Methods for solving a boundary value problem for nonlinear controlled systems of ordinary differential equations in the class of piecewise constant controls
- Authors: Kvitko A.N.1
-
Affiliations:
- St. Petersburg State University
- Issue: No 5 (2024)
- Pages: 3-23
- Section: CONTROL IN DETERMINISTIC SYSTEMS
- URL: https://medbiosci.ru/0002-3388/article/view/280852
- DOI: https://doi.org/10.31857/S0002338824050012
- EDN: https://elibrary.ru/TEQZLV
- ID: 280852
Cite item
Full Text
Abstract
Algorithms for solving local and global boundary value problems for nonlinear and quasilinear nonstationary control systems in the class of piecewise constant controls are developed. Constructive sufficient conditions are found that guarantee the existence of solutions to these problems. In addition, a Kalmantype criterion for local and global controllability of nonlinear and quasilinear stationary systems, respectively, is obtained. The performance of the algorithms is illustrated by numerical simulation of the solution to the problem of controlling the motion of a robotic manipulator.
Keywords
Full Text
Введение. Среди задач математической теории управления важное теоретическое и практическое значение имеют вопросы построения кусочно-постоянных (дискретных) управляющих функций, обеспечивающих перевод систем обыкновенных дифференциальных уравнений из начального состояния в заданное конечное состояние. Такие задачи относятся к типу граничных задач для управляемых систем. Актуальность проблемы граничных задач в классе кусочно-постоянных управлений обусловлена использованием вычислительной техники при формировании управляющего сигнала и простотой его реализации. Отдельный интерес представляют задачи стабилизации систем в классе дискретных управлений, которые можно рассматривать как граничные задачи на бесконечном промежутке времени. Исследования граничных задач в классе дискретных управлений включают в себя направления, связанные с формулировкой необходимых и достаточных условий локальной и глобальной управляемости линейных и нелинейных систем [1–16]; с оценкой и изучением области конечных состояний, для которых возможен заданный перевод [3, 4, 9, 10, 12–16], а также с разработкой точных или приближенных методов нахождения искомых управляющих функций и соответствующих им функций фазовых координат [1, 4, 6–8, 10–16]. В настоящее время граничные задачи достаточно хорошо изучены для линейных и нелинейных систем специального вида. Однако теория решения граничных задач для нелинейных систем общего вида еще недостаточно разработана и трудности по ее созданию велики. Основные усилия автора направлены на создание достаточно простых для численной реализации и устойчивых к погрешностям вычислений алгоритмов решения локальных и глобальных граничных задач для широкого класса нелинейных и квазилинейных нестационарных систем обыкновенных дифференциальных уравнений с учетом дискретности управляющего сигнала, а также нахождение конструктивных достаточных условий и критериев, гарантирующих существование решений указанных задач. Поставленная цель достигнута сведением исходной задачи к задаче стабилизации линейной нестационарной системы специального вида и последующим решением задачи Коши для вспомогательной системы обыкновенных дифференциальных уравнений. Результаты данной статьи являются обобщением результатов, полученных в работах [15, 16], на случай нелинейных и квазилинейных нестационарных систем с нестационарными возмущениями. При доказательстве теоремы 1 применяется подход, предложенный в [15]. Суть его в том, что применяется разложение в ряд Тейлора правой части исходной системы в окрестности точки, соответствующей нулевым значениям фазовых координат и управления, а также замена независимой переменной. После этой замены новая независимая переменная изменяется на полупрямой от нуля до бесконечности. К преобразованной системе присоединяется система дифференциальных уравнений относительно исходной управляющей функции. Ее правая часть равна вспомогательной управляющей функции. На следующем этапе осуществляется ряд преобразований сдвига фазовых координат с исчезающими на бесконечности слагаемыми сдвига. В результате получаем вспомогательную систему. После этого находится вспомогательное управление, стабилизирующее линейную часть вспомогательной системы. На заключительном этапе решается задача Коши для вспомогательной системы, замкнутой стабилизирующим управлением, и осуществляется переход к исходным зависимым и независимым переменным. При реализации этого подхода для нестационарной системы с нестационарным возмущением приходится использовать разложение правой части исходной системы в окрестности точки, соответствующей нулевым значениям фазовых координат, управления и момента времени, равного единице. Это приводит к тому, что вспомогательная система имеет более сложный вид. После анализа ее правой части были найдены условия (1.5) и (1.6), отличные от условия калмановского типа из [15], гарантирующие справедливость теоремы 1. Данные условия являются обобщением результата, найденного в [16] в случае, когда в системе, описывающей объект управления, учитываются нестационарные возмущения. Новизна результата теоремы 2 состоит в доказательстве достаточности условий, приведенных в теореме 1, для глобальной управляемости квазилинейной системы. В разд. 4 рассматривается частный случай системы из разд. 3. В доказательстве следствия 1 показано, что для глобальной разрешимости поставленных задач необходимо и достаточно выполнение условия Калмана для ее стационарной линейной части. В разд. 5 исследовались задачи, аналогичные тем, которые рассматривались в [15] в классе дискретных управляющих функций, непрерывно дифференцируемых по конечному состоянию и параметру. В следствии 2 доказано, что условие калмановского типа из [15] служит критерием локальной разрешимости поставленных задач. Эффективность алгоритма, разработанного в раз.1, иллюстрируется на модельном примере.
