Natural sinks and sources of CO2 and CH4 in the atmosphere of Russian regions and their contribution to climate change in the 21st century evaluated with CMIP6 model ensemble
- Authors: Denisov S.N.1, Eliseev A.V.1,2,3, Mokhov I.I.1,2,4
-
Affiliations:
- Obukhov Institute of Atmospheric Physics, Russian Academy of Sciences
- Lomonosov Moscow State University
- Kazan Federal University
- Moscow Institute of Physics and Technology
- Issue: Vol 60, No 2 (2024)
- Pages: 157–172
- Section: Articles
- URL: https://medbiosci.ru/0002-3515/article/view/265553
- DOI: https://doi.org/10.31857/S0002351524020039
- EDN: https://elibrary.ru/KQVVIQ
- ID: 265553
Cite item
Full Text
Abstract
The natural fluxes of CO2 and CH4 into the atmosphere from the territory of Russia in the 21st century have been analyzed using the results of calculations with the ensemble of global climate models of the international project CMIP6. Estimates of natural CO2 fluxes in Russian regions differ greatly for different models. Their values for the beginning of the 21st century range from –1 to 1 GtC/yr. In the 21st century the differences in model estimates of fluxes grow and at the end of the 21st century in the scenario with the largest anthropogenic impacts SSP5-8.5 range from –2.5 to 2.5 GtC/year. Estimates of natural methane emissions to the atmosphere from the territory of Russia also differ greatly for different models. Modern methane emissions are estimated in the range from 10 to 35 MtCH4/yr, with an increase in the 21st century of up to 300%. Ensemble model calculations show general trends for changes in natural greenhouse gas fluxes. Most CMIP6 ensemble models are characterized by a maximum of CO2 uptake by terrestrial ecosystems and its further reduction by the end of the 21st century, while natural methane emissions to the atmosphere for all models and scenarios of anthropogenic impacts grow throughout the 21st century. The cumulative temperature potential of natural CO2 fluxes on the territory of Russia in the 21st century is estimated, depending on the scenario of anthropogenic impacts, from –0.3 to 0.1 K, and the warming-accelerating impact of natural CH4 emissions is estimated in the range of 0.03-0.09 K.
Full Text
Введение
Концентрация углекислого газа в земной атмосфере увеличилась в полтора раза с начала индустриальной эпохи – от уровня около 280 ppm [Joos, Spahni, 2008] до уровня около 420 ppm к 2023 г. [https://gml.noaa.gov/ccgg/trends/global.html]. Первоначально антропогенный рост содержания CO2 в атмосфере был вызван главным образом выбросами углерода в атмосферу в результате вырубки лесов и других видов деятельности, связанных с землепользованием. А с середины XX в. доминирующим фактором стали антропогенные выбросы в атмосферу, связанные с использованием ископаемого топлива и производством цемента, и их относительная доля продолжает расти вплоть до настоящего времени. Антропогенные выбросы происходят на фоне природного углеродного обмена, в котором углерод циркулирует между резервуарами атмосферы, океана, биосферы и почвы в масштабах от внутрисуточных до тысячелетних и более [Archer et al., 2009].
Согласно прогностическим оценкам, концентрация CO2 в атмосфере к 2100 г. может достигнуть уровня от 795 до 1145 ppm при сценарии антропогенных эмиссий CO2 RCP 8.5. Диапазон неопределенности связан с изменчивостью наземного углеродного обмена и неопределенностью в обратной связи углеродный цикл–климат [Friedlingstein et al., 2014]. Необходимо более точное понимание отклика наземной экосистемы на изменение климата для уточнения подобных количественных оценок. Это особенно актуально в связи с Парижским соглашением (2015 г.) Рамочной конвенции ООН об изменении климата, касающегося проблем уменьшения выбросов парниковых газов и соответствующей адаптации [Метан и климатические изменения…, 2022; Мохов, 2022].
Углеродный баланс в российских регионах с большой протяженностью лесов, торфяных и водно-болотных угодий и значительными почвенными запасами углерода играет важную роль в глобальном углеродном цикле. Большая часть территории России находится в зоне вечной мерзлоты. В этих регионах при низкой температуре подавляется микробное разложение углерода, в то время как его сток из атмосферы через фотосинтез может оставаться на высоком уровне в течение весенних и летних сезонов. Поэтому за последние тысячелетия в озерных отложениях и в болотных, лесных и тундровых почвах этих регионов накопились большие запасы углерода, которые могут дестабилизироваться при дальнейшем потеплении.
По современным оценкам рост суммарного поглощения CO2 на суше связан главным образом с Северным полушарием [Ciais et al., 2019], и наибольший вклад вероятно вносят бореальные и умеренные леса [Tagesson et al., 2020]. Повышение температуры и удлинение вегетационного периода в результате климатических изменений должно способствовать усилению биосферной активности в высоких широтах [Lucht et al., 2002; Chen et al., 2006]. При этом усиление “дыхания почвы” и рост эмиссий метана в атмосферу могут компенсировать рост потока углерода из атмосферы, связанный с фотосинтезом [Piao et al., 2008; Parmentier et al., 2011].
