On Turbulent Helicity in the Surface Layer of the Atmosphere
- Authors: Solenaya О.А.1, Shishov Е.А.1, Chkhetiani О.G.1,2, Azizyan G.V.1, Koprov V.M.1
-
Affiliations:
- Obukhov Institute of Atmospheric Physics, Russian Academy of Sciences
- Space Research Institute, Russian Academy of Sciences
- Issue: Vol 59, No 6 (2023)
- Pages: 675-685
- Section: Articles
- URL: https://medbiosci.ru/0002-3515/article/view/162269
- DOI: https://doi.org/10.31857/S0002351523060111
- EDN: https://elibrary.ru/OURINM
- ID: 162269
Cite item
Full Text
Abstract
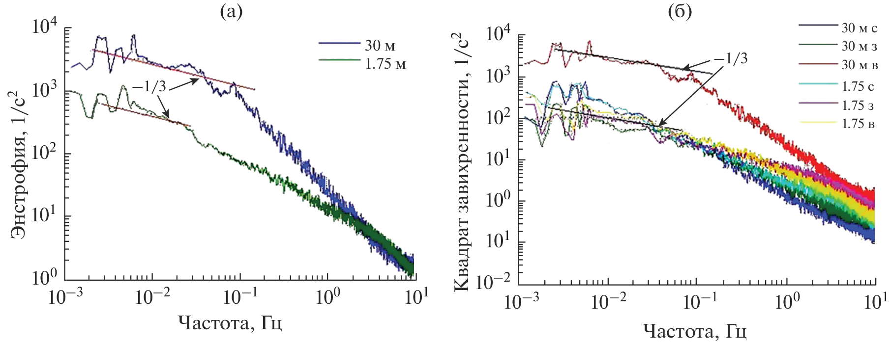
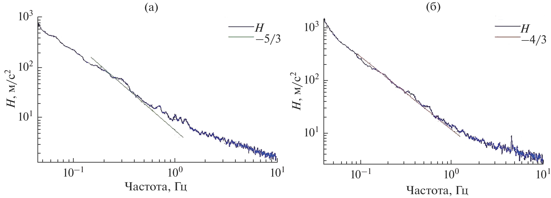
Synchronous measurements of vorticity and velocity in the boundary layer of the atmosphere were carried out using the original 3-component acoustic circulator developed at the A.M. Obukhov Institute of Physical Physics in 2019–2020. The measurements were carried out in summer at the Tsimlyansk scientific station (in 2021, 2022) at altitudes of 1.75 and 30 m. For different realizations, turbulent helicity has negative values on average, which is possibly due to the presence of local (breeze) winds. The observed spectra of turbulent helicity exhibit a slope close to –5/3, which corresponds to the transfer of helicity along the spectrum towards small scales (direct cascade). Spectrum slopes of –4/3 are also observed, and in the low-frequency region – –1, associated with the convective component, wind shear, and submesoscale structures. The components of the turbulent vortex flow are calculated. The helicity values agree with the previously measured and theoretical estimates obtained for neutral conditions.
Keywords
About the authors
О. А. Solenaya
Obukhov Institute of Atmospheric Physics, Russian Academy of Sciences
Author for correspondence.
Email: Solenaya.Oksana@gmail.com
Russia, 119017, Moscow, Pyzhevskii per. 3
Е. А. Shishov
Obukhov Institute of Atmospheric Physics, Russian Academy of Sciences
Email: Solenaya.Oksana@gmail.com
Russia, 119017, Moscow, Pyzhevskii per. 3
О. G. Chkhetiani
Obukhov Institute of Atmospheric Physics, Russian Academy of Sciences; Space Research Institute, Russian Academy of Sciences
Email: Solenaya.Oksana@gmail.com
Russia, 119017, Moscow, Pyzhevskii per. 3; Russia, 117997, Moscow, Profsoyuznaya st., 84/32
G. V. Azizyan
Obukhov Institute of Atmospheric Physics, Russian Academy of Sciences
Email: Solenaya.Oksana@gmail.com
Russia, 119017, Moscow, Pyzhevskii per. 3
V. M. Koprov
Obukhov Institute of Atmospheric Physics, Russian Academy of Sciences
Email: Solenaya.Oksana@gmail.com
Russia, 119017, Moscow, Pyzhevskii per. 3
References
- Белян А.В., Моисеев С.С., Чхетиани О.Г. О турбулентной вязкости в спиральной турбулентности // Доклады АН. 1994. Т. 334. № 1. С. 34–36.