- Постановка задач и формулировка теоремы. В работе изучается управляемая система обыкновенных дифференциальных уравнений:
, (1.1)
где
, ; , , , , ;
, , , (1.2)
Здесь F(t) – возмущающее воздействие, µ – параметр, который используется для ограничения возмущения F(t) и компактности формулировки теоремы, приведенной ниже.
Пусть
. (1.3)
Рассмотрим матрицы
, , ,
,
,
где , , .
Предположим, что выполнены условия
, (1.4)
, . (1.5)
На управление u наложено ограничение
, . (1.6)
Рассмотрим бесконечное разбиение интервала [0, 1] точками где при .
О п р е д е л е н и е 1. Функцию , , , , будем называть дискретной управляющей функцией. Пусть , - фиксированное состояние.
З а д а ч а 1. Найти дискретное управление u(t), заданное на бесконечном разбиении интервала [0, 1], и абсолютно непрерывную функцию x(t), почти всюду удовлетворяющую системе (1.1) и условиям:
. (1.7)
З а д а ч а 2. Определить дискретное управление u(t), полученное на некотором конечном разбиении интервала , и абсолютно непрерывную функцию x(t), заданную на интервале , почти всюду удовлетворяющую системе (1.1) и условиям:
, , . (1.8)
В (1.8) величина tm – заранее неизвестный момент времени, ε1 > 0, ε2 > 0 – произвольные фиксированные числа. Пары функций x(t), u(t), указанные в постановках задач 1 и 2, будем называть соответственно решениями задач 1 и 2.
Т е о р е м а 1. Пусть для правой части системы (1.1) выполнены условия (1.2)–(1.5). Тогда существуют ε > 0, µ0, такие, что , : , |µ| < µ0 имеются решения задач 1 и 2, которые могут быть получены после решения задачи стабилизации линейной нестационарной системы специального вида и последующим 1решением задачи Коши для вспомогательной системы обыкновенных дифференциальных уравнений.
- Доказательство теоремы 1 и вспомогательной леммы.
Д о к а з а т е л ь с т в о т е о р е м ы 1. Рассмотрим задачу: найти дискретное управление u(t) и абсолютно непрерывную функцию x(t), почти всюду удовлетворяющую системе (1.1) и условиям:
при (2.1)
Указанную пару функций будем называть решением задачи (1.1), (2.1).
З а м е ч а н и е 1. Переходя к пределу в решении задачи (1.1), (2.1) при t → 1 , получим функции x(t), u(t), удовлетворяющие системе (1.1) и условиям (1.7), т. е. эта пара является решением задачи 1. Для решения задачи (1.1), (2.1) сделаем в системе (1.1) преобразование независимой переменной t на τ:
t = 1 − e−ατ, (2.2)
где α > 0 – некоторое фиксированное число, подлежащее определению. В новой независимой переменной τ система (1.1) примет следующий вид:
, (2.3)
c(τ) = x(t(τ)), d(τ) = u(t(τ)),
. (2.4)
Введем в рассмотрение дискретное управление , ,
З а д а ч а 3. Найти абсолютно непрерывную функцию c(τ) и дискретное управление почти всюду удовлетворяющие системе (2.3) и условиям:
c(τ) → 0 при τ → ∞. (2.5)
Указанную пару функций будем называть решением задачи (2.3), (2.5).
З а м е ч а н и е 2. Нетрудно видеть, что, имея решение задачи (2.3), (2.5), с помощью формул (2.2) и (2.4) легко получить решение задачи (1.1), (2.1). Для удобства дальнейших рассуждений введем обозначения:
Если, используя (1.2), (1.3), разложить правую часть системы (1.1) в ряд Тейлора в окрестности точки (0,0,1) и перейти к новой независимой переменной по формулам (2.2) и (2.4), то систему (2.3) можно записать в виде:
(2.6)
При разложении в ряд Тейлора выбирается точка t = 1, поскольку при t = 1 искомое решение должно удовлетворять условию (1.7). Ниже все рассуждения будем проводить с учетом предположения, что область изменения c(τ) и µ ограничена неравенствами
||c(τ)|| <C1, τ ∈ [0,∞], |µ| ≤ µ1, µ1< 0. (2.7)
Выполним 4n –1 преобразований сдвигов функций ci(τ): ci(τ) → (τ), подобные тем, что были использованы в соответствующих формулах (15), (18), (21) из [15] с учетом правой части системы (2.6). Если сгруппировать слагаемые правой части полученной системы и присоединить систему dd(τ)/dτ = υ, то будем иметь аналог вспомогательной системы (27) и начальных данных (23), (28), приведенных в работе [15]:
(2.8)
, (2.9)
где Oi, , – матрицы с нулевыми элементами соответствующих размерностей, E – единичная матрица,
(2.10)
при (2.11)
(2.12)
(2.13)
Рассмотрим задачу: найти пару дифференцируемых функций , удовлетворяющую системе (2.8) и условиям:
, при τ → ∞ (2.14)
Указанную пару будем называть решением задачи (2.8), (2.14).
