Conditionally Background Level of Aerosol Pollution of Near-Surface Air in Moscow and One of Its Suburbs: Seasonal Variations
- Authors: Gubanova D.P.1, Vinogradova A.A.1, Lezina E.A.2, Iordanskii M.A.1, Isakov A.A.1
-
Affiliations:
- Obukhov Institute of Atmospheric Physics, Russian Academy of Sciences
- Mosecomonitoring
- Issue: Vol 59, No 6 (2023)
- Pages: 754-773
- Section: Articles
- URL: https://medbiosci.ru/0002-3515/article/view/162277
- DOI: https://doi.org/10.31857/S0002351523060056
- EDN: https://elibrary.ru/OQZOOA
- ID: 162277
Cite item
Full Text
Abstract
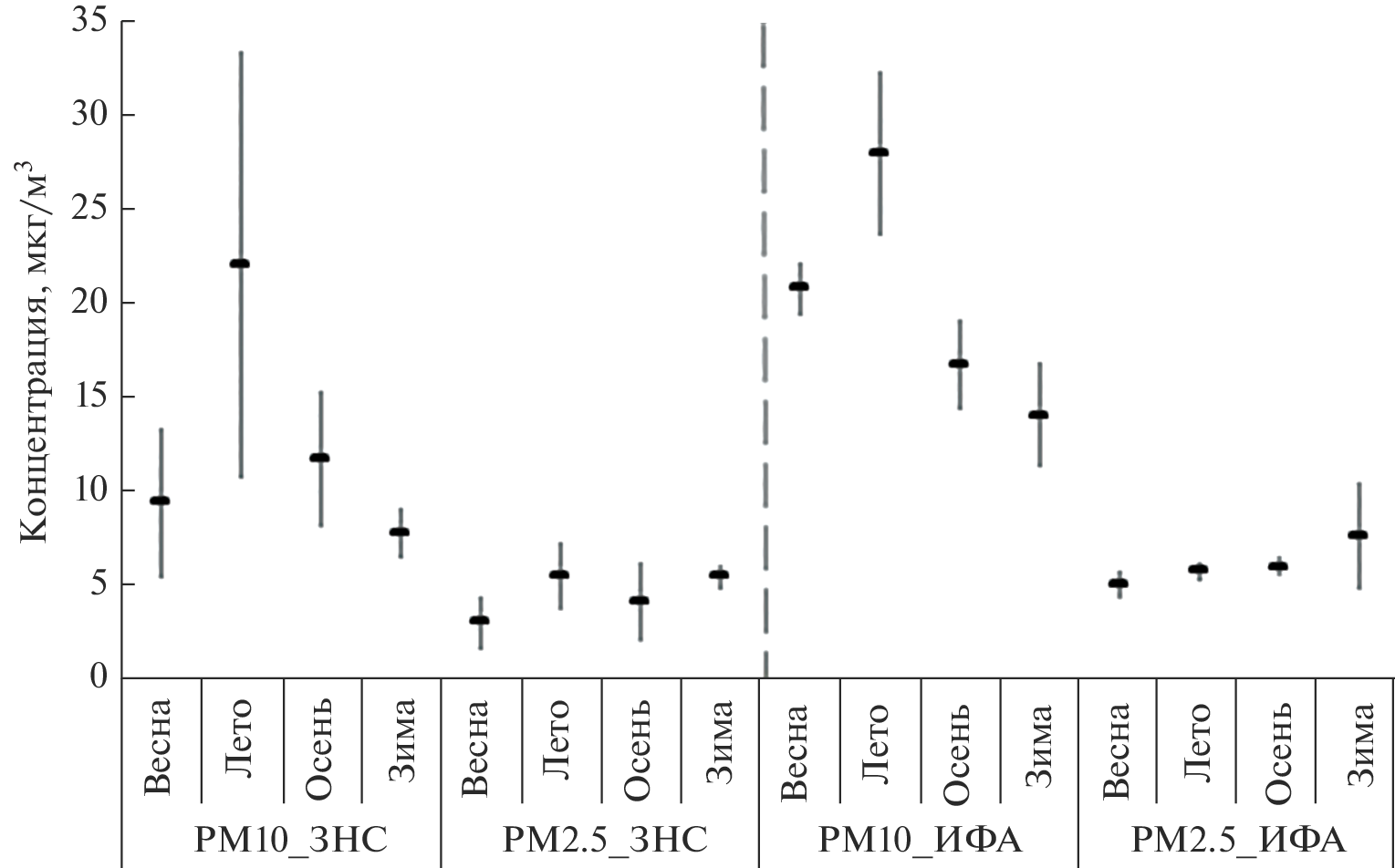
The data of continuous observations of aerosol composition in the near-surface atmosphere in Moscow (in the city center) and in Moscow region (near Zvenigorod, Moscow region) for three years, from autumn 2019 to the end of 2022, are analyzed. The obtained data were compared with the results of observations on the Moscow network stations “Mosecomonitoring”. The concept of conditionally background aerosol pollution of the atmosphere in Moscow is introduced for those days when the average daily concentration of PM10 is less than the MPC value (60 µg/m3). Previously, the authors found that all episodes of increased aerosol pollution in Moscow with daily average PM10 concentration higher than the MPC value, are associated either with the presence of a close local source in the city itself, or with the long-range transport of fire aerosols and/or dust from other territories to the Moscow region. The average daily PM2.5 concentration in the city and the suburb is lower than the MPC (35 µg/m3) all year round. The days corresponding to the introduced conditional background make up more than 91% over three years in the center of Moscow. Such a conditional background is formed by both natural and anthropogenic sources of aerosols, and not only of local, but also of remote origin. It implicitly takes into account the influence of