В [Денисов и др., 2019] были получены оценки изменений природных потоков CO2 и CH4 в атмосферу с территории России в XXI в. и их возможного вклада в изменения климата с использованием модели Земной системы Института физики атмосферы им. А.М. Обухова РАН (МЗС ИФА РАН). Было показано, что поглощение CO2 наземными экосистемами России при всех рассмотренных сценариях антропогенного воздействия достигает максимума к середине XXI в., а далее сокращается. В то же время природные эмиссии метана в атмосферу растут на протяжении всего XXI в., и их вклад в повышение глобальной температуры атмосферы может превысить эффект от поглощения CO2 естественными экосистемами, так что суммарный эффект естественных потоков этих газов к концу XXI в. может ускорять потепление. При этом как потоки метана [Melton et al., 2013; Saunois et al., 2020], так и углекислого газа [Friedlingstein et al., 2022] обладают высокой изменчивостью, и их оценки по расчетам с разными моделями сильно различаются даже для современного периода.
В данной работе представлены количественные оценки антропогенных и естественных потоков углекислого газа и метана для наземных экосистем России в XXI в. при разных сценариях антропогенных воздействий и их вклада в глобальное потепление с использованием результатов расчетов с ансамблем моделей земной системы.
Используемые данные и методы анализа
В представленной работе анализ естественных потоков CO2 и CH4 в атмосферу с территории России в XXI в. проводился с использованием результатов расчетов с ансамблем глобальных климатических моделей международного проекта CMIP6 [Eyring et al., 2016]. На основе расчетов с предшествующим поколением моделей в рамках проекта CMIP5 [Taylor et al., 2012] были доступны результаты расчетов потоков CO2 только для нескольких моделей, а результаты расчетов природных эмиссий метана отсутствовали. По расчетам с семейством моделей CMIP6 доступны модельные оценки потоков CO2 уже для десятков моделей, и для нескольких моделей доступны оценки потоков CH4.
При анализе рассматривались результаты модельных расчетов при 4-х сценариях антропогенных воздействий семейства SSP [Riahi et al., 2017] в XXI в.: SSP1-2.6, SSP2-4.5, SSP3-7.0 и SSP5-8.5. При этом анализировались только результаты модельных расчетов, доступные для периода 1990–2100 гг. (для 1990–2015 гг. рассматривались потоки, рассчитанные при сценарии “historical”). Информация о моделях, расчеты с которыми использовались при анализе, приведена в табл. 1, 2. Нужно отметить, что некоторые модели представлены в нескольких версиях. Отличия разных модельных версий связаны с различным пространственным разрешением (EC-Earth3-Veg, NorESM2) или со включением блока атмосферной химии. Далее показано, что эти различия мало влияют на полученные результаты. Кроме того, в моделях CMCC, NorESM и TaiESM1 для расчета потоков парниковых газов используются более ранние версии блока наземных процессов CLM, разработанного для модели CESM.
Таблица 1. Информация о модельных расчетах, использовавшихся при анализе потоков CO2
Модель | Институт | Наземный блок | Разрешение (широта × долгота) | Сценарии SSP | |||
1–2.6 | 2–4.5 | 3–7.0 | 5–8.5 | ||||
ACCESS-ESM1-5 | CSIRO, Австралия | CABLE 2.4 | 145 × 192 | 40 | 40 | 40 | 40 |
BCC-CSM2-MR | BCC, Китай | BCC-AVIM2 | 160 × 320 | 1 | 1 | 1 | 1 |
CanESM5 | CCCma, Канада | CLASS 3.6/CTEM 1.2 | 64 × 128 | 50 | 50 | 50 | 50 |
CESM2 | NCAR, США | CLM 5 | 192 × 288 | 3 | 3 | 3 | 3 |
CESM2-WACCM | 192 × 288 | 1 | 3 | 1 | 3 | ||
CMCC-ESM2 | CMCC, Италия | CLM 4.5 | 192 × 288 | 1 | 1 | 1 | 1 |
CMCC-CM2-SR5 | 192 × 288 | 1 | 1 | 1 | 1 | ||
CNRM-ESM2-1 | CNRM, Франция | Surfex 8.0c | 128 × 256 | 5 | 10 | 5 | 5 |
EC-Earth3-Veg | Ec-Earth-Consortium | LPJ-GUESS | 256 × 512 | 7 | 8 | 5 | 6 |
EC-Earth3-Veg-LR | 160 × 320 | 3 | 3 | 3 | 3 | ||
EC-Earth3-CC | 256 × 512 | – | 1 | – | 1 | ||
GFDL-ESM4 | NOAA-GFDL, США | GFDL-LM4.1 | 180 × 288 | 1 | – | – | – |
IPSL-CM5A-INCA | IPSL, Франция | ORCHIDEE | 96 × 96 | 1 | – | 1 | – |
IPSL-CM6A-LR | 143 × 144 | 6 | 11 | 11 | 6 | ||
MPI-ESM1-2-LR | MPI-M, Германия | JSBACH 3.20 | 96 × 192 | 10 | 10 | 10 | 10 |
MRI-ESM2-0 | MRI, Япония | HAL 1.0 | 160 × 320 | – | – | – | 1 |
NorESM2-LM | NCC, Норвегия | CLM | 96 × 144 | 1 | 3 | 1 | 1 |
NorESM2-MM | 192 × 288 | 1 | 2 | 1 | 1 | ||
TaiESM1 | AS-RCEC, Тайвань | CLM 4.0 | 192 × 288 | 1 | 1 | 1 | 1 |
Таблица 2. Информация о модельных расчетах, использовавшихся при анализе потоков CH4
Модель | Институт | Наземный блок | Разрешение | Сценарии SSP | |||
1–2.6 | 2–4.5 | 3–7.0 | 5–8.5 | ||||
CESM2 | NCAR, США | CLM 5 | 192 × 288 | 3 | 3 | 3 | 3 |
CESM2-WACCM | 192 × 288 | 1 | 3 | 1 | 3 | ||
NorESM2-LM | NCC, Норвегия | CLM | 96 × 144 | 1 | 3 | 1 | 1 |
NorESM2-MM | 192 × 288 | 1 | 2 | 1 | 1 | ||
UKESM1-0-LL | MOHC, Великобритания | JULES-ES-1.0 | 144 × 192 | 16 | 5 | 16 | 5 |
В табл. 1, 2 приведена информация о количестве численных модельных расчетов при разных начальных условиях для каждого сценария SSP. В данной работе при анализе использовались средние значения потоков по всем модельным вариантам расчетов для каждого сценария.