Из (2.12) следует существование констант C2 > 0 : C2 < C1, µ2 : 0 < µ2 < µ1, таких, что при всех c(4n-1), µ, удовлетворяющих неравенствам
, (2.15)
будут выполнены условия (2.7). Рассмотрим систему
(2.16)
Продолжение доказательство теоремы 1 будет опираться на утверждение леммы.
Л е м м а. Пусть для системы (1.1) выполнены условия (1.2)–(1.5).Тогда ∃µ3 : 0 < µ3 < µ2, такое, что ∀µ : |µ| < µ3 существует вспомогательное управление υ(τ) вида
υ(τ,α,µ) = M(τ,α,µ), (2.17)
||M(τ,α,µ)|| = Ο(enατ), τ → ∞,
обеспечивающее экспоненциальное убывание фундаментальной матрицы системы (2.16), (2.17). Далее пусть Φ(τ), Φ(0) = Ε – фундаментальная матрица системы (2.16), замкнутой управлением (2.17). Тогда справедливы оценки:
||Φ(τ)|| ≤ Ke−λτ, λ > 0, ||Φ(τ)Φ−1(t)|| ≤ Ke−λ(τ−t)e(n−1)αt, τ ∈ [0,∞), K > 0.
Д о к а з а т е л ь с т в о. Введем в рассмотрение матрицы где состоит из столбцов матриц . Здесь
S2 состоит из столбцов матриц , где
,
S3 состоит из столбцов матриц
.
Условия (1.2), (2.10) и (2.11) гарантируют, существование µ3 : |µ3| < |µ2|, такого, что ∀µ : |µ| < µ3 верно равенство rank S1(τ) = rank S2(τ) ∀τ ∈ [0,∞). Согласно (1.5), в указанной области изменения параметра µ имеем равенство
rank S2(τ) = n ∀τ ∈ [0,∞).
С другой стороны, из структуры матрицы S3 и последнего равенства следует вынолнение условия
rank S2(τ) = n + r ∀τ ∈ [0,∞), ∀µ : |µ| < µ3.
Продолжение доказательства совпадает с доказательством леммы, приведенной в [16]. В данной работе содержится алгоритм построения искомой матрицы M(τ). Лемма доказана.
Система (2.8), замкнутая управлением (2.17), имеет вид
(2.18)
Дальнейшее доказательство теоремы 1 и его завершение совпадает с доказательством теоремы из работы [15] с учетом замены на , F на µ и области (29) на область (2.15). Теорема доказана.
Алгоритм решения поставленных задач сводится к следующим этапам.
- Построение вспомогательной системы (2.8) выполняется аналитическими методами и реализуется средствами компьютерной алгебры.
- Решение задачи стабилизации системы (2.16) посредством вспомогательного управления υ(τ, µ). В результате получим искомый закон вспомогательного управления в виде обратной связи υ(τ, µ) = M(τ)(τ, µ). Выполняется аналитическими методами и реализуется средствами компьютерной алгебры.
- Решение задачи Коши для системы (2.18) с начальными данными (2.9), (2.13), замкнутой найденным в п. 2 вспомогательным синтезирующим управлением. Результатом является функция (τ). Выполняется численными методами.
- Нахождение функции υ(τ, µ) = M(τ)(τ). Реализуется численными методами.
- Нахождение функции (t) = υ(τ(t)) с использованием формулы (2.2), а также определение точек разбиения tk, k = 0 1, ,..., промежутка [0, 1] по формуле tk = 1 − e−αkh, k = 0 1, ,... Выполняется численными методами.
- Решение задачи Коши для системы
,
с начальными данными где , , на промежутке [0, 1]. В результате получаем искомые функции которые являются решением задачи 1. Для решения задачи 2 находим сужения функций , на промежуток , где момент находится из условий (1.8). Выполняется численными методами.
З а м е ч а н и е 3. Разработанный метод построения управляющей функции позволяет переводить широкий класс нелинейных систем из начального состояния в начало координат на конечном промежутке времени даже тогда, когда указанный перевод на бесконечном промежутке невозможен.
Рассмотрим систему
– const.