meteorological conditions on sources and sinks of aerosols, as well as advective air mass transport of aerosol to and from the city. Seasonal variations in mass concentration of PM10, PM2.5 particles and individual chemical elements, as well as in the distribution of chemical elements by the size of aerosol particles in near-surface atmosphere under conditionally background pollution are analyzed. The emphasis is placed on the similarity and difference in the conditionally background near-surface aerosol for the city and the suburb in different seasons.
About the authors
D. P. Gubanova
Obukhov Institute of Atmospheric Physics, Russian Academy of Sciences
Author for correspondence.
Email: gubanova@ifaran.ru
Russia, 119017, Moscow, 3 Pyzhevsky Lane
A. A. Vinogradova
Obukhov Institute of Atmospheric Physics, Russian Academy of Sciences
Email: gubanova@ifaran.ru
Russia, 119017, Moscow, 3 Pyzhevsky Lane
E. A. Lezina
Mosecomonitoring
Email: gubanova@ifaran.ru
Russia, 121019, Moscow, 11/1 Novy Arbat str.
M. A. Iordanskii
Obukhov Institute of Atmospheric Physics, Russian Academy of Sciences
Email: gubanova@ifaran.ru
Russia, 119017, Moscow, 3 Pyzhevsky Lane
A. A. Isakov
Obukhov Institute of Atmospheric Physics, Russian Academy of Sciences
Email: gubanova@ifaran.ru
Russia, 119017, Moscow, 3 Pyzhevsky Lane
References
- Безуглая Э.Ю., Смирнова И.В. Воздух городов и его изменения. СПб.: Астерион, 2008. 254 с.
- Биргер М.И., Вальдберг А.Ю., Мягков Б.И., В.Ю. Падва, А.А. Русанов. Справочник по пыле- и золоулавливанию. М.: Энергоатомиздат, 1983. 312 с. (С. 14).
- Власенко C.C., Волкова К.А., Ионов Д.В., Рышкевич Т.И., Иванова О.А., Михайлов Е.Ф. Изменчивость углеродсодержащей фракции атмосферного аэрозоля вблизи Санкт-Петербурга // Изв. РАН. Физика атмосферы и океана. 2019. Т. 55. № 6. С. 147–156.
- Власов Д.В., Касимов Н.С., Кошелева Н.Е. Геохимия дорожной пыли (Восточный округ Москвы) // Вестн. Моск. Ун-та. Сер. 5. География. 2014. № 3. С. 23–33.
