Managing the productivity of flax by optimizing nutrition
- Авторлар: Sorokina O.Y.1
-
Мекемелер:
- Federal Research Center for Bast Fiber Crops
- Шығарылым: № 8 (2024)
- Беттер: 42-49
- Бөлім: Fertilizers
- URL: https://medbiosci.ru/0002-1881/article/view/263789
- DOI: https://doi.org/10.31857/S0002188124080067
- EDN: https://elibrary.ru/cdwwll
- ID: 263789
Дәйексөз келтіру
Толық мәтін
Аннотация
In the Tver region, on sod-podzolic light loamy soil, the productivity management of fiber flax varieties (Zaryanka and Diplomat) with different maturation periods was studied by optimizing their mineral nutrition. To calculate the dose of mineral nutrition, 3 methods were used: balanced modified by Kayumov, balanced to compensate for the removal, and by the ratio of elements in the fertilizer. Accordingly, the doses were N0P0K0 (control), N30P0K50, N30P22K80, and N30P60K150. It was found that despite various weather conditions, the use of fertilizers from the initial phases of flax plant growth allowed plants to accumulate a large biomass: in arid conditions, on average, for varieties by 58% more, in optimal water supply conditions – by 45%. The absorption of nutrients by flax plants increased with an increase in the dose of the introduced elements. With an equal dose of nitrogen in the fertilizer, its amount was greater both in the roots and stems of flax, with increasing doses of phosphorus and potassium in the fertilizer. The content of nitrogen, phosphorus and potassium in the flax roots of the late-maturing Diplomat variety was higher than that of the early-maturing Zaryanka. When optimizing nutrition by applying fertilizers in doses of N30P22K80 and N30P60K150, the proportion of stems in the structure of flax plants increased and amounted to 45 and 46% in the Zaryanka variety, 44 and 49% in the Diplomat variety, respectively to dosage. Without fertilizers, the share of the stem was 38%, and the share of roots and leaves was the highest – 22 and 42%. The production process in this case was less rational. The late-maturing Diplomat variety, on average, for 3 years, when applying all doses of fertilizers, had a yield of flax straw by 3.1–3.9 c/ha more than the early-maturing Zaryanka variety. In the early-maturing variety Zaryanka, a higher dose of fertilizers N30P60K150 reduced the quality indicators: the number of the long fiber and the percentage number of the entire fiber, especially during the dry growing season.
Негізгі сөздер
Толық мәтін
Введение
В условиях интенсификации сельскохозяйственного производства важнейшей задачей является создание оптимальной системы питания растений, обеспечивающей полную реализацию генетического потенциала сорта с получением максимально возможного урожая с хорошим качеством продукции. Для решения данной задачи следует определиться с дозой удобрений и оптимальным соотношением элементов в них при возделывании льна. Величина дозы зависит от многих факторов: вида предшественника и степени его удобренности, погодных условий периода вегетации, гранулометрического состава и агрохимических показателей почвы, особенностей возделываемого сорта, планируемой урожайности. Нерациональным применением удобрений можно реально снизить качество волокна льна [1].
При выборе доз минеральных удобрений необходимо нацеливаться на получение не только наибольшей прибавки урожайности, но и высокой окупаемости затрат на их применение [2]. Например, на светло-серой лесной почве применение полного минерального удобрения N45Р90K90 позволило получить не только максимальную урожайность льносоломы, но и способствовало увеличению общего выхода волокна (на 5%) и длинного (на 15%) [3]. Исследования на дерново-подзолистой среднесуглинистой почве с низким содержанием гумуса с новым сортом льна-долгунца Феникс показали, что применение (NPK)48–64 позволило получить высокий урожай продукции. Увеличение дозы удобрения приводило к снижению прочности и гибкости волокна [4]. На дерново-подзолистой среднесуглинистой почве при возделывании льна сорта Сурский наибольшую урожайность всего и длинного волокна (2.33 и 2.16 т/га соответственно) и высокое качество стланцевой тресты 2.8 номера обеспечило сочетание 24 млн всхожих семян / га с дозой удобрения N15Р30K60 [5].