Для этой системы выполнены условия (1.4). Используя результат, полученный при доказательстве теоремы 1, найдем дискретное управление, обеспечивающее ее перевод в начало координат на конечном промежутке времени. С другой стороны, если , x2(t) → 0 при t → ∞ (т. е. система переводится в начало координат на бесконечном промежутке времени), то будем иметь при t → ∞. В результате получили противоречие с условием при t → ∞.
- Решение глобальной граничной задачи для квазилинейной нестационарной системы в классе кусочно-постоянных управлений. Объектом исследования является управляемая система обыкновенных дифференциальных уравнений
, (3.1)
где
; ,
, (3.2)
(3.3)
(3.4)
Введем обозначения:
.
Пусть
, (3.5)
где , , .
Рассмотрим задачи 1 и 2 для системы (3.1). Их решения будем называть решениями задач (1.5),(3.1) и (1.6),(3.1).
Т е о р е м а 2. Пусть для системы (3.1) выполнены условия (3.2)–(3.5). Тогда , такое, что для всех существуют решения задач (1.7), (3.1) и (1.8), (3.1). Указанные решения могут быть найдены при помощи алгоритмов, полученных в разд. 2.
Д о к а з а т е л ь с т в о. В соответствии с подходом, изложенным при доказательстве теоремы 1, используя (3.2), (3.3), построим аналог системы (2.6) для задачи (1.7), (3.1). Аналог системы (2.6) вынесен в Приложение. Если выполнить преобразований сдвига , описанных выше в разд. 2, сгруппировать соответствующим образом слагаемые правой части полученной системы подобно тому, как при построении системы (2.8), и присоединить к системе уравнения dd(τ)/dτ = υ, то найдем аналог системы (2.8) и начальных данных (2.9), (2.13):
(3.6)
(3.7)
где
(3.8)
Кроме того,
, при . (3.9)
Выражение состоит из слагаемых, линейно зависящих от компонент вектора , не содержащих параметр , и с коэффициентами ; имеет аналогичные слагаемые, линейно зависящие от компонент вектора ; в входят слагаемые, линейно зависящие от компонент вектора с коэффициентами , и содержащие параметр ; состоит из аналогичных слагаемых, линейно зависящих от компонент вектора ; – из слагаемых, нелинейных по компонентам векторов и ; – из слагаемых, не содержащих степеней компонент и имеющих параметр ; является суммой слагаемых, не содержащих степеней компонент векторов и параметр . Из определения функций , и следуют оценки:
(3.10)
Введем в рассмотрение систему (2.16) с учетом замены на и на . Из условий (3.3)–(3.5), (3.8), (3.9) и утверждения леммы, сформулированной в разд. 2, следует существование , такого, что для всех из области существует вспомогательное управление вида , при , гарантирующее оценки (49) из [15] для соответствующей фундаментальной матрицы. Если указанную фундаментальную матрицу обозначить , то эти оценки имеют вид
, , .
Рассмотрим систему (3.6), замкнутую вспомогательной управляющей функцией:
(3.11)
Выполним в системе (3.11) замену (51) из работы [15] c учетом замены на . В результате получим
(3.12)
Наряду с (3.12) рассмотрим систему
(3.13)
Пусть – фундаментальная матрица системы . Из оценок матрицы и формулы (51) из [15] следует
Выберем так, чтобы было выполнено условие Решение системы (3.13) с начальными данными (3.6), (3.7) можно записать в виде
τ ∈ [τ1,∞),
(3.14)
τ ∈ [0,τ1).
Из (3.14), оценки матрицы выбора и неравенств (3.10) имеем
Применяя к последним двум неравенствам известную лемму [17, с. 184], получим
(3.15)
Воспользовавшись (3.15) и условием , зафиксируем так, чтобы было выполнено условие . После вычисления интегралов во вторых слагаемых правой части оценок (3.15) нетрудно видеть, что при фиксированных решение системы (3.13) с начальными данными (3.6),(3.7) для всех экспоненциально убывает. Пусть
Введем в рассмотрение множество : Выполним в слагаемых замены . Тогда в области запишем следующие оценки:
(3.16)
(3.17)
Вернемся к системе (3.12). Ее решение с начальными данными (3.6), (3.7) имеет вид
(3.18)
τ ∈ [τ1,∞),
τ ∈ [0,τ1).