- Волох А.А., Журавлева М.Г. Оценка техногенного загрязнения воздуха в г. Москве // Изв. АН. Физика атмосферы и океана. 1994. Т. 30. № 2. С. 182–188.
- Гинзбург А.С., Губанова Д.П., Минашкин В.М. Влияние естественных и антропогенных аэрозолей на глобальный и региональный климат // Рос. хим. журнал. 2008. Т. LII. № 5. С. 112–119.
- Гинзбург А.С., Демченко П.Ф. Антропогенные мезо-метеорологические обратные связи: обзор современных исследований // Изв. РАН. Физика атмосферы и океана. 2019. Т.55. № 6. С. 94-113.
- Гинзбург А.С., Докукин С.А. Влияние теплового загрязнения атмосферы на климат города (оценки с помощью модели COSMO-CLM) // Изв. РАН. Физика атмосферы и океана. 2021. Т. 57. № 1. С. 53–66.
- ГН 2.1.6.3492-17. Предельно допустимые концентрации (ПДК) загрязняющих веществ в атмосферном воздухе городских и сельских поселений: Гигиенические нормативы, с изменениями, утв. постановлением Главного государственного санитарного врача Российской Федерации 31.05.2018 № 37. М.: Федеральный центр гигиены и эпидемиологии Роспотребнадзора, 2019. 55 с.
- Губанова Д.П., Беликов И.Б., Еланский Н.Ф., Скороход А.И., Чубарова Н.Е. Изменчивость приземной концентрации аэрозолей РМ2.5 в г. Москве по наблюдениям в Метеорологической обсерватории МГУ // Опт. атмос. океана. 2017. Т. 30. № 12. С. 1033–1042.
- Губанова Д.П., Виноградова А.А., Иорданский М.А., Скороход А.И. Временные вариации состава атмосферного аэрозоля в Москве весной 2020 года // Изв. РАН. Физика атмосферы и океана. 2021а. Т. 57. № 3. С. 334–348.
- Губанова Д.П., Виноградова А.А., Скороход А.И., Иорданский М.А. Аномальное аэрозольное загрязнение воздуха в Москве вблизи локального антропогенного источника в июле 2021 года // Гидрометеорологические исследования и прогнозы. 2021б. № 4. С. 133–147. https://doi.org/10.37162/2618-9631-2021-4-133-147
- Губанова Д.П., Иорданский М.А., Виноградова А.А., Беликов И.Б., Белоусов В.А. Проблема выбора значений плотности частиц для численной оценки массовой концентрации субмикронного и микронного аэрозоля // Опт. атмос. океана. 2023. Т. 36. № 06. С. 469–481. https://doi.org/10.15372/AOO20230607
- Губанова Д.П., Иорданский М.А., Кудерина Т.М., Скороход А.И., Еланский Н.Ф., Минашкин В.М. Элементный состав аэрозолей в приземном воздухе Москвы: сезонные изменения в 2019 и 2020 гг. // Опт. атмос. океана. 2021в. Т. 34. № 6. С. 441–450. https://doi.org/10.15372/AOO202106
- Губанова Д.П., Кудерина Т.М., Чхетиани О.Г., Иорданский М.А., Обвинцев Ю.И., Артамонова М.С. Экспериментальные исследования аэрозолей в атмосфере семиаридных ландшафтов Калмыкии. 2. Ландшафтно-геохимический состав аэрозольных частиц // Геофизические процессы и биосфера. 2018. Т. 17. № 3. С. 18–44.
- Губанова Д.П., Садовская Н.В., Иорданский М.А., Авилов А.С., Минашкин В.М. Морфология частиц приземного аэрозоля в Москве по результатам анализа методом растровой электронной микроскопии // Изв. РАН. Сер. Физическая. 2023. Т. 87. № 10. (принято в печать).
- Добровольский В.В. Биогеохимия мировой суши / Избр. Труды. Т. III. М.: Научный мир, 2009. 440 с.
