Effect of the growth-stimulating bacterium Pseudomonas protegens DA1.2 and its metabolites on damage to rapeseed by soil residues of metsulfuron-methyl
- Authors: Bakaeva M.D.1, Kendzhieva A.A.1, Starikov S.N.1, Chetverikov S.P.1, Chetverikova D.V.1
-
Affiliations:
- Ufa Institute of Biology, Ufa Federal Research Center, RAS
- Issue: No 12 (2024)
- Pages: 30-35
- Section: Пестициды
- URL: https://medbiosci.ru/0002-1881/article/view/273571
- DOI: https://doi.org/10.31857/S0002188124120041
- EDN: https://elibrary.ru/vwirwa
- ID: 273571
Cite item
Full Text
Abstract
The biochemical processes mediating the positive effect of bacteria on plants experiencing herbicidal stress were investigated. For this purpose the effect of the Pseudomonas protegens DA1.2 bacterial strain, low molecular weight (<5 kDa) and high molecular weight (>5 kDa) fractions of its culture fluid (CF) on the activity of acetolactate synthase (ALS) and the antioxidant status of rapeseed (Brassica napus L.) of the Kupol variety grown under artificial lighting in methsulfuron-methyl contaminated soil was evaluated. Strain P. protegens DA1.2 and its metabolites contributed to an increase in the mass of rapeseed shoots by 21–68%, reduced the inhibition of the ALS enzyme by 11–24% and mitigated the manifestations of oxidative stress. The protective effect of the treatments decreased in a row: CF with living bacterial cells-low molecular weight fraction of CF-high molecular weight fraction of CF. An increase in the activity of superoxide dismutase by 51–94% and glutathione reductase by 17–20% in plants treated with bacteria or their metabolites indicated the possible participation of these antioxidant enzymes in reducing the phytotoxicity of metsulfuron-methyl soil residues for rapeseed plants.
Full Text
ВВЕДЕНИЕ
Метсульфурон-метил является одним из наиболее широко используемых гербицидов на полях по всему миру из-за его низкой стоимости и действия на широкий спектр сорных растений. Однако метсульфурон-метил может быть токсичным для чувствительных видов растений в системах севооборота при чрезвычайно низких концентрациях в почве [1–3]. Время персистенции метсульфурон-метила в почве может составлять от от нескольких недель до нескольких месяцев в зависимости от рН почвы, содержания органического углерода, микробной биомассы и глинистой фракции [4, 5]. Это приводит к необходимости применения средств, которые защищали бы чувствительные культуры от остатков метсульфурон-метила.
Исследователи активно ищут новые возможности практического применения полезных для растений микроорганизмов [6]. Это связано с растущей обеспокоенностью потребителей сельскохозяйственной продукции токсическим воздействием пестицидов, а также большим потенциалом бактерий для решения различных задач агрономии. Использование бактерий в качестве антидотов гербицидов было продемонстрировано относительно недавно [7–9]. В описанных экспериментах зафиксировано улучшение роста сельскохозяйственных растений, но мало внимания уделено биохимическим процессам, опосредующим защитное действие бактерий.
Гербицидный эффект метсульфурон-метила связан с ингибированием ферментативной активности ацетолактатсинтазы (АЛС) чувствительных растений. Также этот гербицид может влиять на накопление активных форм кислорода в обработанных растениях, хотя окислительный стресс является вторичным следствием ингибирования АЛС [10]. Цель работы – оценка влияния бактерий P. protegens DA1.2 и содержащей их метаболиты культуральной жидкости (КЖ) на активность АЛС и антиоксидантный статус растений рапса, выращенных в загрязненной метсульфурон-метилом почве.