В (3.18) величина τ1 определена выше. Равенства (3.18) с учетом (3.14)–(3.17) в области Ω дают такие оценки:
(3.19)
Здесь
Из (3.19) по аналогии с (3.15) в области получим
(3.20)
После вычисления интегралов в правых частях (3.20) запишем:
, , (3.21)
, (3.22)
В силу определения констант с учетом (3.6),(3.7), (3.15)–(3.17), (3.20)–(3.22), нетрудно видеть, что можно найти , такое, что для всех из области
(3.23)
константа и функция удовлетворяют неравенствам:
(3.24)
Кроме того, с момента будет экспоненциально убывать со скоростью не ниже . Учитывая (3.21) и (3.22), можно подобрать константу , такую, что ,
Возвращаясь в этом неравенстве к исходной переменной , получим
(3.25)
Рассмотрим систему (3.6), замкнутую вспомогательным управлением, которое фигурирует в системе (3.11) при условии, что в правую часть ее первых уравнений подставлена функция , . Ее можно записать в следующем виде:
(3.26)
Ниже все рассуждения будем приводить при условии, что параметр принадлежит области (3.23). Используя (2.17), уравнение (25) из [15], (3.2), (3.25) и теорему о среднем, в области получим аналоги оценок (66) из [15]:
(3.27)
В (3.27) константы не зависят от номера . Выполним в системе (3.26) замену переменной, которая была выполнена при построении системы (3.12). Система (3.26) примет вид
Из оценки нормы матриц , условий (3.19) и (3.25)–(3.27) следует, что для ее решения с начальными данными (3.6), (3.7), принадлежащего области (с учетом замены на ), будем иметь
(3.28)
В свою очередь если к (3.28) применить известную лемму [17.с. 184], то по аналогии с оценками (3.20) области Ω (при замене µ4 на µ5) получим
(3.29)
После вычисления интегралов во вторых слагаемых правых частей последних двух неравенств с учетом (3.20)–(3.24) в указанной области будем иметь
, , (3.30)
, (3.31)
Выберем так, чтобы
(3.32)
Из условий (3.21)–(3.24), (3.30)–(3.32) следует, что для всех µ из области (3.23) функция экспоненциально убывает и принадлежит области Ω. После подстановки функции в формулу (51) из [15] получим известную функцию . Ее последние r компонент дают известную функцию . Далее находим функцию . Если подставить в аналоги формул (15), (18), (21) из [15], то получим пару функций и , которая почти всюду удовлетворяет системе, приведенной ниже в Приложении, и условиям (2.5). Отсюда следует, что указанная пара является решением задачи 3. После замены независимой переменной τ на t в функциях и по формулам (2.2), (2.4) будем иметь пару функций , , которая будет решением задачи (2.1), (3.1). Соответствующие точки разбиения промежутка находятся по формуле Используя предельный переход в функциях при , получим решение задачи 1 для системы (3.1). Сужение функций на промежуток , где момент находится из условий (1.8), дает решение задачи 2. В качестве величины , которая фигурирует в формулировке теоремы 2, достаточно положить . Теорема 2 доказана.
Алгоритмы решения задач 1 и 2 содержатся в разд. 2.
- Случай квазилинейной системы со стационарной линейной частью. Объектом исследования является система
, (4.1)
где , x ∈ Rn; , , , , , , – постоянные матрицы:
, (4.2)
Пусть,
(4.3)
. (4.4)
Рассмотрим задачи 1 и 2 для системы (4.1).
О п р е д е л е н и е 2. Будем говорить, что задачи 1 и 2 для системы (4.1) глобально разрешимы, если , такое, что существует решение задач 1 и 2.
С л е д с т в и е 1. Пусть для системы (4.1) выполнены условия (4.2), (4.4). Тогда для глобальной разрешимости задач 1 и 2 необходимо и достаточно, чтобы было верно условие (4.3).
Д о к а з а т е л ь с т в о. Справедливость достаточности условия (4.3) и алгоритм построения искомого управления следуют из (4.2) и доказательства теоремы 2.
Необходимость. Пусть условие (4.3) не выполнено. Предположим противное, т. е. , такое, что существует решение задачи 1. Выполним в системе (4.1) замену независимой переменной по формуле (2.2). Тогда существует абсолютно непрерывная функция и дискретное управление почти всюду удовлетворяющие системе
(4.5)
и условиям (2.5). Предположим, что rank . Пусть , есть -й столбец матрицы . Введем в рассмотрение матрицу
.
Здесь – максимальное количество столбцов вида , таких, что векторы линейно независимы, а векторы , , выбраны так, что rank . Выполним в (4.5) замену . Тогда, согласно [4], в новых переменных система (4.5) и условия (2.5) примут вид
(4.6)
при . (4.7)
В правой части (4.6) – матрица с постоянными коэффициентами размерности . Блоки – матрицы с нулевыми элементами соответственно размерностей Вектор который удовлетворяет системе (4.6), условиям (4.7) и вектор начальных данных представим следующим образом:
,
.