В данной работе анализировались данные, доступные на сайте (https://esgf-node.llnl.gov/projects/cmip6/), в том числе для определения естественных потоков CO2 и CH4 – переменные “NEP” (net ecosystem production) и “wetlandCH4”. При этом данные NEP для моделей CESM2, CESM2-WACCM и IPSL-CM5A-INCA, судя по всему, представлены с противоположным знаком (эмиссии, а не поглощение CO2), поэтому при анализе в данной работе эти данные использовались с обратным знаком.
Для сравнения были проведены расчеты с МЗС ИФА РАН [Мохов и др., 2002, 2005; Мохов, Елисеев, 2012]. МЗС ИФА РАН относится к классу глобальных климатических моделей промежуточной сложности [Claussen et al., 2002; Petoukhov et al., 2005; Eby et al., 2013; Zickfeld et al., 2013; MacDougall et al., 2020]. Крупномасштабная динамика атмосферы и океана в ней описывается явно, а синоптические процессы параметризованы, что позволяет существенно увеличить скорость расчетов. Модель содержит блок углеродного цикла, включая цикл метана, учитывающий эмиссии в атмосферу и поглощение углекислого газа и метана разными природными экосистемами [Мохов и др., 2006; Елисеев и др. 2008; Mokhov et al., 2008; Денисов и др., 2015].
Численные расчеты проводились с версией МЗС ИФА РАН с 40 и 60 модельными ячейками по широте и долготе и шагом интегрирования 5 сут. С использованием МЗС ИФА РАН проведены численные расчеты для периода 1850–2100 гг. при разных сценариях антропогенных воздействий. Учитывались изменения содержания парниковых газов, тропосферных и стратосферных вулканических сульфатных аэрозолей в атмосфере, изменение суммарной солнечной радиации на верхней границе атмосферы и изменения площадей сельскохозяйственных земель. Для периода 1850–2014 гг. эти воздействия задавались в соответствии со сценарием “historical” проекта CMIP6. Для периода 2015–2100 гг. антропогенные воздействия задавались в соответствии со сценариями семейства SSP.
Вклад естественных потоков CO2 и CH4 в атмосферу в российских регионах в глобальные изменения климата оценивался с помощью кумулятивного температурного потенциала CT аналогично [Денисов и др., 2019, 2022]. Суммарный климатический эффект источника парниковых газов может на временном горизонте [T0;TH] быть оценен как
, (1)
где E(t) – поток парникового газа за год t, а GTP(a)*(t,TH) – абсолютный потенциал изменения глобальной температуры, связанный с конкретным газом, на горизонте [t;TH], модифицированный с учетом изменения фоновых условий. Подробное описание модификации GTP и ее эффектов приведено в [Денисов и др., 2022]
Результаты
На рис. 1 показано среднее по ансамблю моделей CMIP6 поглощение CO2 наземными экосистемами Северной Евразии с межмодельными стандартными отклонениями для периода 1990–2014 гг. В среднем за год естественное поглощение CO2 из атмосферы превосходит эмиссии в атмосферу на большей части территории России с характерными значениями 20–40 гС/м2/год, что согласуется с оценками [Friedlingstein et al., 2022]. При этом поглощение CO2 имеет выраженный зональный характер, а его максимумы достигаются на европейской территории России в полосе 50˚–60˚ с.ш. Практически для всей территории России стандартное отклонение этих оценок значительно превышает сами значения поглощения CO2 с характерными значениями 40–70 гС/м2/год.
Рис. 1. Среднее по ансамблю моделей CMIP6 поглощение CO2 (NEP) наземными экосистемами Северной Евразии [гС/м2/год] (сверху) и стандартное отклонение этих оценок (снизу).
На рис. 2 показаны среднегодовые суммарные естественные потоки CO2 из наземных экосистем в атмосферу на территории России (так называемая net ecosystem production, NEP). Отрицательные значения на графиках соответствуют поглощению CO2 из атмосферы. В связи с высокой изменчивостью потоков результаты расчетов с МЗС ИФА РАН представлены с 9-летним скользящим осреднением.
Рис. 2. Естественные стоки CO2 из атмосферы в российских регионах по расчетам с ансамблем моделей (средние значения и стандартное отклонение) в сопоставлении с потоками CO2 по расчетам с МЗС ИФА РАН (зеленая линия) и антропогенными эмиссиями в атмосферу (пунктир) при различных сценариях антропогенных воздействий для XXI в.