МЕТОДИКА ИССЛЕДОВАНИЯ
Штамм бактерий DA1.2 вида P. protegens был ранее выделен авторами и описан как стимулятор роста растений, эффективно действующий на фоне засухи и гербицидных обработок [11]. Бактерию выращивали в питательной среде King B в шейкере-инкубаторе ES-20/60 (Biosan, Латвия) при 160 об./мин и 28 оC в течение 72 ч. С помощью мембранного фильтра CHROMAFIL®Xtra PTFE (MACHEREY-NAGEL, Германия) с диаметром пор 0.45 мкм была получена бесклеточная культуральная жидкость, из которой ультрафильтрацией на установке “Vivaflow 50” (Sartorius, Германия) выделена фракция с молекулярным весом метаболитов <5 кДа. Высокомолекулярные фракции были доведены 0.1 М калий-фосфатным буфером (рН 7.0) до объема исходной культуральной жидкости. Для уменьшения содержания низкомолекулярных метаболитов в высокомолекулярной фракции она была 10-кратно подвергнута ультрафильтрации с замещением буфером отфильтрованного объема жидкости.
Рапс (Brassica napus L.) сорта Купол был выбран в качестве тест-растения, поскольку он чувствителен к метсульфурон-метилу и часто следует в севооборотах за однодольными зерновыми культурами, в посевах которых применяют этот гербицид. Для обработок был использован препарат Наномет (ООО «Пестициды РУ», Россия) с содержанием метсульфурон-метила 60%.
Вегетационный опыт был заложен в 2023 г. в Уфимском институте биологии УФИЦ РАН с использованием почвы из верхнего слоя чернозема (Chernozem Haplic согласно WRB, Cорг – 3.5%, Nобщ – 0.45%, PEgner – 140 мг/кг, KEgner – 125 мг/кг, pHKCl 6.5). Почва была обработана гербицидом из расчета 0.05 мг действующего вещества на 1 кг и помещена в вентилируемые контейнеры на 4 мес., после чего использована для выращивания рапса. Способ подготовки грунта был выбран на основании ранее проведенных исследований [12]. Семена рапса высаживали в горшки объемом 0.2 л и выращивали при искусственном освещении. Плотность потока фотонов – 190 мкмоль/м2/с, фотопериод 14 ч, температура 20–25оC, влажность почвы 60 ± 5% ПВ. Половину сеянцев опрыскали культурой бактерий, разведенной до титра 105 КОЕ/мл. Другую половину обработали смесью питательной среды King B и воды в соотношении 1 : 10000. Контрольные растения выращивали без воздействия гербицидов или бактерий. Каждому варианту опыта соответствовали 30 горшков с растениями. В возрасте 18 сут свежесрезанные побеги (n = 30) взвешивали на аналитических весах HR-250AZG (AND, Токио, Япония). Биохимические анализы проводили на 14–17-е сут после появления всходов в 5-кратной повторности. Для оценки активности ALS in vivo были использованы описания анализа, приведенные в работе [13]. Перекисное окисление липидов оценивали с помощью анализа веществ, реагирующих с тиобарбитуровой кислотой, усовершенствованного в работе [14]. Для измерения активности антиоксидантных ферментов свежие листья измельчали в жидком азоте и гомогенизировали в 0.1 М калий-фосфатном буфере (рН 7.4 с 0.1 мМ ЭДТА), центрифугировали 20 мин при 5000 g, супернатант держали на льду и использовали для анализа в течение 1 ч. Активность глутатионредуктазы (ГР), супероксиддисмутазы (СОД), каталазы (КАТ) и аскорбатпероксидазы (АП) измеряли согласно [15]. Активность ферментов выражали в условных единицах (у. е.) в минуту на 1 г сырой массы.
Данные были проанализированы с помощью программы Statistica (Statsoft) (версия 10). Значимость различий между средними оценивали методом ANOVA с применением критерия Дункана (р ≤ 0.05). В таблицах и на графиках для всех величин приведена стандартная ошибка среднего.
РЕЗУЛЬТАТЫ И ИХ ОБСУЖДЕНИЕ
Остатки метсульфурон-метила значительно подавляли развитие растений рапса. Масса одного растения, подвергшегося воздействию химиката, уменьшилась по сравнению с контролем без применения гербицидов на 47.9% (табл. 1).