Введем в рассмотрение систему, состоящую из последних уравнений системы (4.6), предположив дополнительно, что в ее правую часть подставлены известные функции , удовлетворяющие условиям (4.7). При этом соответствует начальному условию , тогда остальные компонент вектора – решение системы
, (4.8)
где – матрица, состоящая из последних строк матрицы
Согласно (4.7), для решения системы (4.8) должны иметь место условия
при (4.9)
Покажем, что решения системы (4.8) не удовлетворяют выражению (4.9). Очевидно, что – фундаментальная матрица системы , нормированная в нуле. Решение системы (4.8) с начальными данными (4.9) имеет вид
(4.10)
Из условия (4.4) следует оценка
(4.11)
С учетом (4.10) и (4.11) получаем
Выберем . Тогда из последнего неравенства следует, что для всех из области
(4.12)
Неравенство (4.12) показывает, что решение системы (4.8) для всех из области не удовлетворяет условию (4.9). Указанное обстоятельство доказывает необходимость условия (4.3) для разрешимости задачи 1. В свою очередь в силу произвольности выбора и условий (1.8), (2.2) и (4.12) получаем необходимость выполнения условия (4.3) для существования решения задачи 2. Следствие 1 доказано.
- Случай нелинейной стационарной системы с нестационарным возмущением. Объектом исследования является управляемая система вида
. (5.1)
Пусть правая часть системы (5.1) при удовлетворяет условиям (1.2)–(1.4). На управление u наложено ограничение (1.6).
З а д а ч а 4. Найти дискретное управление заданное на бесконечном разбиении интервала [0, 1], указанном в формулировке задачи 1 (см. разд. 1), непрерывно дифференцируемое по и , а также абсолютно непрерывную функцию , которые почти всюду удовлетворяют системе (5.1) и условиям
(5.2).
З а д а ч а 5. Найти дискретное управление заданное на конечном разбиении интервала [0, 1] (см. разд. 1), и непрерывно дифференцируемое по и , а также абсолютно непрерывную функцию , которые почти всюду удовлетворяют системе (5.1) и условиям:
(5.3).
В (5.3) – заранее неизвестный момент времени, – произвольное число.
О п р е д е л е н и е 3. Будем говорить, что задачи 4 и 5 локально разрешимы, если , такое, что , удовлетворяющих неравенствам , существуют решения задач 4 и 5.
З а м е ч а н и е 4. После несложных соображений с учетом (1.2) и (5.2) нетрудно, видеть, что для всех из области существует константа , такая, что для решения задачи 4 имеет место неравенство
(5.4)
С л е д с т в и е 2. Пусть для системы (5.1) выполнены условия (1.2) и (1.3). Тогда для локальной разрешимости задач 4 и 5 необходимо и достаточно, чтобы было выполнено условие (1.4).
Д о к а з а т е л ь с т в о. Достаточность. Доказательство достаточности и алгоритмы решения задач 4 и 5 содержатся в доказательстве теоремы 1. Из построения искомой управляющей функции следует, что непрерывно дифференцируема по , µ и .
Необходимость. Предположим, что условие (1.4) не выполнено и задача 4 локально разрешима. При доказательстве необходимости условия (1.4) используем подход, примененный при доказательстве необходимости в следствии 1. Аналог системы (4.5) и условий (2.5) для задачи 4 в новой независимой переменной после замены (2.2), (2.4) примут вид
(5.5)
(5.6)
(5.7)
Из равенства (5.6) следует, что в области (1.6), (5.4) справедливы неравенства
(5.8)
В (5.8) константа зависит от области (1.6), (5.4).
В свою очередь в силу (1.2), (1.3), (5.7) и определения получаем равенства
(5.9)
В (5.9) – средние точки из области Обозначим через аналог матрицы , фигурирующей в доказательстве следствия 1. После замены система (5.5) и условия (5.7) примут вид
(5.10)
при (5.11)
.
Матрицы , являются аналогами соответственно матриц , из разд. 4. Далее вводим в рассмотрение последние уравнений системы (5.10) при условии, что в ее правую часть подставлены известные первые компонент функции и функция , удовлетворяющие системе (5.10) и условиям (1.6),(5.11). Ее можно записать как
(5.12)
,
где , – матрица, состоящая из последних строк матрицы Число k равно рангу матрицы . Из (5.11) имеем
при (5.13)
Решение системы (5.12) с начальными данными (5.13) запишем как
(5.14)
С учетом (1.2), (1.6), (5.4), (5.8), (5.9), (5.14) и замены в области получим оценку
(5.15)
Константа зависит от области Ω.
Пусть . Тогда для всех оценка (5.15) примет вид
Отсюда следует, что выполняется неравенство
Последнее неравенство противоречит условию (5.13). Указанное противоречие доказывает необходимость условия (1.4) для существования решения задачи 4. В силу произвольности получаем необходимость условия (1.4) для разрешимости задачи 5. Следствие 2 доказано.