Оценки суммарных среднегодовых природных потоков CO2 для территории суши России сильно различаются для разных моделей. Их современные значения (для начала XXI в., до 2014 г., в соответствии со сценарием “historical”) находятся в пределах от –1 до 1 ГтС/год. При этом для большинства моделей (исключая модели BCC, IPSL, CNRM и MRI) диапазон современных значений потоков CO2 гораздо уже: от –0.5 до –0.2 ГтС/год. В XXI в. расхождение в модельных оценках потоков растет. Наибольший диапазон оценок от –2.5 до 2.5 ГтС/год достигается в конце XXI в. при сценарии с наибольшими антропогенными воздействиями SSP5-8.5. Указанные ранее модели дают диапазон оценок от –1 до –0.2 ГтС/год на протяжении всего XXI в. (исключая модель CanESM5 при более агрессивных антропогенных сценариях).
В [Dolman et al., 2012] приведены оценки поглощения углерода из атмосферы наземными экосистемами России с использованием различных методов. Оценки на основе динамических моделей процессов в наземных экосистемах (аналогичных блокам моделей CMIP6) показывали средние значения около 0.2 ГтC/год и высокое межмодельное расхождение в 100% от этой величины. С использованием других методов оценки поглощения CO2 в российских регионах существенно больше: 0.6–0.8 ГтC/год [Gurney et al., 2003; Dolman et al., 2012; Ciais et al., 2010]. Согласно Национальному докладу о кадастре антропогенных выбросов из источников и абсорбции поглотителями парниковых газов, не регулируемых Монреальским протоколом за 1990–2020 гг., поглощение CO2 в России в секторе ЗИЗЛХ (землепользование, изменения в землепользовании и лесное хозяйство) в последние десятилетия составляло 0.15–0.2 ГтC/год.
Для сравнения на рис. 2 приведены оценки потоков CO2 по расчетам с МЗС ИФА РАН и антропогенные эмиссии CO2 с территории России по соответствующим сценариям. В [Денисов и др., 2019, 2022] антропогенные эмиссии с территории России рассчитывались в соответствии со сценариями семейства RCP [Moss et al., 2010] для региона REF (страны Восточной Европы и бывшего СССР) с нормировкой на современные значения для России. Для сценариев семейства SSP доступны значения антропогенных эмиссий для отдельных стран, в том числе для России.
Оценки естественных потоков CO2 с использованием МЗС ИФА РАН соответствуют диапазону оценок с использованием моделей ансамбля CMIP6 на всем протяжении XXI в. при всех анализировавшихся сценариях антропогенных воздействий. Если исключить модель ВСС, оценки МЗС ИФА РАН немного выходят из диапазона оценок большинства рассматриваемых моделей ансамбля CMIP6 только при сценарии SSP1-2.6 в конце XXI в. Тенденция к сокращению поглощения углекислого газа наземными экосистемами к концу XXI в., полученная по расчетам с МЗС ИФА РАН, характерна и для многих других моделей CMIP6. При этом чем выше антропогенные эмиссии парниковых газов в атмосферу, тем позже достигается максимум поглощения CO2 и начинается его сокращение.
Антропогенные эмиссии CO2 в атмосферу с территории России сопоставимы с естественными потоками из атмосферы и могут в значительной мере компенсироваться ими. Даже при наиболее неблагоприятных сценариях значения эмиссии остаются в пределах от 0.5 до 1 ГтС/год. Стоит отметить, что сценарию RCP 8.5 соответствовали значительно более высокие (до 2–2.5 ГтС/год) значения антропогенной эмиссии CO2 с территории России, чем сценарию SSP5-8.5, при одинаковых значениях глобального радиационного форсинга к концу XXI в. (8.5 Вт/м2) [Денисов и др., 2019].
Как можно видеть, модель BCC отличается от остальных моделей проекта CMIP6 положительными значениями природного потока CO2 в атмосферу. При этом по модулю ее отличие от среднеансамблевых значений приблизительно соответствует моделям с наибольшими значениями поглощения CO2 (CNRM, GFDL, IPSL).
Накопление углерода в наземных экосистемах, отраженное в NEP, определяется балансом интенсивностей GPP, автотрофного и гетеротрофного дыхания и эмиссий от пожаров:
NEP = GPP – Ra – Rg – Ffire. (2)
Каждый компонент в моделях определяется нелинейными зависимостями от множества параметров и по модулю может превышать балансовое значение NEP. С этим связана высокая межгодовая изменчивость значений потоков CO2. Для понимания различий между моделями представляет интерес рассмотрение данных на меньшем временном масштабе.
На рис. 3 представлен годовой ход поглощения CO2 наземными экосистемами России в целом по расчетам с моделями ансамбля CMIP6 для современного периода (2010–2014 гг.). В среднем по ансамблю поглощение CO2 происходит с мая по сентябрь со значениями до 0.5 ГтС/мес., а в остальные месяцы идут эмиссии CO2 из наземных экосистем с интенсивностью до 0.3 ГтС/мес. Для отдельных моделей диапазон общих потоков CO2 составляет от –0.5 до 1.1 ГтС/мес. Для большинства моделей максимум поглощения CO2 достигается в июле, а максимум эмиссии CO2 в атмосферу в октябре–ноябре. При этом в моделях ВСС, CMCC, EC-Earth3 максимум поглощения достигается раньше, а в CanESM5 – позже.
Рис. 3. Годовой ход поглощения CO2 наземными экосистемами России [ГтС/мес.] по модельным расчетам для современного периода (2010–2014 гг.).