- Бовшеверов В.М., Гурвич А.С., Кочетков А.Н., Ломадзе С.А. Измерение частотного спектра мелкомасштабной циркуляции скорости в турбулентном потоке // Изв. АН СССР. Физика атмосферы и океана. 1971. Т. 7. № 4. С. 371–376.
- Копров Б.М., Калугин В.В., Тиме Н.С. Турбулентный поток вихря // Изв. АН. Физика атмосферы и океана. 1994. Т. 30. № 1. С. 13–17.
- Копров Б.М., Копров В.М., Пономарев В.М., Чхетиани О.Г. Измерение турбулентной спиральности и ее спектра в пограничном слое атмосферы // Доклады РАН. 2005. Т. 403. № 5. С. 627–630.
- Копров Б.М., Копров В.М., Курганский М.В., Чхетиани О.Г. Спиральность и потенциальный вихрь в приземной турбулентности // Изв. РАН. Физика атмосферы и океана. 2015. Т. 51. № 6. С. 637–647.
- Копров Б.М. Из истории исследований пограничного слоя в Институте физики атмосферы АН СССР Изв. РАН. Физика атмосферы и океана. 2018. Т. 54. № 3. С. 330–343.
- Копров Б.М., Копров В.М., Соленая О.А., Чхетиани О.Г., Шишов Е.А. Методика и результаты измерений турбулентной спиральности в стратифицированном приземном слое // Изв. РАН. Физика атмосферы и океана. 2018. Т. 54. № 5. С. 525–537.
- Курганский М.В. Связь между спиральностью и потенциальным вихрем в сжимаемой вращающейся жидкости // Известия АН СССР. Физика атмосферы и океана. 1989. Т. 25. № 12. С. 1326–1329.
- Курганский М.В. Введение в крупномасштабную динамику атмосферы (Адиабатические инварианты и их применение). СПб.: Гидрометеоиздат, 1993. 168 с.
- Курганский М.В. Спиральность в атмосферных динамических процессах // Изв. РАН. Физика атмосферы и океана. 2017. Т. 53. № 2. С. 147–163.
- Курганский М.В., Максименков Л.О., Хапаев А.А., Чхетиани О.Г. Вертикальный поток спиральности как индекс общей циркуляции атмосферы // Доклады РАН. 2018. Т. 479. № 4. С. 447–451.
- Моисеев С.С., Чхетиани О.Г. Спиральный скейлинг в турбулентности // ЖЭТФ. 1996 Т. 109(6). С. 357–370.
- Новиков Е.А. Поток вихря // Изв. АН СССР. Физика атмосферы и океана. 1972. Т. 8. № 7. С. 459–462.
- Обухов А.М. Структура температурного поля в турбулентном потоке // Изв. АН СССР. Сер. геогр. и геофиз. 1949. Т. 13. № 1. С. 58–69.
- Пономарев В.М., Чхетиани О.Г. Полуэмпирическая модель пограничного слоя атмосферы с параметризацией влияния турбулентной спиральности // Изв. АН СССР. Физика атмосферы и океана. 2005. Т. 41. № 4. С. 464–480.
- Цванг Л.Р. Исследования атмосферной турбулентности на Цимлянской научной станции Института Физики Атмосферы АН СССР // Изв. АН СССР. Физика атмосферы и океана. 1985. Т. 21. № 4. С. 339–348.
