Calculation of the Heat Capacity Baseline in a Model of a Two-Phase Region in the Absence of Phase Transformations and Other Transitions
- Authors: Terekhov S.V.1
-
Affiliations:
- Galkin Institute for Physics and Technology, 83114, Donetsk, Russia
- Issue: Vol 59, No 4 (2023)
- Pages: 468-472
- Section: Articles
- URL: https://medbiosci.ru/0002-337X/article/view/140174
- DOI: https://doi.org/10.31857/S0002337X23040127
- EDN: https://elibrary.ru/VUNRRA
- ID: 140174
Cite item
Full Text
Abstract
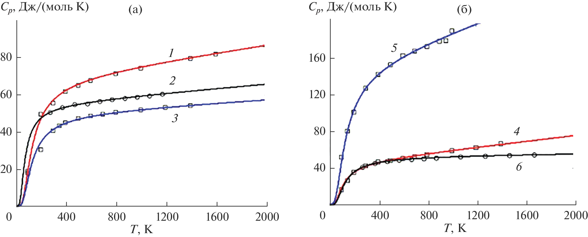
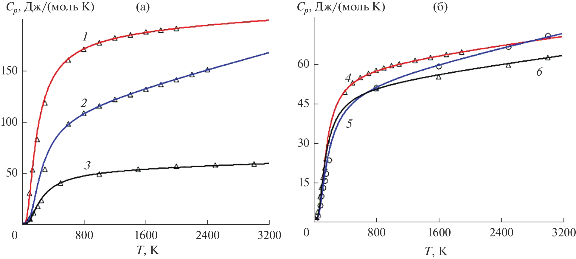
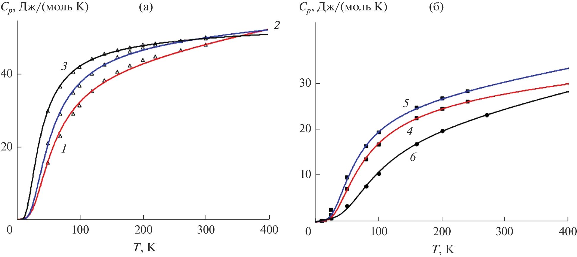
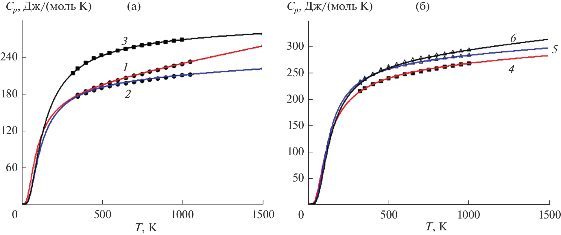
This paper presents calculations of the heat capacity baseline in a model of a two-phase locally equilibrium region for various inorganic substances undergoing no phase transformations or other transitions. Experimental data obtained in limited temperature ranges are used to calculate model parameters. Theoretical relations are shown to adequately describe experimental data in the range from absolute zero to the melting point of the substance.
About the authors
S. V. Terekhov
Galkin Institute for Physics and Technology, 83114, Donetsk, Russia
Author for correspondence.
Email: svlter@yandex.ru
Россия, 83114, ДНР, Донецк, ул. Розы Люксембург, 72
References
- Ходаковский И.Л. О новых полуэмпирических уравнениях температурной зависимости теплоемкости и объемного коэффициента термического расширения минералов // Вестн. ОНЗ РАН. 2012. Т. 4. Р. NZ9001. https://doi.org/10.2205/2012NZ_ASEMPG, 2012
- Saunders N., Miodownik A.P. CALPHAD (Calculation of Phase Diagrams): a Comprehensive Guide. V. 1. Amsterdam: Elsevier, 1998. 479 p.
- Lukas H.L., Fries S.G., Sundman B. Computational Thermodynamics: The Calphad Method. N. Y.: Cambridge University Press, 2007. 313 p.
- Терехов С.В. Термодинамическая модель размытого фазового перехода в металлическом стекле Fe40Ni40P14B6 // Физика и техника высоких давлений. 2018. Т. 28. № 1. С. 54–61.
- Терехов С.В. Размытый фазовый переход в аморфном сплаве Fe40Ni40P14B6: термодинамика и кинетика кристаллизации // Физика и техника высоких давлений. 2019. Т. 29. № 2. С. 24–39.
- Терехов С.В. Моно- и мультистадийная кристаллизация аморфных сплавов // ФММ. 2020. Т. 121. № 7. С. 731–736. https://doi.org/10.31857/S0015323020070104
- Терехов С.В. Размытый фазовый переход и теплоемкость твердого тела // Физика и техника высоких давлений. 2022. Т. 32. № 2. С. 36‒51.
- Терехов С.В. Тепловые свойства вещества // Физика и техника высоких давлений. 2022. Т. 32. № 3. С. 21‒34.
- Терехов С.В. Тепловые свойства вещества в рамках модели двухфазной системы // ФТТ. 2022. Т. 64. № 8. С. 1077–1083.
- Пригожин И. Неравновесная статистическая механика. М.: Мир, 1964. 314 с.
- Кубо Р. Термодинамика. М.: Мир, 1970. 304 с.
- Болгар А.С., Турчанин А.Г., Фесенко В.В. Термодинамические свойства карбидов. Киев: Наук. думка, 1973. 271 с.
- Шелудяк Ю.Е., Кашпоров Л.Я., Малинин Л.А., Цалков В.Н. Теплофизические свойства компонентов горючих систем: Справочник / Под ред. Силина Н.А. М.: НПО “Информация и технико-экономические исследования”, 1992. 184 с.
- Свойства оксидов металлов. Режим доступа: http://thermalinfo.ru/svojstva-materialov/oksidy/svojstva-oksidov-metallov.
- Денисова Л.Т., Каргин Ю.Ф., Белоусова Н.В. и др. Высокотемпературная теплоемкость и термодинамические свойства HoBiGeO5 и ErBiGeO5 // Неорган. материалы. 2018. Т. 54. № 9. С. 972–976. https://doi.org/10.1134/S0002337X18090026
- Денисова Л.Т., Каргин Ю.Ф., Иртюго Л.А. и др. Теплоемкость In2Ge2O7 и YInGe2O7 в области температур 320–1000 K // Неорган. материалы. 2018. Т. 54. № 12. С. 1315–1319. https://doi.org/10.1134/S0002337X18120023
- Денисова Л.Т., Молокеев М.С., Каргин Ю.Ф. и др. Структура и термодинамические свойства титанатов DyGaTi2O7 И EuGaTi2O7 // Неорган. материалы. 2021. Т. 57. № 7. С. 768–775. https://doi.org/10.31857/S0002337X21070058
- Новицкий Л.А., Кожевников И.Г. Теплофизические свойства материа-лов при низких температурах. Справочник. М.: Машиностроение, 1975. 216 с.
- Панова Г.Х., Сырых Г.Ф., Хлопкин М.Н., Шиков А.А. Колебательные и электронные свойства аморфных систем Ni44Nb56, Ni62Nb38 и Cu33Zr67 (из измерений теплоемкости) // ФТТ. 2003. Т. 45. № 4. С. 577–581.
- Панова Г.Х., Хлопкин М.Н., Черноплеков Н.А., Шиков А.А. Влияние аморфизации на электронную и колебательную теплоемкость сплава Ni2B // ФТТ. 2002. Т. 44. № 7. С. 1168–1173.
Supplementary files