Наибольшие отличия от средних по ансамблю изменений природных потоков CO2 в годовом ходе для российских регионов отмечены для моделей ВСС и EC-Earth3. Максимум поглощения в них достигается в мае–июне, а переход от поглощения к эмиссии в атмосферу происходит уже в июле–августе. Нужно отметить, что в отдельные годы потоки CO2 по расчетам с моделью BCC могут мало отличаться от других моделей и показывать суммарное естественное поглощение CO2 в российских регионах. При этом, хотя по среднегодовым значениям естественных потоков CO2 модель EC-Earth3 не выделяется на фоне большинства других моделей CMIP6, по особенностям годового хода естественных потоков CO2 она подобна модели BCC.
На рис. 4 представлены результаты расчетов современных летних значений естественных потоков CO2 в среднем по ансамблю моделей CMIP6 и отдельно по расчетам с моделями ВСС и EC-Earth3. В среднем по расчетам с ансамблем моделей максимальное поглощение CO2 природными экосистемами отмечено для западной и центральной частей европейской территории России. Пространственное распределение потоков CO2 в модели EC-Earth3 похоже на среднеансамблевое, но характерные значения потоков на всей территории России вдвое меньше. По расчетам с моделью BCC в летний период с большей части территории России происходит выделение CO2 в атмосферу. Поглощение отмечается только в северной и западной частях Европейской территории, в Приморском крае и на Камчатке. Максимальных значений выделение CO2 в атмосферу достигает в южной части Сибири, при этом наибольшие аномалии по сравнению со среднеансамблевыми оценками отмечены для ЕТР.
Рис. 4. Среднее современное поглощение CO2 [кгС/м2/год] на территории суши России в летний период по расчетам с моделями CMIP6 (вверху), отдельно по расчетам с моделями ВСС и EC-Earth3 (средний ряд) и их разница с ансамблевым средним (нижний ряд).
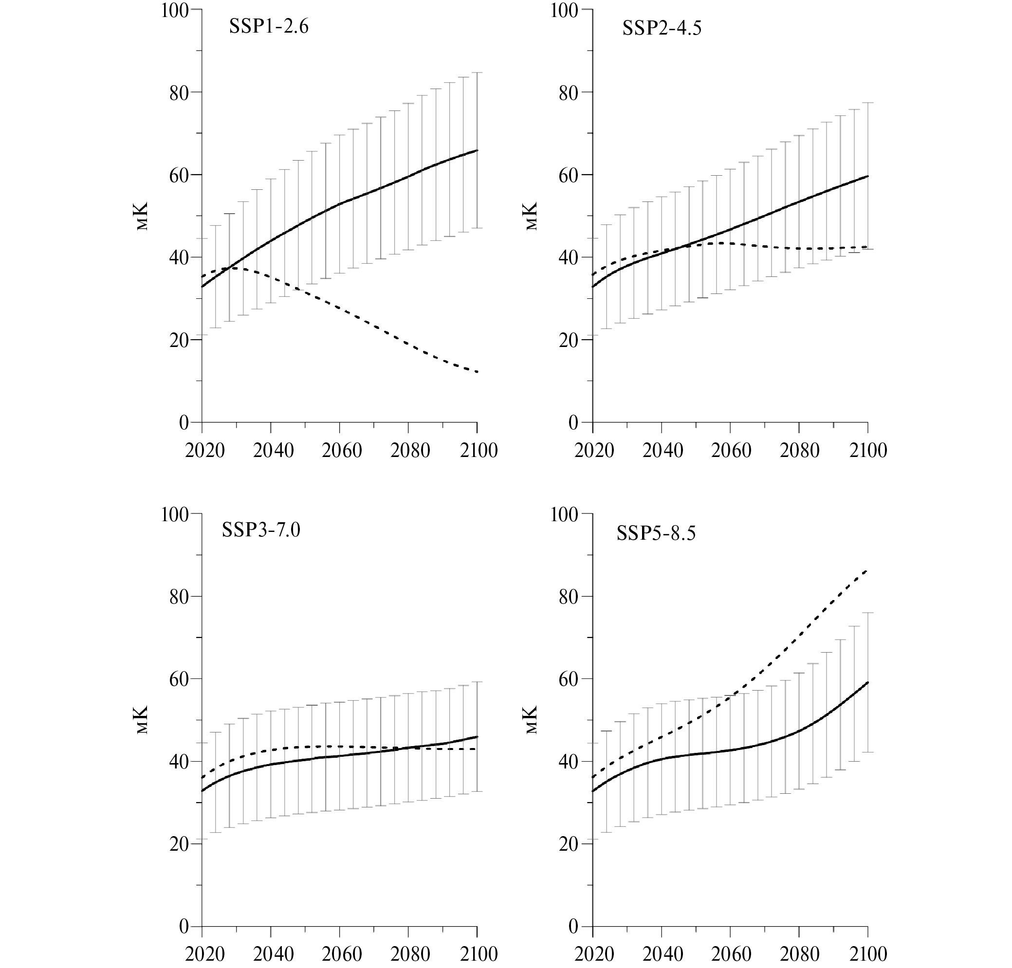
Кумулятивный температурный потенциал естественных потоков CO2 на территории России c 1990 г. к концу XXI в. по оценкам на основе расчетов с моделями CMIP6 в зависимости от сценария антропогенных воздействий оценен в диапазоне от –0.3 до 0.1 К. Его среднее по ансамблю моделей значение составляет около –0.1 К при сценарии SSP1-2.6 и около –0.06 К при других сценариях (рис. 5). Как и в случае с потоками CO2, диапазон оценок кумулятивного температурного потенциала сокращается, если выделить основную группу моделей. Отмеченная ранее для МЗС ИФА РАН тенденция к замедлению роста и даже к ослаблению стабилизирующего вклада в глобальные климатические изменения наземных экосистем российских регионов в XXI в. [Денисов и др., 2019] отмечается и для большинства моделей CMIP6 при сценариях с сильными антропогенными воздействиями даже без учета вклада естественных эмиссий метана.