Таблица 1. Влияние метсульфурон-метила, штамма P. protegens DA1.2 и фракций его культуральной жидкости на массу побегов рапса, г/растение
Обработка всходов | Почва без гербицида | Почва с гербицидом |
Без обработки | 0.54 ± 0.03 b | 0.28 ± 0.03 e |
Культура с клетками P. protegens DA1.2 | 0.62 ± 0.05 a | 0.47 ± 0.03 c |
Фракция метаболитов весом >5 кДа | 0.58 ± 0.04 ab | 0.34 ± 0.03 d |
Фракция метаболитов весом <5 кДа | 0.57 ± 0.04 ab | 0.37 ± 0.03 d |
В нашем эксперименте бактериальный стимулятор P. protegens DA1.2 действовал как средство защиты рапса от фитотоксичности метсульфурон-метила. После обработки культурой с живыми клетками P. protegens DA1.2 на фоне метсульфурон-метила масса побегов составила 87.5% от контроля. Для низкомолекулярных и высокомолекулярных метаболитов этот показатель был равен 68.0 и 63.4% соответственно. Влияние живых бактерий на фитотоксичность гербицидов в отношении разных сельскохозяйственных культур было показано ранее в нескольких экспериментальных работах [7–9]. Сообщений о роли низкомолекулярных метаболитов бактерий в смягчении гербицидного стресса у растений нами обнаружено не было.
Фермент АЛС отвечает за создание аминокислот с разветвленными цепями и является мишенью для многих коммерческих гербицидов, включая сульфонилмочевины и имидазолины. Активность АЛС у рапса как чувствительного к метсульфурон-метилу растения была сильно подавлена гербицидом (рис. 1а).
Рис. 1. Влияние метсульфурон-метила, штамма P. protegens DA1.2 и фракций его культуральной жидкости на активность фермента ацетолактатсинтазы (а) и содержание малонового диальдегида (б) в листьях рапса.
Однако снижение активности фермента частично компенсировалось после бактеризации растений. В обработанных живыми бактериями растениях рапса активность АЛС восстановилась до 59.3% от контрольного уровня. Низкомолекулярные метаболиты были менее активны, на их фоне активность фермента восстановилась лишь до 46.2%. Влияние высокомолекулярных метаболитов не было статистически значимым. Можно предположить, что бактерии разрушали метсульфурон-метил в почве. Биодеградация или биотрансформация гербицидов как микроорганизмами, так и растениями, – хорошо известный феномен [16, 17]. Ранее in vitro была продемонстррирована способность штамма P. protegens DA1.2 использовать метсульфурон-метил в качестве источника питания [18]. Положительное влияние фракции низкомолекулярных метаболитов, не содержащей ферменты, на активность АЛС, возможно, указывало на стимуляцию ими процессов детоксикации гербицида самими растениями рапса.
Когда почва была загрязнена остатками гербицида, количество малонового диальдегида (МДА) в листьях рапса увеличилось на 105%, что указывало на окислительное повреждение (рис. 1б). Использование бактерий и их метаболитов приводило к ингибированию образования МДА в листьях рапса. Благодаря инокуляции цельной культурой P. protegens DA1.2 количество МДА в растениях, выросших в почве, загрязненной гербицидом, снизилось на 34.4%, после обработки низкомолекулярными метаболитами – на 20.7%. Высокомолекулярные фракции культуральной жидкости гораздо меньше влияли на этот показатель.
