 30 мВ, что было связано с более стабильной генерацией на протяжении всего эксперимента и, вероятно, с более равномерной диффузией ионов.
Наилучший результат – более стабильная генерация высокого напряжения уже с ранних периодов вегетации была характерна для варианта БЭС-ГКв с дополнительным внесением ГК в область верхнего электрода. Можно предположить, что транспорт ГК сверху вниз в емкости для выращивания играл положительную роль в повышении электрических характеристик БЭС за счет создания условий для более интенсивного распределения ионов.
Экспериментально было определено, что в 1 г высушенного исходного использованного торфяного субстрата содержалось 67 мг ГК. Выделенные ГК содержали 8.2 ммоля фенольных гидроксильных и 2.7 ммоля карбоксильных групп в 1 г сухих ГК.
Для определения особенностей процессов, происходящих в области верхнего и нижнего электродов в БЭС, в конце эксперимента были измерены показатели pH, электропроводности и содержания ГК в приэлектродных зонах (табл. 1).
Таблица 1. Показатель pH, электропроводность и содержание ГК в конце вегетационного периода в областях верхнего и нижнего электродов в вариантах опыта
Вариант БЭС | pH | Электропроводность | Содержание ГК | |||
ед. рН | мкСм/см | мг/г сухого субстрата | ||||
1 | 2 | 1 | 2 | 1 | 2 | |
БЭС-К | 6.35 ± 0.11 | 6.54 ± 0.21 | 228 ± 14 | 142 ± 11 | 53 ± 11 | 12 ± 4 |
БЭС-Р | 6.30 ± 0.11 | 6.61 ± 0.11 | 202 ± 14 | 109 ± 6 | 81 ± 9 | 61 ± 13 |
БЭС-ГК | 7.31 ± 0.10 | 6.87 ± 0.17 | 265 ± 10 | 126 ± 8 | 138 ± 21 | 86 ± 19 |
БЭС-ГКв | 6.93 ± 0.08 | 7.31 ± 0.10 | 185 ± 11 | 103 ± 14 | 195 ± 17 | 152 ± 18 |
БЭС-ГКн | 6.95 ± 0.10 | 7.01 ± 0.10 | 257 ± 21 | 130 ± 13 | 216 ± 14 | 148 ± 23 |
Примечание. В графе 1 – верхняя приэлектродная область, 2 – нижняя приэлектродная область.
В результате оценки содержания ГК в верхних и нижних слоях субстрата в экспериментальных БЭС по окончании эксперимента показано, что верхний слой контрольного варианта БЭС-К содержал примерно такое же количество ГК, как и исходный торф. В то же время в нижнем слое концентрация ГК снизилась до 12 мг/г субстрата. Схожую ситуацию отметили во всех вариантах растительных БЭС с дополнительно внесенными ГК: содержание ГК в области верхнего электрода было больше, чем в области нижнего. Особенно интересно отметить эту тенденцию и в варианте БЭС-ГКн, где ГК были добавлены только в зону нижнего электрода. Вероятно, это было связано со способом полива путем внесения воды снизу, т. к. ранее было определено, что это способствует стационарной генерации разности потенциалов за счет равномерной диффузии жидкости вследствие капиллярных эффектов [26]. Видимо, наряду с повышением концентрации в связи с отмиранием клеток растений, ГК диффундировали по профилю почвы вверх вместе с водой.