Рис. 5. Кумулятивный температурный потенциал естественных потоков CO2 [мК] на территории России с 1990 г. по расчетам с ансамблем моделей (средние значения и стандартное отклонение) и антропогенных потоков (пунктир) при различных сценариях антропогенных воздействий.
Оценки естественных эмиссий метана с территории России, как и оценки для естественных потоков CO2, сильно различаются для разных моделей CMIP6. Современные эмиссии метана (рис. 6) составляют от 10 до 35 МтCH4/год. Оценки с использованием МЗС ИФА РАН наиболее близки к оценкам модели UKESM. Естественные эмиссии метана в атмосферу с территории России сопоставимы по величине с антропогенными эмиссиями и для всех рассмотренных моделей при всех сценариях антропогенных воздействий возрастают к концу XXI в. Согласно полученным оценкам, рост природных эмиссий метана в атмосферу в XXI в. зависит от модели и сценария и достигает 300%. Подобное расхождение результатов модельных расчетов для природной эмиссии в атмосферу метана было получено ранее в рамках проекта WETCHIMP (The Wetland and Wetland CH4 Intercomparison of Models Project) [Melton et al., 2013; Bohn et al., 2015]. Согласно результатам проекта, в моделях сильно различаются оценки площади болот и соответствующих эмиссий в атмосферу CH4, даже в согласованных численных экспериментах с заданием состояния атмосферы по данным наблюдений в качестве внешнего воздействия.
Рис. 6. Потоки CH4 в атмосферу с территории России (средние по ансамблю значения и стандартное отклонение) и антропогенные эмисси (пунктир) при различных сценариях антропогенных воздействий.
Кумулятивный температурный потенциал естественных эмиссий в атмосферу CH4 c территории России c 1990 г. к концу XXI в. по оценкам на основе расчетов с моделями CMIP6 составит, в зависимости от сценария антропогенных воздействий, от 0.03 до 0.09 К (рис. 7). Это воздействие, ускоряющее потепление климата, сопоставимо по величине со стабилизирующим воздействием природных стоков из атмосферы CO2. При этом тенденций к его замедлению или сокращению к концу XXI в. по модельным расчетам не отмечено.
Рис. 7. Кумулятивный температурный потенциал естественных потоков CH4 [мК] в атмосферу с территории России с 1990 г. по расчетам с ансамблем моделей (средние значения и стандартное отклонение) и антропогенных потоков (пунктир) при различных сценариях антропогенных воздействий.
Заключение
Представлены модельные оценки потоков CH4 и CO2, связанных с природными экосистемами российских регионов, в сопоставлении с антропогенными эмиссиями парниковых газов при разных сценариях семейства SSP для XXI в. Согласно полученным результатам, различия потоков парниковых газов по оценкам с использованием различных современных моделей остаются достаточно большими. Для России в целом диапазон оценок как потоков CH4, так и CO2 превышает 100% от средних значений даже для современного периода. При этом проявляются общие тенденции для изменений этих потоков. Так, естественные эмиссии метана в атмосферу для всех моделей и сценариев антропогенных воздействий растут на протяжении всего XXI в. Достижение максимума поглощения CO2 в XXI в. и его дальнейшее сокращение к концу века, выявленное ранее по расчетам с МЗС ИФА РАН [Денисов и др., 2019], свойственно для большинства моделей ансамбля CMIP6.
Современные антропогенные эмиссии CO2 с территории России сопоставимы по модулю с естественным поглощением наземными экосистемами и могут в значительной мере компенсироваться. В сценариях семейства SSP оценки возможных в будущем антропогенных эмиссий CO2 для России значительно сократились по сравнению с предыдущим поколением сценариев семейства RCP. Поэтому по сравнению с [Денисов и др., 2019] поглощение CO2 наземными экосистемами России в российских регионах по оценкам на основе расчетов со многими моделями может компенсировать антропогенные выбросы с территории России в XXI в. при сценарии SSP2-4.5, а в отдельных случаях и при сценарии SSP3-7.0
Данная работа выполнена в рамках проекта РНФ № 19-17-00240 с использованием результатов, полученных в рамках соглашения № 075-15-2021-577 Министерства науки и высшего образования РФ с ИФА им. А.М. Обухова РАН и в рамках проекта РНФ № 23-47-00104.
About the authors
S. N. Denisov
Obukhov Institute of Atmospheric Physics, Russian Academy of Sciences
Author for correspondence.