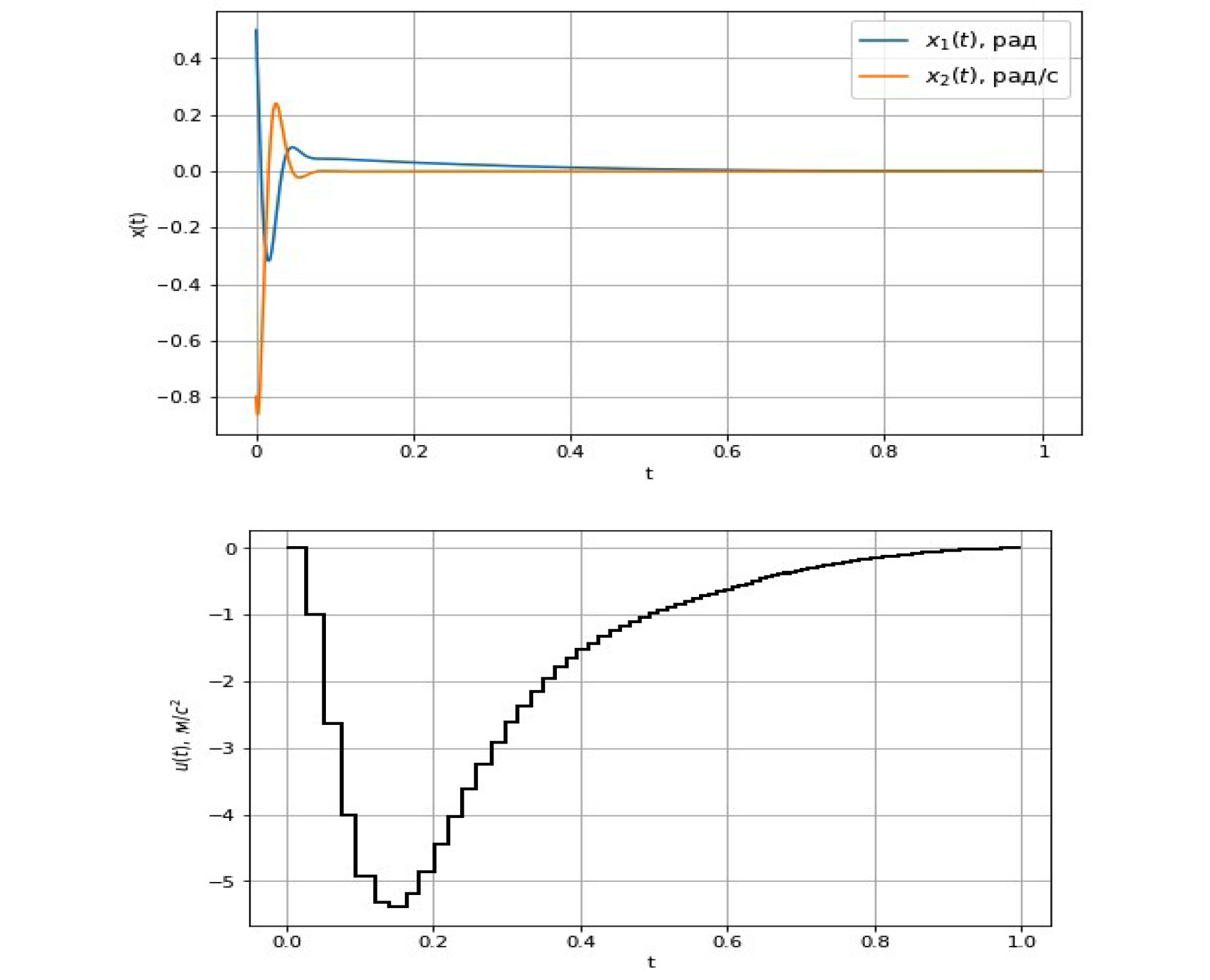
- Алгоритм решения задачи управления движением маятника переменной длины с переменной точкой подвеса. Система уравнений, описывающая движение маятника переменной длины с переменной точкой подвеса, движущейся вдоль горизонтальной оси, имеет вид [18]
(6.1)
где – угол отклонения маятника от вертикальной оси, – скорость изменения угла отклонения, , g – ускорение свободного падения, – скорость изменения длины маятника, – начальная длина маятника, u – управляющий параметр, который равен ускорению движения точки подвеса вдоль горизонтальной оси. Рассмотрим краевые условия маятника
(6.2)
После замены (2.2) в системе (6.1) и условиях (6.2) получим
при (6.3)
Выполним преобразования сдвигов :
(6.4)
После замены (6.4) из (6.3) получаем аналог сиcтемы (2.8) и начальных условий (2.9), (2.13):
(6.5)
(6.6)
Линейная часть системы (6.5) может быть записана в следующей форме:
(6.7)
, .