Современные сорта имеют более высокое содержание волокна в стебле – 30–35% против 20–23% у старых сортов, что требует оптимизации дозы минерального удобрения, чтобы не вызвать полегание посева [6, 7]. Сортовые особенности влияют на структуру урожая. Наиболее существенно отличаются раннеспелые и позднеспелые сорта [8]. Взаимосвязь между реакцией сорта на высокий фон удобрений и скороспелостью отмечали ряд авторов [9, 10]. Оптимизация минерального питания способствует лучшей направленности продукционного процесса, выраженного в накоплении растениями льна полноценной хозяйственно ценной части урожая – волокна [11].
Цель работы – выявить оптимальные условия минерального питания различных по срокам созревания сортов льна-долгунца для получения высокой продуктивности культуры и качественной льнопродукции.
Методика исследования
Исследование проведено в Тверской обл. на дерново-подзолистой легкосуглинистой на моренном карбонатном суглинке почве. Содержание гумуса в пахотном слое – 1.3%, подвижных фосфора и калия (по Кирсанову) – 217–222 и 86– 100 мг/кг соответственно, рНKCl 5.2 ед. [12].
Для изучения влияния питания на продукционный процесс разных по срокам созревания сортов льна-долгунца использовали дозы удобрений, рассчитанные разными методами:
1 – балансовый метод на запланированный урожай льносоломы (с учетом побочной) 40 ц/га по формуле, предложенной ВИУА и модифицированной Каюмовым [13]. Вынос питательных веществ 1 ц основной продукции и соответствующей ей побочной, кг: P2O5 – 0.55, K2O – 1.97, N – 1.3 [14, с. 34]. При повышенном содержании фосфора (в нашем случае от 217 до 222 мг/кг) по этому способу расчета внесение фосфора не требовалось. Доза азота при этом методе расчета составляла значительную величину (75–80 кг/га). Так как лен возделывают на легкосуглинистой почве и по данным многих опытов ОП НИИЛ и др. исследователей [15, 16] наибольшая доза азота для льна равна 30 кг/га. Соответственно, в этом варианте доза для внесения составила N30Р0K50 (80 кг д. в./га);
2 – балансовый метод расчета доз фосфорных и калийных удобрений по методу компенсации их выноса урожаями: P2O5 – на 100, K2O – на 100% [15, с. 100]. Доза составила N30Р22K80 (132 кг д. в./га);
3 – по соотношению элементов в удобрениях: N : P : K = 1 : 2 : 5, что соответствовало дозе N30Р60K150 (240 кг д. в./га) [17, с. 122].
Исследования проводили с раннеспелым сортом Зарянка и позднеспелым Дипломат.
Наблюдения и исследования проводили в соответствии с [18]. Агротехника возделывания – общепринятая в данной зоне. Норма высева – 20 млн всхожих семян/га, способ посева – узкорядный. Площадь делянки 33 м2, повторность четырехкратная.
В растениях определяли содержание общего фосфора методом электроколориметрии, калия – методом пламенной фотометрии, азота – колориметрическим феноловым методом в модификации Кудеярова из одной навески после мокрого сжигания [18]. Учет урожайности осуществляли сплошным методом с каждой делянки с последующим пересчетом на стандартную влажность 19%, нормированную засоренность 5% [19]. Показатели качества волокна определяли по методике [20].
Экспериментальные данные обрабатывали методом дисперсионного анализа.