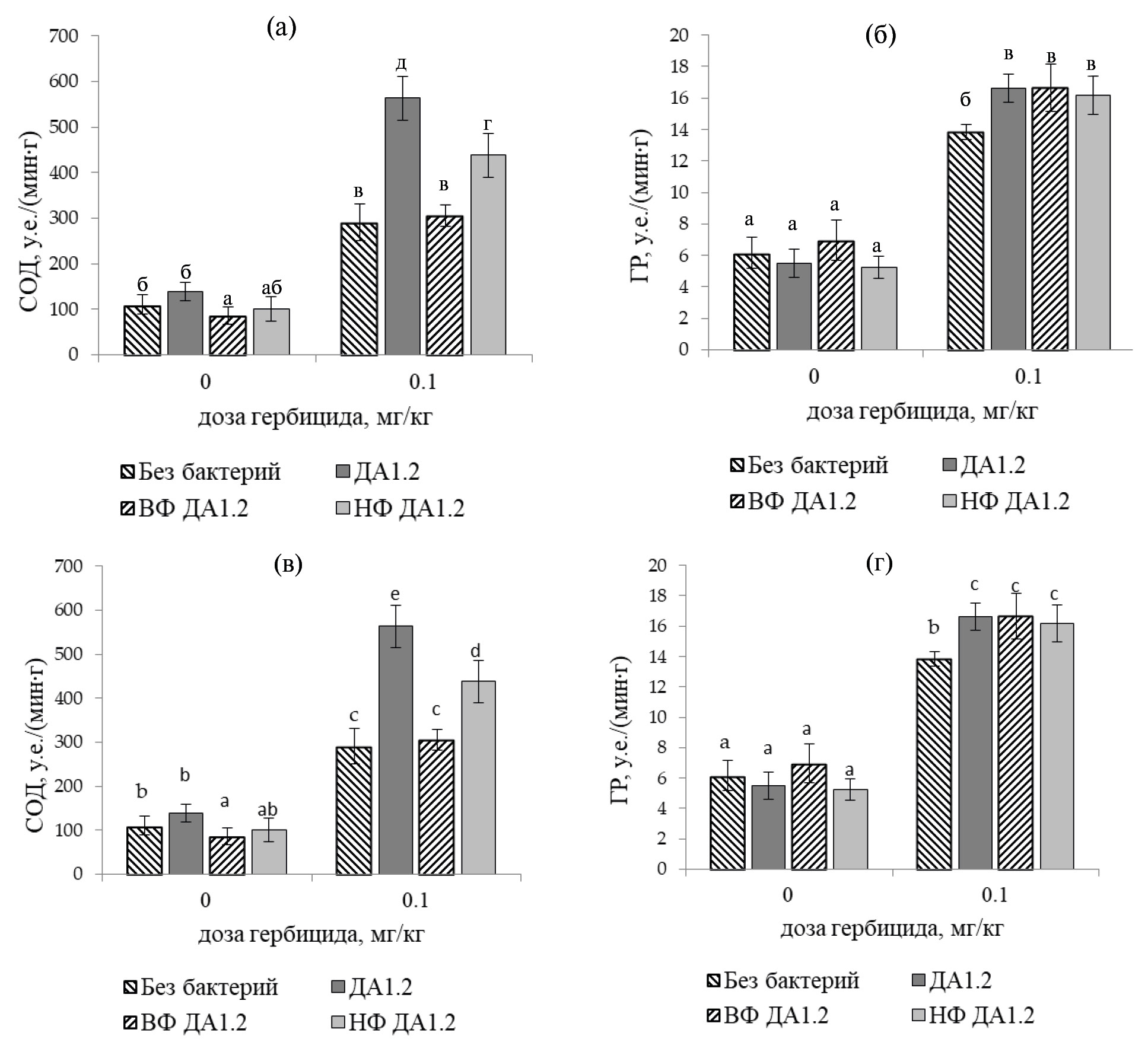
Пероксид водорода и супероксидный радикал играют важную роль в передаче сигналов и активации механизмов адаптации растений к неблагоприятным факторам среды [19]. Однако их чрезмерное накопление при стрессе приводит к окислительному повреждению мембран, фотосинтетических пигментов и других компонентов растительных клеток. Поэтому растительные ткани содержат многокомпонентный пул соединений, выступающих в качестве антиоксидантов. С целью оценки воздействия бактерий и их метаболитов на антиоксидантный статус растений рапса в экстракте из листьев была измерена активность 4-х антиоксидантных ферментов (рис. 2).