Email: denisov@ifaran.ru
Russian Federation, 119017, Moscow, Pyzhevsky per., 3
A. V. Eliseev
Obukhov Institute of Atmospheric Physics, Russian Academy of Sciences; Lomonosov Moscow State University; Kazan Federal University
Email: denisov@ifaran.ru
Russian Federation, 119017, Moscow, Pyzhevsky per., 3; 199991, Moscow, Leninskie Gory, 1-2, GSP-1; 420008, Kazan, Kremlevskaya, 18
I. I. Mokhov
Obukhov Institute of Atmospheric Physics, Russian Academy of Sciences; Lomonosov Moscow State University; Moscow Institute of Physics and Technology
Email: denisov@ifaran.ru
Russian Federation, 119017, Moscow, Pyzhevsky per., 3; 199991, Moscow, Leninskie Gory, 1-2, GSP-1; 141701, Dolgoprudny, Institutskiy per., 9
References
- Денисов C.Н., Елисеев А.В., Мохов И.И., Аржанов М.М. Модельные оценки глобальных и региональных эмиссий метана влажными экосистемами // Изв. РАН. Физика атмосферы и океана. 2015. Т. 51. № 5. С. 543–549.
- Денисов С.Н., Елисеев А.В., Мохов И.И. Вклад естественных и антропогенных эмиссий CO2 и CH4 в атмосферу с территории России в глобальные изменения климата в XXI веке // Доклады АН. 2019. Т. 488. № 1. С. 74–80.
- Денисов С.Н., Елисеев А.В., Мохов И.И. Модельные оценки вклада в глобальные изменения климата в XXI в. естественных и антропогенных эмиссий CO2 и CH4 в атмосферу с территории России, Китая, Канады и США // Метеорология и гидрология. 2022. № 10. С. 18–32.
- Елисеев А.В., Мохов И.И., Аржанов М.М., Демченко П.Ф., Денисов С.Н. Учет взаимодействия метанового цикла и процессов в болотных экосистемах в климатической модели промежуточной сложности // Изв. РАН. Физика атмосферы и океана. 2008. Т. 44. № 2. С. 147–162.
- Метан и климатические изменения: научные проблемы и технологические аспекты / Под ред. Бондура В.Г., Мохова И.И., Макоско А.А. М.: РАН, 2022. 388 с.
- Мохов И.И., Демченко П.Ф., Елисеев А.В., Хон В.Ч., Хворостьянов Д.В. Оценки глобальных и региональных изменений климата в XIX-XXI веках на основе модели ИФА РАН с учетом антропогенных воздействий // Изв. РАН. Физикa aтмocфepы и oкeaнa. 2002. Т. 38. № 5. С. 629–642.
- Мохов И.И., Елисеев А.В., Демченко П.Ф., Хон В.Ч., Акперов М.Г., Аржанов М.М., Карпенко А.А., Тихо- нов B.А., Чернокульский А.В., Сигаева Е.В. Климатические изменения и их оценки с использованием глобальной модели ИФА РАН // Доклады АН. 2005. Т. 402. № 2. С. 243–247.
- Мохов И.И., Елисеев А.В., Карпенко А.А. Чувствительность к антропогенным воздействиям глобальной климатической модели ИФА РАН с интерактивным углеродным циклом // Доклады АН. 2006. Т. 407. № 3. С. 400–404.
- Мохов И.И., Елисеев А.В. Моделирование глобальных климатических изменений в XX–XXIII веках при новых сценариях антропогенных воздействий RCP // Доклады АН. 2012. Т. 443. № 6. С. 732–736.
- Мохов И.И. Изменения климата: причины, риски, последствия, проблемы адаптации и регулирования // Вестник РАН. 2022. Т. 92. № 1. С. 3–14.
- Archer D., Eby M., Brovkin V., Ridgwell A., Cao L., Mikolajewicz U., Caldeira K., Matsumoto K., Munhoven G., Montenegro A., Tokos K. Atmospheric Lifetime of Fossil Fuel Carbon Dioxide // Annu. Rev. Earth Pl. Sci. 2009. V. 37. P. 117–134. https:/doi.org/10.1146/annurev.earth.031208.100206
- Chen Jing M., Chen B., Higuchi K., Liu J., Chan D., Worthy D., Tans P., and Black A. Boreal ecosystems sequestered more carbon in warmer years // Geophys. Res. Lett. 2006. V. 33. L10803. https:/doi.org/10.1029/2006GL025919
- Ciais P., Canadell J.G., Luyssaert S., Chevallier F., Shvidenko A., Poussi Z., Jonas M., Peylin P., King A.W., Schulze E.D., Piao S.L., Rodenbeck C., Peters W., Breon F.M. Can we reconcile atmospheric estimates of Northern terrestrial carbon sink with land-based accounting? // Curr. Opin. Environ. Sustain. 2010. V. 2. P. 225–230. https:/doi.org/10.1016/j.cosust.2010.06.008
- Ciais, P., Tan J., Wang X., Roedenbeck C., Chevallier F., Piao S.-L., Moriarty R., Broquet G., Le Quéré C., Canadell J.G., Peng S., Poulter B., Liu Z., and Tans P. Five decades of northern land carbon uptake revealed by the interhemispheric CO2 gradient // Nature. 2019. V. 568. № 7751. P. 221–225. https:/doi.org/10.1038/s41586-019-1078-6.
- Claussen M., Mysak L.A., Weaver A.J., Crucifix M., Fichefet T., Loutre M.-F., Weber S. L., Alcamo J., Alexeev V.A., Berger A., Calov R., Ganopolski A., Goosse H., Lohmann G., Lunkeit F., Mokhov I.I., Petoukhov V., Stone P., Wang Z. Earth system models of intermediate complexity: closing the gap in the spectrum of climate system models // Clim. Dyn. 2002. V. 18. P. 579–586.