Результаты и их обсуждение
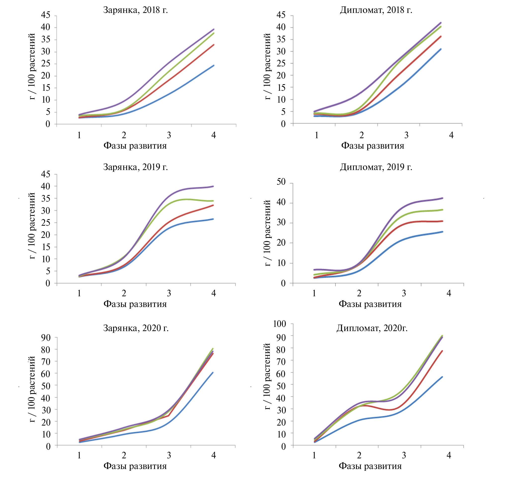
В продукционном процессе роль минеральных удобрений высока. С фазы развития “елочка” отметили преимущество применения полных минеральных удобрений в накоплении биомассы растениями как раннеспелого сорта Зарянка, так и позднеспелого сорта Дипломат. При графическом изображении данных прироста воздушно-сухой массы наблюдали, что кривые прироста по годам несколько отличались (рис. 1).
Гидротермические условия вегетационных периодов влияли на этот процесс. Например, в 2018 г. гидротермический коэффициент (ГТК) за вегетацию был равен 1.09. Фазы развития льна прошли в более короткий срок. Вегетационный период у раннеспелого сорта Зарянка составил 67 сут, у позднеспелого сорта Дипломат – 80 сут, и было накоплено воздушно-сухой массы 40 и 43 г/100 растений соответственно сортам в вариантах полного применения удобрений. В 2020 г. ГТК за этот период был равен 2.15, и продолжительность вегетации составила 83 и 90 сут соответственно сортам. Накопление воздушно-сухой массы к концу вегетации было в 2 раза больше и составило 80 и 90 г/100 растений соответственно.
Рис. 1. Накопление воздушно-сухой массы растениями льна-долгунца в фазах вегетации: 1 – “елочка”, 2 – быстрый рост, 3 – бутонизация, 4 – цветение.
Увеличение массы растений как у сорта Зарянка, так и у сорта Дипломат, происходило с ростом дозы NPK до 240 кг д. в./га, начиная с фазы “елочка” и до окончания вегетации. Увеличение массы растений льна при применении дозы (NPK)132 в некоторые годы приближалось к накоплению биомассы в варианте применения более высокой дозы, но в среднем урожайность была меньше. В первых фазах развития растения льна в варианте без внесения фосфора наращивали меньшую массу, чем в вариантах с внесением всех элементов. В более благоприятном вегетационном периоде (2020 г.), биомасса растений в варианте без фосфора приблизилась к варианту внесения полного удобрения у раннеспелого сорта Зарянка, а у позднеспелого сорта Дипломат прирост массы хотя и приближался на первых этапах к вариантам с полным внесением удобрений, но к цветению заметно был меньше (рис. 1). Оценка гидротермических условий (за 72 года) по величине коэффициента ГТК (оптимальный – от 1.0 до 2.0) за вегетационный период для льна-долгунца (май–август) показала, что благоприятными они бывают в 60% вегетационных периодов [21].
Таблица 1. Влияние различных доз удобрений на поглощение и распределение элементов питания (NPK) в растениях льна (на 22-е сут после всходов, среднее за 3 года), мг/10 растений
Доза удобрений | Стебель | Корень | ΣNPK стебель + корень | ||||||
N | P2O5 | K2O | ΣNPK | N | P2O5 | K2O | ΣNPK | ||
Сорт Зарянка | |||||||||
Без удобрений | 9.5 | 1.8 | 8.4 | 19.7 | 1.36 | 0.34 | 1.97 | 3.67 | 23.4 |
N30P0K50 | 13.4 | 2.4 | 12.6 | 28.4 | 1.72 | 0.43 | 2.68 | 4.83 | 33.2 |
N30P22K80 | 14.2 | 2.7 | 16.1 | 33.0 | 1.86 | 0.46 | 3.22 | 5.54 | 38.5 |
N30P60K150 | 16.0 | 3.3 | 19.8 | 39.1 | 2.04 | 0.53 | 4.07 | 6.64 | 45.7 |
Сорт Дипломат | |||||||||
Без удобрений | 9.4 | 1.86 | 8.7 | 20.0 | 1.40 | 0.36 | 2.28 | 4.04 | 24.0 |
N30P0K50 | 13.8 | 2.5 | 12.4 | 28.7 | 2.11 | 0.47 | 3.87 | 6.45 | 35.2 |
N30P22K80 | 14.1 | 2.77 | 16.2 | 33.0 | 1.95 | 0.51 | 3.41 | 5.87 | 38.9 |
N30P60K150 | 17.0 | 3.43 | 20.2 | 40.6 | 2.44 | 0.58 | 4.81 | 7.83 | 48.5 |
Применение различных доз минеральных удобрений повлияло на поглощение и распределение элементов питания в молодых растениях льна. В варианте без удобрений было отмечено значительно меньшее как суммарное поглощение, так и отдельных элементов. В варианте без фосфорных удобрений поступление фосфора как в стебли, так и в корни, было меньше, чем в вариантах с полным внесением элементов, но больше, чем в варианте без удобрений. Доза азота во всех вариантах применения удобрений была одинаковой, а поступление его в растения льна увеличивалось с увеличением дозы фосфора и калия.