Рис. 2. Влияние метсульфурон-метила, штамма P. protegens DA1.2 и фракций его культуральной жидкости на активность антиоксидантных ферментов, выделенных из листьев рапса: (а) – каталазы, (б) – аскорбатпероксидазы, (в) – супероксиддисмутазы, (г) – глутатионредуктазы.
Каталаза (КАТ) и аскорбатпероксидаза (АП) катализируют разложение пероксида водорода. Каталазная и пероксидазная активность в экстрактах листьев была на 143 и 110% больше на фоне гербицидного стресса, чем в контроле. Обработка цельной культурой бактерий, напротив, нивелировала усиление активности КАТ, вызванное гербицидом. Наблюдали тенденцию и к уменьшению активности аскорбатпероксидазы (АП) после применения бактерий. В многочисленных исследованиях растительных каталаз и пероксидаз в стрессовых условиях преобладают выводы об активации этих ферментов после применения бактерий, стимулирующих рост растений. Например, такие данные были получены для рапса в условиях засоления [20, 21] и загрязнения тяжелыми металлами [22]. Наблюдавшаяся нами нормализация активности CAT и AP, по-видимому, являлась следствием уменьшения токсичности почвенных остатков метсульфурон-метила.
Реакция фермента СОД на одновременную обработку растений гербицидами и стимулирующими рост бактериями изучена мало. В работе [7] сообщали об усилении активности СОД в растениях под влиянием штамма Pseudomonas chlororaphis PAS18. Согласно работе [23], сульфосульфурон или его комбинация с биостимуляторами индуцировали активность СОД в растениях пшеницы. В нашем исследовании обработка бактериями и их низкомолекулярными метаболитами привела к увеличению активности СОД в растениях рапса, испытывавших гербицидный стресс, на 93 и 51% соответственно. Однако обработки способствовали росту активности СОД только в сочетании с гербицидом.
Фермент ГР помогает поддерживать уровень антиоксидантного соединения – окисленного глутатиона. Его активность также усиливалась, только при условии одновременного воздействия на рапс бактериальной обработки и почвенных остатков гербицида. Причем стимулирующий эффект метаболитов не уступал влиянию живых бактерий. Можно предположить, что СОД и ГР играют роль в смягчении гербицидного стресса и улучшении роста растений, обработанных бактериями. Таким образом, после обработки бактериями наблюдали изменения активности 4-х протестированных актиоксидантных ферментов. Помимо живых бактерий на активность ферментов влияла также фракция низкомолекулярных метаболитов, что не позволило связать наблюдаемый эффект лишь с микробной деструкцией гербицида и указывало на непосредственное действие каких-то метаболитов штамма P. protegens DA1.2 на растения. Возможно, бактерии и их метаболиты активировали в растениях механизмы индуцированной системной толерантности, как было ранее показано для микроорганизмов, уменьшающих в растениях стресс от засухи [24].
ЗАКЛЮЧЕНИЕ
Таким образом, обработка культурой бактерий P. protegens DA1.2 и ее производными в лабораторном вегетационном эксперименте уменьшала фитотоксичность загрязненной метсульфурон-метилом почвы для растений рапса. Защитный эффект обработок убывал в ряду: культуральная жидкость (КЖ) с живыми клетками бактерий–бесклеточная низкомолекулярная фракция КЖ–бесклеточная высокомолекулярная фракция КЖ. На биохимическом уровне он выражался в частичном восстановлении нормальной активности фермента ацетолактатсинтазы (AЛС), уменьшении окислительных повреждений и изменении активности антиоксидантных ферментов.
About the authors
M. D. Bakaeva
Ufa Institute of Biology, Ufa Federal Research Center, RAS
Author for correspondence.