- Доклад “О состоянии окружающей среды в городе Москве в 2022 году” / Под ред. А. О. Кульбачевского. М: 2023. 276 с.
- Еланский Н.Ф., Шилкин А.В., Пономарев Н.А., Захарова П.В., Качко М.Д., Поляков Т.И. Пространственно-временные вариации содержания загрязняющих примесей в воздушном бассейне Москвы и их эмиссии // Изв. РАН. Физика атмосферы и океана. 2022. Т. 58. № 1. С. 92–108. https://doi.org/10.31857/S0002351522010023
- Иванов В.В. Экологическая геохимия элементов: Справочник в 6 кн. М.: Недра, 1994. Кн. 2: Главные р-элементы. 303 с.
- Карандашев В.К., Туранов А.Н., Орлова Т.А., Лежнев А.Е., Носенко С.В., Золотарева Н.И., Москвина И.Р. Использование метода масс-спектрометрии с индуктивно-связанной плазмой в элементном анализе объектов окружающей среды // Заводская лаборатория. Диагностика материалов. 2007. Т. 73. № 1. С. 12–22.
- Касимов Н., Власов Д., Кошелева Н. Химический состав дорожной пыли и ее фракции PM10 как индикатор загрязнения городской среды // Экология и промышленность России. 2021. Т. 25. № 10. С. 43–49. https://doi.org/10.18412/1816-0395-2021-10-43-49
- Касимов Н.С. Экогеохимия ландшафтов. М.: ИП Филимонов М.В., 2013. 208 с.
- Кондратьев К.Я., Ивлев Л.С., Крапивин В.Ф. Атмосферные аэрозоли: Свойства, процессы образования и воздействия. От нано- до глобальных масштабов. СПб.: ВВМ, 2007. 858 с.
- Кошелева Н.Е., Дорохова М.Ф., Кузьминская Н.Ю., Рыжов А.В., Касимов Н.С. Влияние автотранспорта на экологическое состояние почв в западном административном округе Москвы // Вестн. Моск. Ун-та. Сер. 5. География. 2018. № 2. С. 16–27.
- Кудряшов. В.И. Анализ элементного состава атмосферных аэрозолей физическими методами // Межвузовский сб. Проблемы физики атмосферы. Вып. 20. Физика и химия атмосферных аэрозолей. СПб.: Изд-во СПбГУ. 1997. С. 97–130.
- Кузнецова И.Н., Брусова Н.Е., Нахаев М.И. Городской остров тепла в Москве: определение, границы, изменчивость // МиГ. 2017. № 5. С. 49–61.
- Кузнецова И.Н., Шалыгина И.Ю., Нахаев М.И., Глазкова А.А., Захарова П.В., Лезина Е.А., Звягинцев А.М. Неблагоприятные для качества воздуха метеорологические факторы // Труды Гидрометеорологического научно-исследовательского центра Российской Федерации. 2014. № 351. С. 154–172.
- Локощенко М.А., Енукова Е.А. Остров тепла в Московском регионе по спутниковым данным // МиГ. 2020. № 7. С. 50–63.
- Mocэкoмoнитopинг. URL: http://mosecom.mos.ru/
- Огородников Б.И., Будыка А.К., Скитович В.И., Бродовой А.В. Характеристики аэрозолей пограничного слоя атмосферы над Москвой // Изв. АН. Физика атмосферы и океана. 1996. Т. 32. № 2. С. 163–171.
- Полькин В.В., Панченко М.В. Временная изменчивость концентраций субмикронных и крупнодисперсных частиц в приземном слое атмосферы на Аэрозольной станции ИОА СО РАН г. Томска (2000–2020 гг.) // Опт. атмос. океана. 2022. Т. 35. № 6. С. 471–476.
- Ревич Б.А. Приоритетные факторы городской среды, влияющие на качество жизни населения мегаполисов // Проблемы прогнозирования. 2018. № 3(168). С. 58–66.
- Ревич Б.А., Малеев В.В. Изменения климата и здоровье населения России: анализ ситуаций и прогнозные оценки. М.: ЛЕНАНД, 2011. 208 с.