При поглощении калия растениями льна отмечена четкая закономерность. Чем больше была доза внесенного калия, тем больше было его поглощение. Позднеспелый сорт Дипломат в корнях накапливал больше элементов питания, чем раннеспелый сорт Зарянка (табл. 1).
Перераспределение элементов из корня в стебель зависело от метеорологических условий периода вегетации и сорта. В 2020 г. элементы питания сразу переходили в стебель льна. Азота было в 16 раз больше в стебле, чем в корнях, фосфора – в 14 раз, калия – в 8 раз у сорта Зарянка. В 2019 г. соотношение содержания элементов в стебле и корне было минимальным (рис. 2).
Дозы удобрений, рассчитанных разными способами, повлияли на формирование структуры растений льна. Без применения удобрений растения льна, стремясь получить питание, увеличивали долю корней и листьев в ущерб стеблей – основной продукции, ради которой возделывают лен-долгунец. Например, в фазе развития “быстрый рост” в варианте без применения удобрений доля корней и листьев в структуре растения была самой высокой – 22 и 40% (сорт Зарянка), 42% (сорт Дипломат) соответственно, а доля стеблей – самой низкой: 38% у сорта Зарянка и 36% у сорта Дипломат. Наибольшая доля стеблей у сорта Зарянка (45 и 46%) и у сорта Дипломат (44 и 49%) сформировалась при оптимизации питания за счет внесения удобрений в дозах N30P22K80 и N30P60K120 (рис. 3).
Рис. 2. Соотношение содержания элементов питания в стеблях и корнях растений льна-долгунца в зависимости от года и сорта (среднее в вариантах доз удобрений, на 22-е сут вегетации).
Рис. 3. Влияние дозы удобрения на соотношение корни : стебли : листья в структуре растений льна-долгунца в фазе быстрого роста, %. Варианты: 1 – без удобрений, 2 – без фосфора N30P0K50, 3 – N30P22K50 или (NPK)132, 4 – N30P60K150 или (NPK)240.
Продукционный процесс в этих вариантах был оптимальным для получения основной продукции льна-долгунца – стеблей (волокна).
Наиболее высокая урожайность льносоломы в среднем за 3 года была получена при применении наибольшей дозы минерального удобрения при применении расчета по соотношению элементов питания в удобрении N : P : K = 1 : 2 : 5. В отдельные годы урожайность льносоломы в варианте расчета на компенсацию выноса (соотношение N : P : K = 1 : 0.7 : 3.6) была близкой (в пределах ошибки опыта). Позднеспелый сорт Дипломат в среднем за 3 года во всех вариантах удобрения имел урожайность льносоломы больше на 3.1–3.9 ц/га, чем раннеспелый сорт Зарянка. Урожайность льносемян в меньшей степени зависела от дозы удобрения и сорта, а больше от погодных условий в момент цветения и налива семян. При всех способах расчета доз удобрений в среднем за 3 года урожайность семян льна была больше контроля без удобрений на 1.2– 1.6 ц/га у сорта Зарянка и на 1.0– 1.5 ц/га у сорта Дипломат (табл. 2).