- Чхетиани О.Г. О спиральной структуре экмановского пограничного слоя // Изв. РАН. Физика атмосферы и океана. 2001. Т. 37. № 5. С. 614–620.
- Чхетиани О.Г., Копров Б.М., Копров В.М. Потоки завихренности и спиральности в атмосферном пограничном слое / Сб.: “Динамика волновых и обменных процессов в атмосфере”. М.: ГЕОС. 2017. С. 39–57.
- Шишов Е.А., Соленая О.А., Чхетиани О.Г., Азизян Г.В., Копров В.М. Многоточечные измерения температуры и ветра в приземном слое // Изв. РАН. Физика атмосферы и океана. 2021. Т. 57. № 3. С. 286–297.
- Agoua W., Favier B., Delache A., Briard A., Bos W.J.T. Spontaneous generation and reversal of helicity in anisotropic turbulence // Physical Review E. 2021. V. 103. № 6. P. L061101.
- Ali Sk Z., Dey S. Discovery of the zeroth law of helicity spectrum in the pre–inertial range of wall Turbulence // Phys. Fluids 2022. V. 34. P. 071401.
- Betchov R. Semi–Isotropic Turbulence and Helicoidal Flows // Phys. Fluids. 1961. V. 4. P. 925–926.
- Brissaud A., Frisch U., Leorat J., Lesieur M., Mazur A. Helicity cascades in fully developed isotropic turbulence // Phys. Fluids. 1973. V. 16. P. 1363–1364.
- Chen Q., Chen S., Eyink G.L. The Joint Cascade of Energy and Helicity in Three–Dimensional Turbulence // Phys. Fluid. 2003. V. 15. P. 361–374
- Chkhetiani O.G., Gledzer E.B. Helical turbulence with small-scale energy and helicity sources and external intermediate scale noises as the origin of large scale generation // Physica A. 2017. V. 486. P. 416–433.
- Chkhetiani O.G., Kurgansky M.V., Vazaeva N.V. Turbulent Helicity in the Atmospheric Boundary Layer // Bound. Lay. Meteo. 2018. V. 168. № 3. P. 361–385.
- Etling D. Some aspects of helicity in atmospheric flows // Beitr. Phys. Atmos. 1985. V. 58. № 1. P. 88–100.
- Hide R. A note on helicity and potential vorticity // Geophys. Astro. Fluid. 1976. V. 7. № 1. P. 69–79.
- Hide R. Superhelicity, helicity and potential vorticity // Geophys. Astro. Fluid. 1989. V. 48. № 1–3. P. 69–79.
- Koprov B.M., Azizyan G.V., Kalugin V.V. Spectra of velocity circulation in the surface layer of the atmosphere // Bound. Layer Meteor. 1988. V. 42. № 1–2. P. 137–143.
- Kraichnan R.H. Helical turbulence and absolute equilibrium // J. Fluid Mech. 1973. V. 59(4) P. 745–752.
- Lilly D.K. The structure, energetics and propagation of rotating convective storms. Part II. Helicity and storm stabilization // J. Atmos. Sci. 1986. V. 42(2). P. 126–140.
- Moffatt H.K. The degree of knottedness of tangled vortex lines // J. Fluid Mech. 1969. V. 35(1). P. 117–129.
- Moffatt H.K. Magnetic field generation in electrically conducting fluids // Cambridge University Press. 1978. 344 p.
- Shukurov A., Subramanian K. Astrophysical magnetic fields: From galaxies to the early Universe. Cambridge University Press. 2021. 650 p.
- Tan Z, Wu R. Helicity dynamics of atmospheric flow // Adv. Atmos. Sci. 1994. V. 11(2). P. 175–188.
- Taylor G.I. Eddy motion in the atmosphere // Phil. Trans. Roy. Soc. A 1915. V. 215. P. 1–26.
- Taylor G.I. The spectrum of turbulence // Proc. Royal Soc. London. A. 1938. V. 164 (919). P. 476–490.
Supplementary files