- Самсонов В.Т. Обеспыливание воздуха в промышленности. Методы и средства. М.: Инфра-М, 2016. 234 с. (С. 161–163).
- Трефилова А.В., Артамонова М.С., Кудерина Т.М., Губанова Д.П., Давыдов К.А., Иорданский М.А., Гречко Е.И., Минашкин В.М. Химический состав и микрофизические характеристики аэрозоля г. Москвы и Подмосковья в июне 2009 г. и на пике пожаров 2010 г. // Геофизические процессы и биосфера. 2012. Т. 11. № 4. С. 65–82.
- Эрхардт Х. Рентгенофлуоресцентный анализ. Применение в заводских лабораториях. М.: Металлургия. 1985. 256 с.
- Andronova A.V., Iordanskii M.A., Trefilova A.V., Lebedev V.A., Minashkin V.M., Obvintsev Yu.I., Artamonova M.S., Granberg I.G. Comparative Analysis of Pollution of the Surface Atmospheric Layer in Such Megalopolises as Moscow and Beijing // Izv., Atmos. Ocean. Phys. 2011. V. 47. № 7. P. 25–33.
- Bond T.C., Doherty S.J., Fahey D.W., Forster P.M., Berntsen T., DeAngelo B.J., Flanner M.G., Ghan S., Kärcher B., Koch D., Kinne S., Kondo Y., Quinn P.K., Sarofim M.C., Schultz M.G., Schulz M., Venkataraman C., Zhang H., Zhang S., Bellouin N., Guttikunda S.K., Hopke P.K., Jacobson M.Z., Kaiser J. W., Klimont Z., Lohmann U., Schwarz J.P., Shindell D., Storelvmo T., Warren S.G., Zender C.S. Bounding the role of black carbon in the climate system: A scientific assessment // J. Geophys. Res. Atmos. 2013. V. 118. P. 5380–5552.
- Chapman S., Watson J.E.M., Salazar A., Thatcher M., McAlpine C.A. The impact of urbanization and climate change on urban temperatures: a systematic review // Landscape Ecol. 2017. V. 32. P. 1921–1935.
- Chubarova N.Ye., Androsova Ye.Ye., Lezina Ye.A. The dynamics of the atmospheric pollutants during the Covid-19 pandemic 2020 and their relationship with meteorological conditions in Moscow // Geography, Environment, Sustainability. 2021. https://doi.org/10.24057/2071-9388-2021-012
- Gubanova D., Chkhetiani O., Vinogradova A., Skorokhod A., Iordanskii M. Atmospheric transport of dust aerosol from arid zones to the Moscow region in the fall 2020 // AIMS Geosciences. 2022(a). V. 8. № 2. P. 277–302. https://doi.org/10.3934/geosci.2022017
- Gubanova D.P., Vinogradova A.A., Iordanskii M.A., Skorokhod A.I. Variability of Near-Surface Aerosol Composition in Moscow in 2020–2021: Episodes of Extreme Air Pollution of Different Genesis // Atmosphere. 2022(b). V. 13. № 4. P. 574–599. https://doi.org/10.3390/atmos13040574
- Gubanova D.P., Vinogradova A.A., Sadovskaya N.V. Brochosomes and Other Bioaerosols in the Surface Layer of the Atmosphere of Moscow Metropolis // Atmosphere 2023. V. 14. P. 504–519. https://doi.org/10.3390/atmos14030504
- http://rp5.ru.
- http://www.windy.com/ru.
- https://english.mee.gov.cn/Resources/standards/Air_Environment/quality_standard1/201605/t20160511_337502. shtml.
- https://mosecom.mos.ru/stations.
- https://weatherarchive.ru/Pogoda/Moscow.
- https://www.eea.europa.eu/themes/air/air-quality-concentrations/air-quality-standards.
- https://www.mee.gov.cn/ywgz/fgbz/bz/bzwb/jcffbz/201203/ t20120302_224166.shtml.