Таблица 2. Влияние различных доз удобрений на урожайность льна-долгунца, ц/га
Удобрения | 2018 г. | 2019 г. | 2020 г. | Среднее за 3 года | ||||
1 | 2 | 1 | 2 | 1 | 2 | 1 | 2 | |
Сорт Зарянка | ||||||||
Без удобрений | 29.4 | 2.3 | 24.0 | 5,1 | 25.1 | 7.2 | 24.1 | 4.9 |
N30P0K50 | 28.5 | 2.6 | 31.0 | 7.9 | 29.5 | 7.7 | 29.7 | 6.1 |
N30P22K80 | 33.3 | 2.8 | 36.7 | 7.1 | 39.8 | 9.2 | 36.6 | 6.4 |
N30P60K150 | 38.0 | 1.8 | 39.6 | 8.1 | 40.7 | 9.7 | 39.4 | 6.5 |
НСР05 | 2.9 | 0.5 | 3.3 | 0.8 | 4.2 | 1.2 | ||
Сорт Дипломат | ||||||||
Без удобрений | 28.0 | 2.1 | 22.2 | 6.5 | 24.9 | 6.3 | 25.0 | 5.0 |
N30P0K50 | 32.1 | 2.5 | 31.3 | 7.3 | 37.4 | 8.2 | 33.6 | 6.0 |
N30P22K80 | 36.5 | 2.0 | 38.9 | 7.7 | 43.6 | 9.0 | 39.7 | 6.2 |
N30P60K150 | 42.6 | 2.8 | 40.5 | 7.4 | 46.1 | 9.5 | 43.1 | 6.5 |
НСР05 | 3.2 | 0.6 | 4.1 | 0.7 | 4.0 | 0.8 | ||
Примечание. В графе 1 – льносолома, 2 – семена.
Таблица 3. Влияние удобрений на качество льносоломы (№ длинного волокна и проценто-номер всего волокна)
Вариант | № длинного волокна | %№ всего волокна | ||||||
2018 г. | 2019 г. | 2020 г. | среднее за 3 года | 2018 г. | 2019 г. | 2020 г. | среднее за 3 года | |
Сорт Зарянка | ||||||||
Без удобрений | 8.7 | 10.4 | 9.3 | 9.5 | 147 | 205 | 169 | 174 |
N30P0K50 | 8.8 | 10.5 | 9.7 | 9.7 | 154 | 200 | 231 | 194 |
N30P22K80 | 9.9 | 9.6 | 10.5 | 10.0 | 182 | 178 | 263 | 208 |
N30P60K150 | 9.6 | 9.7 | 9.7 | 9.7 | 171 | 175 | 202 | 183 |
Сорт Дипломат | ||||||||
Без удобрений | 9.1 | 8.5 | 10.3 | 9.3 | 156 | 238 | 221 | 205 |
N30P0K50 | 9.3 | 8.8 | 10.5 | 9.5 | 232 | 214 | 232 | 226 |
N30P22K80 | 10.2 | 8.8 | 11.4 | 10.1 | 219 | 223 | 278 | 240 |
N30P60K150 | 10.7 | 9.5 | 11.2 | 10.5 | 232 | 229 | 261 | 241 |
Регуляторы роста растений
Технологическая оценка льняной соломы показала, что с увеличением продолжительности вегетационного периода до биологически обусловленного, когда элементы питания поступали более продолжительное время и более равномерно (как в 2020 г.), комплексный показатель качества льносоломы – проценто-номер (%№) всего волокна и номер длинного волокна (№) был больше, особенно у позднеспелого сорта Дипломат, у которого более высокая доза удобрений (N30P60K150) не снизила этот показатель. В среднем за 3 года более высокий комплексный показатель %№ всего волокна и номер длинного волокна у раннеспелого сорта Зарянка был отмечен при применении дозы N30P22K80. Более высокая доза удобрения N30P60K150 увеличивала урожайность льносоломы, но снижала показатели ее качества. У позднеспелого сорта Дипломат более высокая доза удобрения с широким соотношением элементов в нем позволяла получить наибольшую урожайность льносоломы с хорошим качеством (табл. 3).