После решения задачи стабилизации системы (6.7) получаем :
(6.8)
Далее решаем задачу Коши для системы (6.5) с начальными данными (6.6), замкнутой вспомогательного управлением (6.8). В результате находим известные функции . Их подстановка в формулу (6.8) дает известную функцию . В свою очередь после замены независимой переменной τ на t будем иметь известную функцию . На заключительном этапе решаем задачу Коши для системы
(6.9)
на промежутке [0, 1] с начальными данными:
(6.10)
- Численное моделирование. В процессе численного моделирования интегрировалась вспомогательная система (6.9), замкнутая вспомогательным управлением с начальными данными (6.10) при , , , , , , , , на промежутке [0.0.99]. На рисунке представлены графики функции изменения фазовых координат и управления в исходной независимой переменной t.
Рис. 1. Разбиение фазовой плоскости на множества D1, D2, D3.
Заключение. Полученные в работе алгоритмы решения граничных задач могут быть использованы при решении важной практической задачи стабилизации широкого класса нелинейных нестационарных систем на конечном промежутке времени с помощью дискретных управлений. Указанное обстоятельство позволяет значительно уменьшить время переходного процесса и обеспечить движение по заданной траектории в реальном времени. Кроме того, стабилизация на конечном промежутке может быть осуществлена даже в том случае, когда стабилизация на бесконечном промежутке невозможна (см. замечание 3).
ПРИЛОЖЕНИЕ
Аналог системы (2.6) для задачи (3.1), (1.7).можно записать в виде:
About the authors
A. N. Kvitko
St. Petersburg State University
Author for correspondence.
Email: alkvit46@mail.ru
Russian Federation, St. Petersburg
References
- Петров Н.Н. Решение одной задачи теории управляемости // Дифференц.уравнения. 1969. Т. 5. № 5. С. 962–963.
- Петров Н.Н. Локальная управляемость автономных систем // Дифференц. уравнения. 1968. Т. 4. № 4. С. 1218–1232.
- Верещагин И.Ф. Методы исследования режимов полета аппарата переменной массы. Пермь: Изд-во Пермск. гос. ун-та, 1972.
- Зубов В.И. Лекции по теории управления. М.: Наука, 1975.
- Furi M., Nistri P., Pera M., Zezza P. Linear Controllability by Piece Constant Control with Assigned Switching Times // J. Optimization Theory and Application. 1985. V. 45. № 2. P. 219–229.
- Ailon A, Segev R. Driving a Linear Constant System by a Piecewise Constant Control // Intern. J. Control. 1988. V. 47. P. 815–825.
- Seilova R.D, Amanov T.D. Construction of Piecewise Constant Controls for Linear Impulsive Systems // Proc. Intern.Sympos.“Reliability and Quality.” Penza, 2005. P. 4–5.
- Alzabut J.O. Piecewise Constant Control of Boundary Value Problem for Linear- Impulsive Differential Systems // Mathematical Methods in Engineering. 2007. P. 123–129.
- Вaier R., Gerdts M. A. Computational Method for Non-convex Reachable Sets Using Optimal Control // Proc. European Control Conf.(ECC) Budapest, 2009. P. 97–102.
- Kвитко А.Н., Якушева Д.Б. Решение граничной задачи для нелинейной стационарной управляемой системы на бесконечном промежутке времени с учетом дискретности управления // Информационно-управляющие системы. 2011. № 6. C. 25–29.
- Maksimov V.P., Chadov A.L. On Class of Controls for a Functional-differential Contenuous Discrete System // Isv. Vyssh. Uchebn. Zaved. Mat. 2012. № .9. P. 72–76.
- Kвитко А.Н., Якушева Д.Б. Алгоритм построения кусочно-постоянного синтезирующего управления при решении граничной задачи для нелинейной стационарной системы // Вестн. ВГУ. Сер. Физика. Математика.2012. № 1. С. 138–145.
- Plotnikov A.V., Arziry A., Komleva T.A. Piece Constant Controller Linear Fuzzy Systems // Intern. J. Industrial Mathematics. 2012. V. 4. № 2. P. 77–85.
- Ushakov V. N., Matviychuk A.R., Ushakov A.V., Kazakov A.L. On the Construction of Solutions of the Approach Problem at a Fixed Point in Time (Russian) // Izvestiya Irkutskogo Gosudarstvennogo Universiteta. Seriya Matematika. 2012. V. 5. № 4. P. 95–115.
- Kvitko A.N., Maxina A.M., Chistyakov S.V. On a Method for Solving a Local Boundary Problem for a Nonlinear Stationary System with Perturbations in the Class of Piecewise Constant Controls // Intern. J. Robust Nonlinear Control. 2019. № 13. P. 4515–4536.
- Kвитко А.Н., Литвинов Н.Н. Решение локальной граничной задачи в классе дискретных управлений для нелинейной нестационарной системы // Вестн. Санкт-Петербургского ун-та. Сер. Прикладная математика. Информатика. Процессы управления.2022. Т. 20. № 1. C. 18–37.
- Барбашин Е.А. Введение в теорию устойчивости. М.: Наука, 1967.
- Aкуленко Л.Д. Асимптотические методы оптимального управления. М.: Наука, 2003.
Supplementary files



