Synthesis of a Discontinuous Control Law for a Step-Down Voltage Converter
- Authors: Kochetkov S.A.1, Tkacheva O.S.1, Utkin A.V.1
-
Affiliations:
- Trapeznikov Institute of Control Sciences, Russian Academy of Sciences, 117997, Moscow, Russia
- Issue: No 6 (2023)
- Pages: 50-59
- Section: SYSTEMS THEORY AND GENERAL CONTROL THEORY
- URL: https://medbiosci.ru/0002-3388/article/view/148129
- DOI: https://doi.org/10.31857/S0002338823060070
- EDN: https://elibrary.ru/GRRYVZ
- ID: 148129
Cite item
Full Text
Abstract
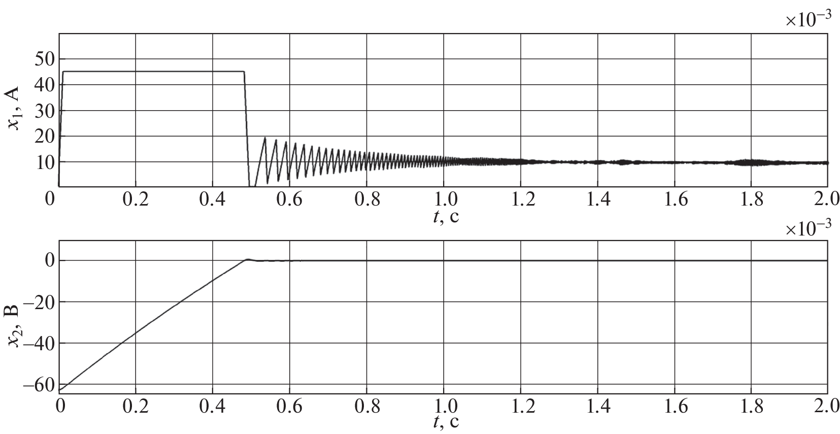
This paper presents a nonlinear discontinuous control law that allows stabilizing the output voltage of a step-down voltage converter in conditions when the input voltage and load current are unknown. The main idea is based on the use of the so-called vortex algorithms, which ensure invariance with respect to external unmatched disturbances. The efficiency of the developed algorithms is shown by numerical simulation.
About the authors
S. A. Kochetkov
Trapeznikov Institute of Control Sciences, Russian Academy of Sciences, 117997, Moscow, Russia
Email: kos@ipu.ru
Москва, Россия
O. S. Tkacheva
Trapeznikov Institute of Control Sciences, Russian Academy of Sciences, 117997, Moscow, Russia
Email: tkolga17@gmail.com
Москва, Россия
A. V. Utkin
Trapeznikov Institute of Control Sciences, Russian Academy of Sciences, 117997, Moscow, Russia
Author for correspondence.
Email: utkin-av@rambler.ru
Москва, Россия
References
- Ромаш Э.М., Драбович Ю.И., Юрченко Н.Н., Шевченко П.Н. Высокочастотные транзисторные преобразователи. М.: Радио и связь, 1988, 288 с.
- Shtessel Y.B., Zinober A., Shkolnikov I. Sliding Mode Control of Boost and Buck-boost Power Converters Using Method of Stable System Center // Automatica. 2003. V. 39. № 6. P. 1061–1067.
- Olm J., Ros-Oton X., Shtessel Y. Stable Inversion of Abel Equations: Application to Tracking Control in DC–DC Non-minimum Phase Boost Converters // Automatica. 2011. V. 47. № 1. P. 221–226.
- Stefanutti W., Mattavelli P., Saggini S., Ghioni M. Autotuning of Digitally Controlled DC-DC Converters Based on Relay Feedback // IEEE Transactions on Power Electronics. 2007. V. 22. № 1. P. 199–207.
- Kapat S. Improved Time Optimal Control of a Buck Converter Based on Capacitor Current, // IEEE Trans. Power Electron. 2012. № 3 (27). P. 1444–1454.
- Kim B., Jrvenhaara J.K. A Rapid Switch Bridge Selection Method for Fully Integrated DC-DC Buck Converters // IEEE Transactions on Power Electronics. 2015. V. 30. № 8. P. 4048–4051.
- Giaouris D., Banerjee S., Zahawi B., Pickert P. Stability Analysis of the Continuous-conduction-mode Buck Converter Cia Filippov’s Method // IEEE Transactions on Circuits and Systems. 2008. V. 55. № 4. P. 1084–1096.
- Utkin V.A. Invariance and Independence in Systems with Separable Motion // Automation and Remote Control. 2001. V. 62. № 11. P. 1825–1843.
- Демирчан К.С., Нейман Л.Р., Коровкин Н.В., Чечурин В.Л. Теоретические основы электротехники. Т. 1. 4-е изд. СПб.: Питер, 2004. 463 с.
- Wonham W.M. Linear Multivariable Control: A Geometric Approach. N.-Y.: Springer Verlag, 1974.
- Kochetkov S.A., Utkin V.A. Invariance in Systems with Unmatched Perturbations // Automation and Remote Control. 2013. V. 74. № 7. P. 1097–1127.
- Kochetkov S.A., Utkin V.A. Providing the Invariance Property on the Basis on Oscillation Modes // Doklady Mathematics. 2013. V. 88. № 2. P. 618–623.
- Utkin V.I. Sliding Mode Control in Electromechanical Systems. London: Tailor and Francis, 2009. 328 p.
- Sabanovic A., Sabanovic N., Ohnishi K. Sliding Mode in Power Converters and Motion Control Systems // Intern. J. Control. 1993. V. 57. № 5. P. 1237–1259.
- Filippov A.F. Differential Equations with Discontinuous Right Hand Sides. Dordrecht: Kluwer Acad. Publ., 1988.
Supplementary files