Заключение
Таким образом, установлено, что управление продуктивностью льна-долгунца путем оптимизации питания было эффективным. Несмотря на различные погодные условия, применение удобрений с начальных фаз роста растений льна позволило ему накапливать большую биомассу: в засушливый период вегетации в среднем для сортов – на 58, в оптимальных условиях водообеспечения – на 45% больше, чем в контроле без удобрений.
Поглощение элементов питания растениями льна-долгунца увеличивалось с ростом дозы вносимых удобрений. Поступление азота как в корни, так и в стебли, возрастало при увеличении доз фосфора и калия, при выравненной его дозе в удобрении. У позднеспелого сорта Дипломат в корнях содержание элементов питания было больше, чем у раннеспелого сорта Зарянка. На перераспределение элементов питания из корней в стебель заметное влияние оказывали температурный и влажностный режим. В разные годы количество поступивших элементов различалось: азота – в 1.8–4.0 раза, фосфора – в 1.8–3.5 раза, калия – в 1.3–3.2 раза.
При оптимизации питания за счет внесения удобрений в дозах N30P22K80 (или (NPK)132) и N30P60K150 (или (NPK)240) доля стеблей в структуре растений льна возрастала. В фазе “быстрый рост” его доля составила у сорта Зарянка 45 и 46%, у сорта Дипломат – 44 и 49% соответственно дозам. Без применения удобрений доля стеблей была самой низкой: 38% у сорта Зарянка и 36% у сорта Дипломат, а доля корней и листьев – самой высокой (22 и 40% у сорта Зарянка и 42% у сорта Дипломат).
Отмечали положительное действие фосфорного удобрения (22 кг/д.в.) при добавлении его к дозе N30K80 на урожайность льносоломы на дерново-подзолистой легкосуглинистой почве с высоким содержанием фосфора. Повышение урожайности льносоломы раннеспелого сорта Зарянка в среднем за 3 года составило 6.9 ц/га и 0.3 ц/га – льносемян, позднеспелого Дипломат – 6.1 и 0.2 ц/га соответственно в сравнении с вариантом без фосфора N30P0K50.
Наибольшая урожайность льносоломы в среднем за 3 года была получена при внесении дозы удобрений, полученной при расчете по соотношению элементов питания: N : P : K = 1 : 2 : 5 (или (NPK)240). В отдельные годы урожайность льносоломы в варианте расчета доз удобрений на компенсацию выноса (1 : 0.7 : 3.6 = (NPK)132) была близкой к варианту (NPK)240. Позднеспелый сорт Дипломат в среднем за 3 года имел урожайность больше на 3.1–3.9 ц/га, чем раннеспелый сорт Зарянка. Урожайность льносемян при всех способах расчета удобрений была больше контроля без удобрений на 1.2–1.6 ц/га у сорта Зарянка и на 1.0– 1.5 ц/га – у сорта Дипломат.
Применение более высокой дозы удобрения (N30P60K150) под раннеспелый сорта Зарянка снижало номер длинного волокна, и проценто-номер всего волокна особенно в засушливый вегетационный период. Снижение качественных показателей у позднеспелого сорта Дипломат не отмечено.
Установлено, что балансовый метод расчета по Каюмову в меньшей степени подходит для расчета дозы удобрения под лен-долгунец, т. к. расчетная доза азота сильно завышена, а фосфора – занижена.
Авторлар туралы
O. Sorokina
Federal Research Center for Bast Fiber Crops
Хат алмасуға жауапты Автор.
Email: olga-sorokina@bk.ru
Ресей, Komsomolskiy prosp. 17/56, Tver 170041
Әдебиет тізімі
- Черников В.Г., Ростовцев Р.А., Кудрявцев Н.А., Ущаповский И.В., Попов Р.А., Скворцов С.С. Влияние факторов окружающей среды на урожай и качество льняного сырья // Вестн. аграрн. науки. 2020. № 5(86). С. 3–10.