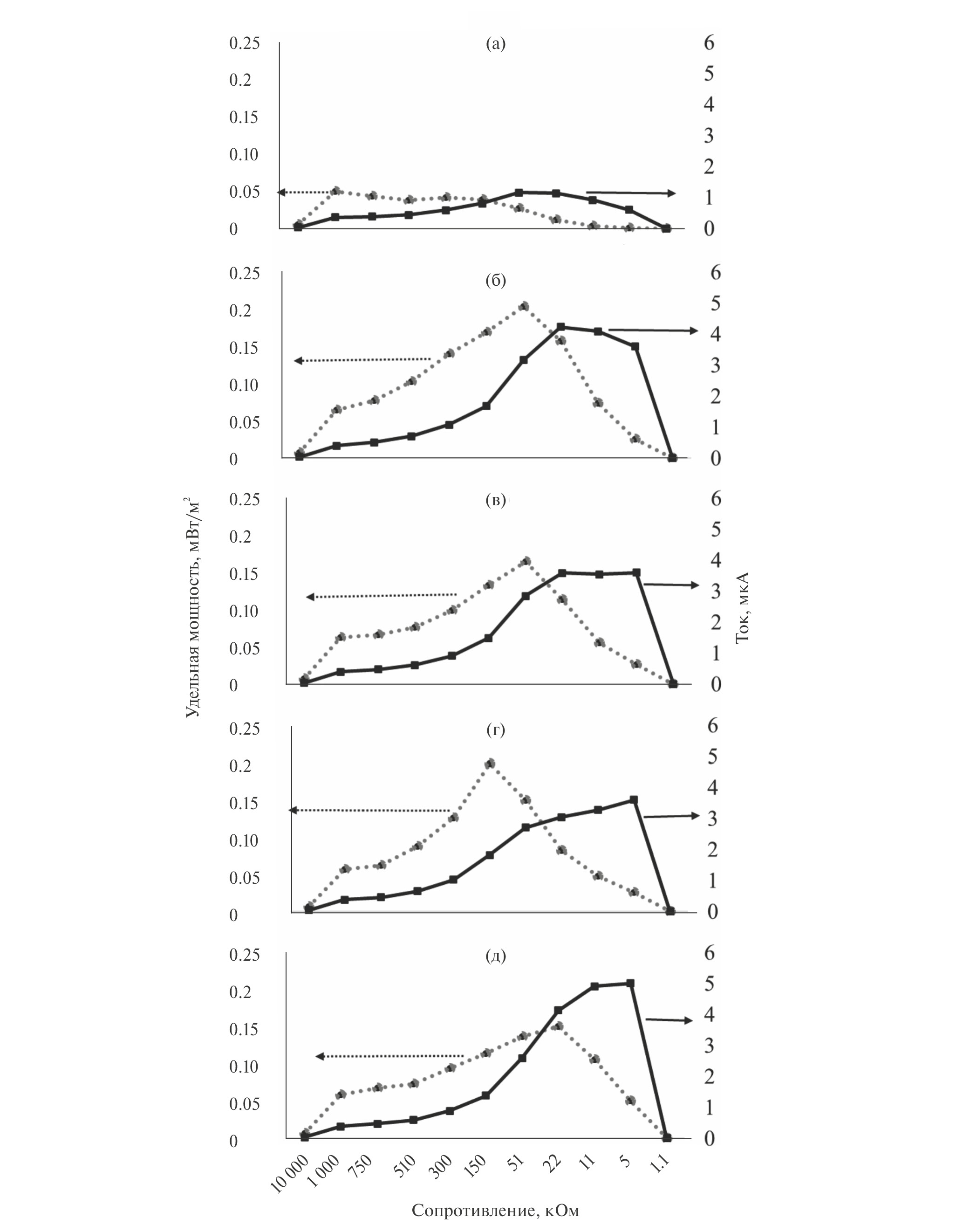
Для расчета электрических мощностей и нагрузочных способностей исследованных БЭС было проведено измерение напряжения при параллельном подключении сопротивлений различного номинала – от 10 МОм до 1.1 кОм (рис. 3).
Рис. 3. Зависимость мощности БЭС от подключаемой нагрузки.
Наибольшая полученная удельная мощность 0.2 мВт/м2 была характерна для вариантов БЭС-Р и БЭС-ГКв, а наибольшая сила тока 5 мкА была получена в варианте БЭС-ГКн.
Средняя масса надземной части салата (по 2 растения в ячейке) в БЭС составила 71 ± 9 г в варианте БЭС-Р, 53 ± 7 г в вариате БЭС-ГК, 77 ± 13 г в варианте БЭС-ГКв, 82 ± 12 г в варианте БЭС-ГКн. Показано, что удвоение количества ГК во всей области корнеобитаемой среды привело к некоторому угнетению растений, что могло свидетельствовать об их переизбытке в торфяном субстрате и, как следствие, стрессовом влиянии на растения.
Показатели pH коррелировали с содержанием ГК: коэффициент корреляции составил 0.7 для верхнего электрода и 0.9 – для нижнего. Большая концентрация ГК приводила к повышению рН вследствие подщелачивания субстрата.
Также наблюдали связь с электропроводностью в приэлектродных областях: чем больше была разница в содержании ГК между слоями, тем бóльшие различия были в электропроводности, коэффициент корреляции между этими величинами составил 0.7. При этом концентрация заряженных частиц, т. е. интенсивность метаболических процессов, была больше в области верхнего электрода. Максимальные различия в концентрациях ГК между верхней и нижней приэлектродной областями были характерны для вариантов БЭС-ГК и БЭС-ГКн – 52 и 68 мг/г торфа соответственно. Для этих же ячеек отмечена большая разница в электропроводности – 127 мкСм/см в варианте БЭС-ГКн и 139 мкСм/см в варианте БЭС-ГК. Важно отметить, что разность потенциалов в этих вариантах также имела максимальный прирост, с начала эксперимента показатели выросли на 166 мВ в обоих вариантах. Тогда как в варианте БЭС-ГКв изменение составило всего 57 мВ. Вероятно, величина напряжения в БЭС была связана с перемещением ГК в субстрате и различием их концентраций на электродах.