Email: chelab007@yandex.ru
Russian Federation, prosp. Oktyabrya 69, Ufa 450054
A. A. Kendzhieva
Ufa Institute of Biology, Ufa Federal Research Center, RAS
Email: chelab007@yandex.ru
Russian Federation, prosp. Oktyabrya 69, Ufa 450054
S. N. Starikov
Ufa Institute of Biology, Ufa Federal Research Center, RAS
Email: chelab007@yandex.ru
Russian Federation, prosp. Oktyabrya 69, Ufa 450054
S. P. Chetverikov
Ufa Institute of Biology, Ufa Federal Research Center, RAS
Email: chelab007@yandex.ru
Russian Federation, prosp. Oktyabrya 69, Ufa 450054
D. V. Chetverikova
Ufa Institute of Biology, Ufa Federal Research Center, RAS
Email: chelab007@yandex.ru
Russian Federation, prosp. Oktyabrya 69, Ufa 450054
References
- Li Z.-J., Xu J.-X., Muhammad A., Ma G.-R. Effect of bound residues of metsulfuron-methyl in soil on rice growth // Chemosphere. 2005. V. 58. № 9. P. 1177–1183.
- Kaur T., Brar L.S. Residual effect of wheat applied sulfonylurea herbicides on succeeding crops as affected by soil pH // Indian J. Weed Sci. 2014. V. 46. № 3. P. 241–243.
- Mehdizadeh M., Alebrahim M.T., Roushani M., Streibig J.G. Evaluation of four different crops’ sensitivity to sulfosulfuron and tribenuron methyl soil residues // Acta Agric. Scandinavica. Sect. B Soil Plant Sci. 2016. V. 66. № 8. P. 706–713.
- Sarmah A.K., Sabadie J. Hydrolysis of sulfonylurea herbicides in soils and aqueous solutions: A review // J. Agric. Food Chem. 2002. V. 50. № 22. P. 6253–6265.
- Wang H., Xu J., Yates S.Y., Zhang J., Gan J., Ma J., Wu J., Xuan R. Mineralization of metsulfuron–methyl in Chinese paddy soils // Chemosphere. 2010. V. 78. № 3. P. 335–341.
- Ajijah N., Fiodor A., Pandey A.K., Rana A., Pranaw K. Plant growth-promoting bacteria (pgpb) with biofilm-forming ability: A Multifaceted agent for sustainable agriculture // Diversity. 2023. V. 15. № 1. art. 112.
- Jiang Z., Jiang D., Zhou Q., Zheng Z., Cao B., Meng Q., Qu J., Wang Y., Zhang Y. Enhancing the atrazine tolerance of Pennisetum americanum (L.) K. Schum by inoculating with indole-3-acetic acid producing strain Pseudomonas chlororaphis PAS18 // Ecotoxicol. Environ. Saf. 2020. V. 202. Art. 110854.
- Bakaeva M., Chetverikov S., Timergalin M., Feoktistova A., Rameev T., Chetverikova D., Kenjieva A., Starikov S., Sharipov D., Hkudaygulov G. PGP-Bacterium Pseudomonas protegens improves bread wheat growth and mitigates herbicide and drought stress // Plants. 2022. V. 11. Art. 3289.
- Motamedi M., Zahedi M., Karimmojeni H., Baldwin T.C., Motamedi H. Rhizosphere-associated bacteria as biofertilizers in herbicide-treated alfalfa (Medicago sativa) // J. Soil Sci. Plant Nutr. 2023. V. 23. P. 2585–2598.
- Traxler C., Gaines T.A., Küpper A., Luemmen P., Dayan F.E. The nexus between reactive oxygen species and the mechanism of action of herbicides // J. Biol. Chem. 2023. V. 299. № 11. Art. 105267.
- Феоктистова А.В., Тимергалин М.Д., Рамеев Т.В., Четвериков С.П. Обработка растений пшеницы бактериями Pseudomonas protegens ДА1.2 нивелировала негативное действие гербицида Чисталан в условиях дефицита воды // Агрохимия. 2021. № 10. С. 89–96.