- Система оценки влияния агрохимических факторов на формирование урожайности льна-долгунца. М.: ВНИИА, 2016. 124 с.
- Белоусова Е.Г., Спиридонов А.В., Титова В.И. Влияние удобрений на урожайность льна и качество льнопродукции при выращивании его на светло-серой лесной легкосуглинистой почве // Международ. сел.-хоз. журн. 2019. № 1(367). С. 32–35.
- Гаврилова А.Ю., Конова А.М. Урожайность льна-долгунца и качество волокна в зависимости от возрастающих доз минеральных удобрений // Вестн. Ульяновск. ГСХА. 2022. № 2(58). С. 52–59.
- Кузьменко Н.Н., Сухопалова Т.П., Ильина В.И. Влияние агротехнологических элементов возделывания на продукционный процесс льна-долгунца // Перм. аграрн. вестн. 2019. № 1. С. 48–54.
- Gupta M., Kour S., Gupta V., Bharat R., Sharma C. Effect of different doses of fertilizers in yield and NPK uptake of linseed (Linum usitatissimum L.) // Bangladesh J. Bot. 2017. V. 46(2). P. 575–581.
- Понажев В.П., Медведева О.В. Современные достижения селекции и семеноводства для выращивания льна // Достиж. науки и техню АПК. 2015. Т. 29. № 9. С. 36–39.
- Карпунин Б.Ф. Прогнозирование структуры урожая у льна-долгунца для применения в точном земледелии // Земледелие. 2016. № 1. С. 5–7.
- Носевич М.А., Новохацкая Д.М. Урожай и качество волокна льна-долгунца в зависимости от сортовых особенностей, норм высева и применения биопрепаратов // Плодородие. 2015. № 6. С. 24–27.
- Ториков В.Е., Шаков В.М., Романова И.Н. Эффективность агроприемов возделывания новых сортов льна-долгунца на юго-западе Нечерноземья России // Вестн. Ижевск. ГСХА. 2016. № 2. С. 16–25.
- Сорокина О.Ю. Оценка ассортимента удобрений и способов их внесения под новый сорт льна-долгунца Универсал // Аграрн. наука. 2021. № 6(350). С. 55–59.
- Практикум по агрохимии: Учеб. пособ. / Под ред. В.Г. Минеева. 2-е изд., перераб. и доп. М.: Изд-во МГУ, 2001. 689 с.
- Каюмов М.К. Программирование урожаев сельскохозяйственных культур. М.: Агропромиздат, 1989. 56 с.
- Тихомирова В.Я., Сорокина О.Ю., Кузьменко Н.Н., Нечушкин С.М. Усовершенствованная система применения удобрений в льняном севообороте. Торжок: ООО “Фирма Вариант”, 2005. С. 14–16.
- Тихомирова В.Я., Сорокина О.Ю. Лен-долгунец. Биологические особенности. Управление формированием урожая и его качество: научн. изд-е. Тверь: Тверь. гос. ун-т, 2011. С. 100–101.
- Golub I.A., Blokhina I.N. Reaction of Belarusian and French fiber flax samples on nitrogen doses along the duration of the growing season, yield of seeds and fiber // Crop Farm. Plant Grow. 2020. V. 2. P. 52–55.
- Кошелева Л.Л. Физиология питания и продуктивность льна-долгунца. Минск: Наука и техника, 1980. 200 с.
- Методические указания по проведению агрохимических исследований со льном-долгунцом. М.: Типография ВАСХНИЛ, 1972. 49 с.
- ГОСТ 14897-69 Солома льняная. Изд-е офиц. М.: Изд-во стандартов, 1979. 16 с.
- Методические указания по проведению технологической оценки льносоломы и опытов по первичной обработке льна. Торжок: ВНИИЛ, 1972. 38 с.
- Сорокина О.Ю. Продуктивность льна-долгунца в зависимости от метеоусловий, удобрений и сорта // Агрохим. вестн. 2022. № 3. С. 23–27.
Қосымша файлдар