Электроактивные микроорганизмы в корнеобитаемой среде салата. Микроскопирование проб инокулированной среды показало наличие богатой, разнообразной микрофлоры, включавшей спорообразующие палочки, одиночные кокки, подвижные палочки и некоторые извитые формы.
Посевы микроорганизмов из ризосферы салата сорта Тайфун, выращенного в субстрате с дополнительно внесенными ГК, на среду с индикаторами окислительно-восстановительных процессов показали последовательное восстановление и обесцвечивание резазурина и восстановления антрахинона. Последовательно проведенный пересев микроорганизмов на среду с фумаратом и ацетатом в качестве источника углерода и водным раствором резазурина в качестве индикатора показал обесцвечивание резазурина за короткое время, менее 1 сут, что подтверждало потенциальную электроактивность микроорганизмов.
ЗАКЛЮЧЕНИЕ
Таким образом, установлено, что гуминовые кислоты (ГК) способны участвовать как возможные окислительно-восстановительные медиаторы в процессах генерации электрического тока в растительно-микробных топливных элементах (РМТЭ), и увеличение в 2 раза концентрации ГК в корнеобитаемой среде позволило повысить генерацию напряжения на 7–16% от контроля в зависимости от места их введения.
Самый высокий начальный показатель разности потенциалов был характерен для варианта БЭС-ГКв, что естественным образом связано с тем, что на момент начала эксперимента в верхнем слое было сосредоточено наибольшее количество ГК, соответственно электропроводность была больше. Такая система позволила получить стабильную выработку электричества, однако имела слабый потенциал увеличения разности потенциалов в ходе своего развития в дальнейшем. В то же время при добавлении ГК в нижнюю часть системы начальная точка была минимальной по сравнению со всеми другими вариантами. С течением времени водорастворимые вещества, включая ГК, вместе с током воды при поливе снизу поднимались наверх, и при этом увеличивалась разность потенциалов в системе. К моменту окончания вегетации внесенные в нижний слой субстрата ГК обеспечили максимальную разность потенциалов среди всех исследованных вариантов.
Таким образом, ГК выступали и как потенциальные медиаторы переноса электрона от электроактивных микроорганизмов, и также вносили вклад в концентрационные эффекты и перемещение ионов в корнеобитаемой среде в РТМЭ.
Об авторах
З. А. Гасиева
Агрофизический научно-исследовательский институт
Автор, ответственный за переписку.
Email: melkii844@gmail.com
Россия, 195220 Санкт-Петербург, Гражданский просп., 14
А. С. Галушко
Агрофизический научно-исследовательский институт
Email: melkii844@gmail.com
Россия, 195220 Санкт-Петербург, Гражданский просп., 14
Ю. В. Хомяков
Агрофизический научно-исследовательский институт
Email: melkii844@gmail.com
Россия, 195220 Санкт-Петербург, Гражданский просп., 14
Г. Г. Панова
Агрофизический научно-исследовательский институт
Email: melkii844@gmail.com
Россия, 195220 Санкт-Петербург, Гражданский просп., 14
Т. Э. Кулешова
Агрофизический научно-исследовательский институт
Email: melkii844@gmail.com
Россия, 195220 Санкт-Петербург, Гражданский просп., 14
Список литературы
- Logan B. Microbial fuel cells. John Wiley & Sons, 2008. 216 р.
- McCormick A.J., Bombelli P., Bradley R.W., Thorne R., Wenzel T., Howe C.J. Biophotovoltaics: oxygenic photosynthetic organisms in the world of bioelectrochemical systems // Energy Environ. Sci. 2015. V. 8. № 4. P. 1092–1109.
- Strik D.P., Hamelers H.V.M., Snel J.F., Buisman C.J. Green electricity production with living plants and bacteria in a fuel cell // Inter. J. Energy Res. 2008. V. 32. № 9. P. 870–876.
- Kabutey F.T., Zhao Q., Wei L., Ding J., Antwi P., Quashie F.K., Wang W. An overview of plant microbial fuel cells (PMFCs): Configurations and applications // Renew. Sustain. Energy Rev. 2019. V. 110. P. 402–414.
- Кулешова Т.Э., Галушко А.С., Панова Г.Г., Волкова Е.Н., Apollon W., Shuang C., Sevda S. Биоэлектрохимические системы на основе электроактивности растений и микроорганизмов в корнеобитаемой среде (обзор) // Сел.-хоз. биол. 2022. Т. 57. № 3. С. 425–440.
- Maddalwar S., Nayak K.K., Kumar M., Singh L. Plant microbial fuel cell: opportunities, challenges, and prospects // Bioresource Technol. 2021. V. 341. P. 125772.
