Microcrystalline Bi0.5Sb1.5Te3-Based Materials Prepared by Various Methods
- Authors: Ivanova L.D.1, Granatkina Y.V.1, Mal’chev A.G.1, Nikhezina I.Y.1, Zaldastanishvili M.I.2, Krivoruchko S.P.2, D’yakonov O.N.2, Karima R.A.2
-
Affiliations:
- Baikov Institute of Metallurgy and Materials Science, Russian Academy of Sciences, 119334, Moscow, Russia
- Sukhumi Physicotechnical Institute, Academy of Sciences of Abkhazia, Sinop, Sukhumi, Russia
- Issue: Vol 59, No 2 (2023)
- Pages: 119-127
- Section: Articles
- URL: https://medbiosci.ru/0002-337X/article/view/140119
- DOI: https://doi.org/10.31857/S0002337X23020070
- EDN: https://elibrary.ru/YDIIKN
- ID: 140119
Cite item
Full Text
Abstract
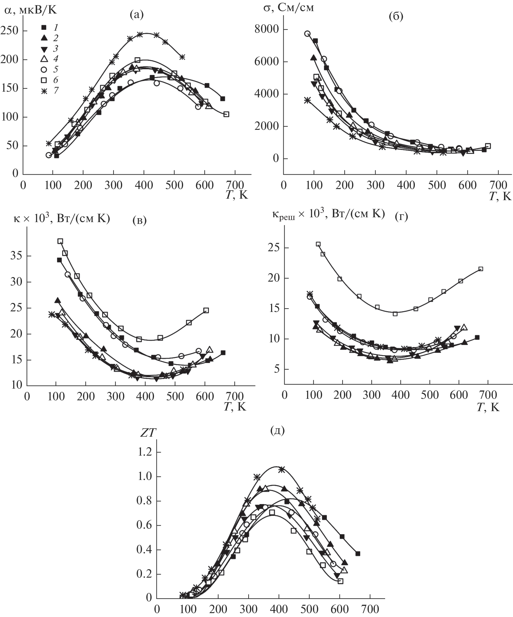
We have studied properties of p-type Bi0.5Sb1.5Te3 solid solution samples produced by hot pressing, extrusion, and spark plasma sintering of powders prepared by melt spinning and grinding the ingot in a jet mill to a particle size on the order of hundreds of microns or less than hundreds of nanometers (by mechanical activation). The powders and fracture surfaces of the samples have been examined on an optical and a scanning electron microscope. The powders prepared by melt spinning at disk rotation rates of 3000 and 5500 rpm had the form of platelets tens of microns in thickness, consisting of distinct regions ranging in thickness from a few to hundreds of nanometers. Microstructural analysis showed that all of the samples contained a small amount of tellurium, which was confirmed by X-ray microanalysis data. We have measured the thermoelectric parameters (Seebeck coefficient, electrical conductivity, and thermal conductivity) of the materials at room temperature and in the range 100–700 K and calculated their lattice thermal conductivity and thermoelectric figure of merit, ZT. The highest thermoelectric figure of merit, ZT = 1.0 ± 0.1 at 380 K, has been reached in the samples produced by spark plasma sintering and hot pressing of powders prepared by melt spinning and mechanical activation, respectively.
About the authors
L. D. Ivanova
Baikov Institute of Metallurgy and Materials Science, Russian Academy of Sciences, 119334, Moscow, Russia
Email: ivanova@imet.ac.ru
Россия, 119334, Москва, Ленинский пр., 49
Yu. V. Granatkina
Baikov Institute of Metallurgy and Materials Science, Russian Academy of Sciences, 119334, Moscow, Russia
Email: ivanova@imet.ac.ru
Россия, 119334, Москва, Ленинский пр., 49
A. G. Mal’chev
Baikov Institute of Metallurgy and Materials Science, Russian Academy of Sciences, 119334, Moscow, Russia
Email: ivanova@imet.ac.ru
Россия, 119334, Москва, Ленинский пр., 49
I. Yu. Nikhezina
Baikov Institute of Metallurgy and Materials Science, Russian Academy of Sciences, 119334, Moscow, Russia
Email: ivanova@imet.ac.ru
Россия, 119334, Москва, Ленинский пр., 49
M. I. Zaldastanishvili
Sukhumi Physicotechnical Institute, Academy of Sciences of Abkhazia, Sinop, Sukhumi, Russia
Email: ivanova@imet.ac.ru
Абхазия, 384990, Синоп, Сухум,
Кодорское ш., 665
S. P. Krivoruchko
Sukhumi Physicotechnical Institute, Academy of Sciences of Abkhazia, Sinop, Sukhumi, Russia
Email: ivanova@imet.ac.ru
Абхазия, 384990, Синоп, Сухум,
Кодорское ш., 665
O. N. D’yakonov
Sukhumi Physicotechnical Institute, Academy of Sciences of Abkhazia, Sinop, Sukhumi, Russia
Email: ivanova@imet.ac.ru
Абхазия, 384990, Синоп, Сухум,
Кодорское ш., 665
R. A. Karima
Sukhumi Physicotechnical Institute, Academy of Sciences of Abkhazia, Sinop, Sukhumi, Russia
Author for correspondence.