- Четверикова Д.В., Бакаева М.Д., Кенджиева А.А., Худайгулов Г.Г., Четвериков С.П. Применение бактерий для повышения устойчивости рапса к остаткам в почве гербицида Наномет // Достиж. науки и техн. АПК. 2023. Т. 37. № 3. С. 22–27.
- Simpson D., Stoller E., Wax L. An in vivo acetolactate synthase assay // Weed Technol. 1995. V. 9. № 1. P. 17–22.
- Hodges D.M., Delong J.M., Forney C.F., Prange R.K. Improving the thiobarbituric acid–reactive–substances assay for estimating lipid peroxidation in plant tissues containing anthocyanin and other interfering compounds // Planta. 1999. V. 207. P. 604–611.
- Elavarthi S., Martin B. Spectrophotometric assays for antioxidant enzymes in plants // Plant Stress Tolerance. Methods in Molecular Biology / Ed. Sunkar, R. N.Y., U.S.: Humana Press, 2010. V. 639, Р. 273–280.
- Lei Q., Zhong J., Chen S.F., Wu S., Huang Y., Guo P., Mishra S., Bhatt K., Chen S. Microbial degradation as a powerful weapon in the removal of sulfonylurea herbicides // Environ. Res. 2023. V. 235. Art. 116570.
- Palma-Bautista C., Vázquez-García J.G., de Portugal J., Bastida F., Alcántara-de la Cruz R., Osuna-Ruiz M.D., Torra J., De Prado R. Enhanced detoxification via Cyt-P450 governs cross-tolerance to ALS-inhibiting herbicides in weed species of Centaurea // Environ. Pollut. 2023. V. 322. Art. 121140.
- Четвериков С. П., Четверикова Д.В., Кенджиева А.А., Бакаева М.Д. Использование гербицидов в качестве питательного субстрата бактериями-стимуляторами роста сельскохозяйственных культур // Естеств. и техн. науки. 2019. № 11. С. 108–111.
- Mittler R., Zandalinas S. I., Fichman Y., Van Breusegem F. Reactive oxygen species signalling in plant stress responses // Nat. Rev. Mol. Cell Biol. 2022. V. 23. № 10. P. 663–679.
- Neshat M., Abbasi A., Hosseinzadeh A., Sarikhani M.R., Dadashi Chavan D., Rasoulnia A. Plant growth promoting bacteria (PGPR) induce antioxidant tolerance against salinity stress through biochemical and physiological mechanisms // Physiol. Mol. Biol. Plants. 2022. V. 28. P. 347–361.
- Rossi M., Borromeo I., Capo C., Glick B.R., Del Gallo M., Pietrini F., Forni C. PGPB Improve photosynthetic activity and tolerance to oxidative stress in Brassica napus grown on salinized soils // Appl. Sci. 2021. V. 11. № 23. Art. 11442.
- Raihan M.R.H., Rahman M., Mahmud N.U., Adak M.K., Islam T., Fujita M., Hasanuzzaman M. Application of rhizobacteria, Paraburkholderia fungorum and Delftia sp. confer cadmium tolerance in rapeseed (Brassica campestris) through modulating antioxidant defense and glyoxalase systems // Plants. 2022. V. 11. № 20. Art. 2738.
- Iwaniuk P., Łuniewski S., Kaczyński P., Łozowicka B. The Influence of humic acids and nitrophenols on metabolic compounds and pesticide behavior in wheat under biotic stress // Agronomy. 2023. V. 13. № 5. Art. 1378.
- Gowtham H. G., Singh S. B., Shilpa N., Aiyaz M., Nataraj K., Udayashankar A. C., Amruthesh K.N., Murali M., Poczai P., Gafur A., Almalki W.H., Sayyed R. Z. Insight into recent progress and perspectives in improvement of antioxidant machinery upon PGPR augmentation in plants under drought stress: a review // Antioxidants. 2022. V. 11. № 9. Art. 1763.
Supplementary files