- Ahn Y., Logan B.E. Altering anode thickness to improve power production in microbial fuel cells with different electrode distances // Energy and Fuels. 2013. V. 27. № 1. P. 271–276.
- Bond D.R., Lovley D.R. Evidence for involvement of an electron shuttle in electricity generation by Geothrixfermentans // Appl. Environ. Microbiol. 2005. V. 71. № 4. P. 2186–2189.
- Martinez C.M., Luis H.A. Application of redox mediators in bioelectrochemical systems // Biotechnol. Аdv. 2018. V. 36. № 5. P. 1412–1423.
- Wilkinson S., Klar J., Applegarth S. Optimizing biofuel cell performance using a targeted mixed mediator combination // Electroanalysis: Inter. J. Devot. Fundament. Practic. Aspects Electroanal. 2006. V. 18. № 19–20. P. 2001–2007.
- Lovley D.R., Fraga J.L., Blunt-Harris E.L., Hayes L.A., Phillips E.J.P., Coates J.D. Humic substances as a mediator for microbially catalyzed metal reduction // Acta Hydrochim. Hydrobiol. 1998. V. 26. № 3. P. 152–157.
- Lovley D., Coates J., Blunt-Harris E., Philips E., Woodward J. Humic substances as electron acceptors for microbial respiration. // Nature. 1996. V. 382. № 6590. P. 445–448.
- Zhang C., Katayama A. Humin as an electron mediator for microbial reductive dehalogenation // Environ. Sci. Technol. 2012. V. 46. № 12. V. 6575–6583.
- Stern N., Mejia J., He S., Yang Y., Ginder-Vogel M., Roden E.E. Dual role of humic substances as electron donor and shuttle for dissimilatory iron reduction // Environ. Sci. Technol. 2018. V. 52. № 10. P. 5691–5699.
- Pham D.M., Kasai T., Yamaura M., Katayama A. Humin: No longer inactive natural organic matter // Chemosphere. 2021. V. 269. P. 128697.
- Yang P., Jiang T., Cong Z., Liu G., Guo Y., Liu Y., Shi J., Hu L., Yin Y., Cai Y., Jiang G. Loss and increase of the electron exchange capacity of natural organic matter during its reduction and reoxidation: The Role of quinone and nonquinone moieties // Environ. Sci. Technol. 2022. V. 56. № 10. P. 6744–6753.
- Scott D.T., McKnight D.M., Blunt-Harris E.L., Kolesar S.E., Lovley D.R. Quinone moieties act as electron acceptors in the reduction of humic substances by humics-reducing microorganisms // Environ. Sci. Technol. 1998. V. 32. № 19. P. 2984–2989.
- Walpen N., Getzinger G.J., Schroth M.H., San-der M. Electron-donating phenolic and electron-accepting quinone moieties in peat dissolved organic matter: quantities and redox transformations in the context of peat biogeochemistry // Environ. Sci. Technol. 2018. V. 52. № 9. P. 5236–5245.
- Stevenson F.J. Humus chemistry: genesis, composition, reactions. John Wiley & Sons, 1994.
- Sun J., Li W., Li Y., Hu Y., Zhang Y. Redox mediator enhanced simultaneous decolorization of azo dye and bioelectricity generation in air-cathode microbial fuel cell // Bioresour. Technol. 2013. V. 142. P. 407–414.
- Thygesen A., Poulsen F.W., Min B., Angelidaki I., Thomsen A.B. The effect of different substrates and humic acid on power generation in microbial fuel cell operation // Bioresour. Technol. 2009. V. 100. № 3. P. 1186–1191.
- Чесноков В.А., Базырина Е.Н., Бушуева Т.М. Выращивание растений без почвы. Л.: Изд-во ЛГУ, 1960. 170 с.
- Орлов Д.С., Гришина Л.А. Практикум по химии гумуса: Учеб. пособ. для студ.-почвовед. ун-тов и сел.-хоз. ин-тов. М.: Изд-во МГУ, 1981. 272 с.
- Ширшова Л.Т., Гиличинский Д.А., Остроумова Н.В., Ермолаев А.М. Применение спектрофотометрии для определения содержания гуминовых веществ в многолетнемерзлых отложениях // Криосфера Земли. 2015. Т. 19. № 4. С. 107–113.
- Кулешова Т.Э., Панова Г.Г., Галль Н.Р., Галушко А.С. Концентрационный элемент на основе электрогенных процессов в корнеобитаемой среде // Письма в журн. техн. физики. 2022. Т. 48. № 8. С. 29–32.
- Кулешова Т.Э., Галль Н.Р. Динамика биоэлектрического потенциала в прикорневой зоне растений при поливах // Почвоведение. 2021. № 3. С. 338–346.
Дополнительные файлы