Email: ivanova@imet.ac.ru
Абхазия, 384990, Синоп, Сухум,
Кодорское ш., 665
References
- Анатычук Л.И., Семенюк В.А. Оптимальное управление свойствами термоэлектрических материалов и приборов. Черновцы: ПРУТ, 1992. 263 с.
- Гольцман Б.М., Кудинов В.А., Смирнов И.А. Полупроводниковые термоэлектрические материалы на основе Bi2Te3. М: Наука, 1972. 320 с.
- Hicks L.D., Dresselhaus M.S. Effect of Quantum-well Structures on Thermoelectric Figure of Merit // Phys. Rev. 1993. V. 47. № 19. P. 12727. https://doi.org/10.1103/PhysRevB.47.12727
- Дмитриев А.В., Звягин И.П. Современные тенденции развития физики термоэлектрических материалов // Успехи физ. наук. 2010. Т. 180. № 8. С. 821–838.
- Dresselhaus M.S., Chen G., Tang M.Y., Yang R., Lee H., Wang D., Ren Z.F., Fleurial J.P., Gogna P.K. New Directions for Low-Dimensional Thermoelectric Materials // Adv. Mater. 2007. V. 19. № 8. P. 1043–1053. https://doi.org/10.1002/adma.200600527
- Snyder J.G., Toberer E.S. Complex Thermoelectric Materials // Nat. Mater. 2008. V. 7. P. 105–114. https://doi.org/10.1038/nmat2090
- Goldsmid H.J. Recent Studies of Bismuth Telluride and Its Alloys // J. Appl. Phys. 1961. V. 32. № 1. P. 2198–2202.
- Абрикосов Н.Х., Банкина В.Ф., Коломоец Л.А. и др. Отклонение твердого раствора от стехиометрического разреза Bi2Te3–Sb2Te3 в области состава Bi0.5Sb1.5Te3 // Изв. АН СССР. Неорган. материалы. 1977. Т. 13. № 5. С. 827–829.
- Иванова Л.Д., Гранаткина Ю.В., Мальчев А.Г., Нихезина И.Ю., Емельянов М.В., Никулин Д.С. Термоэлектрические и механические свойства твердых растворов Sb2Te3–Bi2Te3, легированных свинцом // Неорган. материалы. 2020. Т. 56. № 3. С. 247–252. https://doi.org/10.31857/S0002337X2003005
- Иванова Л.Д., Гранаткина Ю.В., Мальчев А.Г., Нихезина И.Ю., Никулин Д.С., Криворучко С.П., Залдастанишвили М.И., Судак Н.М. Использование новых технологий для получения наноматериалов твердых растворов халькогенидов висмута и сурьмы быстрой кристаллизацией расплава // Перспективные технологии и материалы. Севастополь: Севастопольский гос. ун-т, 2020. С. 70–74.
- Иванова Л.Д., Гранаткина Ю.В., Нихезина И.Ю., Мальчев А.Г., Векуа Т.С., Криворучко С.П., Залдастанишвили М.И. Термоэлектрические свойства теллурида германия с мелкозеренной структурой // Перспективные материалы. 2020. № 11. С. 15–25. https://doi.org/10.30791/1028-978X-2020-11-15-25
- Равич Ю.И., Ефимова Б.А., Смирнов И.А. Методы исследования полупроводников в применении к халькогенидам свинца. М.: Наука, 1968. 384 с.
- Сабо Е. Технология халькогенидных термоэлементов (физические основы). Сухум. 1999. 310 с.
Supplementary files