- https://www.ready.noaa.gov/HYSPLIT.php.
- Kasimov N.S., Vlasov D.V., Kosheleva N.E. Enrichment of road dust particles and adjacent environments with metals and metalloids in eastern Moscow // Urban Climate. 2020. V. 32. 100638. https://doi.org/10.1016/j.uclim.2020.100638
- Lokoshchenko M.A., Alekseeva L.I. Influence of Meteorological Parameters on the Urban Heat Island in Moscow // Atmosphere. 2023. V. 14, 507. https://doi.org/10.3390/atmos14030507
- Rasmussen P.E. Long-range atmospheric transport of trace metals: the need for geoscience perspectives // Environ. Geology. 1998. V. 33. №. 2/3. P. 96–108.
- Revich B.A., Avaliani S.L., Simons G.J. Air pollution and public health in a megalopolis: a case study of Moscow // Ekonomika regiona [Economy of Region]. 2016. V. 12. № 4. P. 1069–1078.
- Ruckstuhl A.F., Henne S., Reimann S., Steinbacher M., Vollmer M.K., O’Doherty S., Buchmann B., and Hueglin C. Robust extraction of baseline signal of atmospheric trace species using local regression // Atmos. Meas. Tech. 2012. V. 5. 2613–2624. https://doi.org/10.17059/2016-4-9
- Rudnick R.L., Gao S. Composition of the Continental Crust // Treatise Geochem. 2003. V. 3. P. 1–64. https://doi.org/10.1016/B978-0-08-095975-7.00301-6
- Salvador P., Artíñano B., Pio C., Afonso J., Legrand M., Puxbaum H., Hammer S. Evaluation of aerosol sources at European high altitude background sites with trajectory statistical methods // Atmos. Environ. 2010. V. 44. P. 2316–2329.
- Seinfeld J.H., Pandis S.N. Atmospheric chemistry and physics: from air pollution to climate change, 2nd Edition. N.Y.: Wiley, USA, 2006. 1232 p.
- Sokhi R.S. et al. (97 authors). A global observational analysis to understand changes in air quality during exceptionally low anthropogenic emission conditions // Environ. Intern. 2021. V. 157. № 12. P. 106818. https://doi.org/10.1016/j.envint.2021.106818
- Stein A.F., Draxler R.R., Rolph G.D., Stunder B.J.B., Cohen M.D., Ngan F. NOAA’s HYSPLIT atmospheric transport and dispersion modeling system // Bull. Amer. Meteor. Soc. 2015. V. 96. P. 2059–2077. https://doi.org/10.1175/BAMS-D-14-00110.1
- Transforming our World: the 2030 Agenda for Sustainable Development. N.Y.: United Nations. 2015. 35 p.
- U.S. Environmental Protection Agency. National Ambient Air Quality Standards for Particulate Matter; Final rule. Federal Register. 2006. V. 71. 94 p.
- Vlasov D., Kosheleva N., Kasimov N. Spatial distribution and sources of potentially toxic elements in road dust and its PM10 fraction of Moscow megacity // Science of the total environment. 2021(b). V. 761. 143267. https://doi.org/10.1016/j.scitotenv.2020.143267
- Vlasov D.V., Eremina I.D., Shinkareva G.L., Chubarova N.E., Kasimov N.S. Daily variations in wet deposition and washout rates of potentially toxic elements in Moscow during spring season // Geography, Environment Sustainability. 2021(a). V. 14. № 1. P. 219–233.https://doi.org/10.24057/2071-9388-2020-162
- WHO global air quality guidelines: particulate matter (PM2.5 and PM10), ozone, nitrogen dioxide, sulfur dioxide and carbon monoxide. World Health Organization. 2021. https://apps.who.int/iris/handle/10665/345329.
- Zhang H., You S., Zhang M., Liu D., Wang X., Ren J., Yu C. The Impact of Atmospheric Pollutants on Human Health and Economic Loss Assessment // Atmosphere. 2021. V. 12. 1628. https://doi.org/10.3390/atmos12121628
Supplementary files