- Dolman A.J., Shvidenko A., Schepaschenko D., Ciais P., Tchebakova N., Chen T., van der Molen M. K., Belelli Marchesini L., Maximov T. C., Maksyutov S., Schulze E.-D. An estimate of the terrestrial carbon budget of Russia using inventory-based, eddy covariance and inversion methods // Biogeosci. 2012. V. 9. P. 5323–5340.
- Eby M., Weaver A.J., Alexander K., Zickfeld K., Abe-Ouchi A., Cimatoribus A.A., Crespin E., Drijfhout S.S., Edwards N.R., Eliseev A.V., Feulner G., Fichefet T., Forest C.E., Goosse H., Holden P.B., Joos F., Kawamiya M., Kicklighter D., Kienert H., Matsumoto K., Mokhov I.I., Monier E., Olsen S.M., Pedersen J.O.P., Perrette M., Philippon-Berthier G., Ridgwell A., Schlosser A., Schneider von Deimling T., Shaffer G., Smith R.S., Spahni R., Sokolov A.P., Steinacher M., Tachiiri K., Tokos K., Yoshimori M., Zeng N., Zhao F. Historical and idealized climate model experiments: an intercomparison of Earth system models of intermediate complexity // Clim. Past. 2013. V. 9. P. 1111–1140. https:/doi.org/10.5194/cp-9-1111-2013
- Eyring V., Bony S., Meehl G.A., Senior C.A., Stevens B., Stouffer R.J., Taylor K.E. Overview of the Coupled Model Intercomparison Project Phase 6 (CMIP6) experimental design and organization // Geosci. Model Dev. 2016. V. 9. 1937–1958. https://doi.org/10.5194/gmd-9-1937-2016
- Friedlingstein P., Meinshausen M., Arora V.K., Jones C.D., Anav A., Liddicoat S.K., Knutti R. Uncertainties in CMIP5 Climate Projections due to Carbon Cycle Feedbacks // Journal of Climate. 2014. V. 27. № 2. P. 511–526.
- https://doi.org/10.1175/JCLI-D-12-00579.1
- Friedlingstein P., O’Sullivan M., Jones M.W., Andrew R.M., Gregor L., Hauck J., Le Quéré C., Luijkx I.T., Olsen A., Peters G.P., Peters W., Pongratz J., Schwingshackl C., Sitch S., Canadell J.G., Ciais P., Jackson R.B., Alin S.R., Alkama R., Arneth A., Arora V.K., Bates N.R., Becker M., Bellouin N., Bittig H.C., Bopp L., Chevallier F., Chini L.P., Cronin M., Evans W., Falk S., Feely R.A., Gasser T., Gehlen M., Gkritzalis T., Gloege L., Grassi G., Gruber N., Gürses Ö., Harris I., Hefner M., Houghton R.A., Hurtt G.C., Iida Y., Ilyina T., Jain A.K., Jersild A., Kadono K., Kato E., Kennedy D., Klein Goldewijk K., Knauer J., Korsbakken J.I., Landschützer P., Lefèvre N., Lindsay K., Liu J., Liu Z., Marland G., Mayot N., McGrath M.J., Metzl N., Mona- cci N.M., Munro D.R., Nakaoka S.-I., Niwa Y., O’Brien K., Ono T., Palmer P.I., Pan N., Pierrot D., Pocock K., Poulter B., Resplandy L., Robertson E., Rödenbeck C., Rodriguez C., Rosan T.M., Schwinger J., Séférian R., Shutler J.D., Skjelvan I., Steinhoff T., Sun Q., Sutton A.J., Sweeney C., Takao S., Tanhua T., Tans P.P., Tian X., Tian H., Tilbrook B., Tsujino H., Tubiello F., van der Werf G.R., Walker A.P., Wanninkhof R., Whitehead C., Willstrand Wranne A., Wright R., Yuan W., Yue C., Yue X., Zaehle S., Zeng J., Zheng B. Global Carbon Budget 2022 // Earth Syst. Sci. Data. 2022. V. 14. P. 4811–4900. https://doi.org/10.5194/essd-14-4811-2022
- Gurney K.R., Law R.M., Denning A.S., Rayner P.J., Baker D., Bousquet P., Bruhwilerk L., Chen Y.-H., Ciais P., Songmiao Fan S., Fung I.Y., Gloor M., Heimann M., Higuchi K., John J., Kowalczyck E., Maki T., Maksyutov S., Masariek K., Peylin P., Pratherkk M., Pak B.C., Randerson J., Sarmiento J., Taguchi S., Takahashi T., Yuen C.-W.TransCom 3 CO2 inversion intercomparison: 1. Annual mean control results and sensitivity to transport and prior flux information // Tellus B. 2003. V. 55. P. 555–579.
- Joos F., Spahni R. Rates of change in natural and anthropogenic radiative forcing over the past 20 000 years // P. Natl. Acad. Sci. USA. 2008. V. 105. P. 1425–1430. https://doi.org/10.1073/pnas.0707386105
- Lucht W., Prentice I.C., Myneni R.B., Sitch S., Friedlingstein P., Cramer W., Bousquet P., Buermann W., Smith B. Climatic control of the high-latitude vegetation greening trend and Pinatubo effect // Science. 2002. V. 296. P. 1687–1689.
- MacDougall A.H., Frölicher T.L., Jones C.D., Rogelj J., Matthews H.D., Zickfeld K., Arora V.K., Barrett N.J., Brovkin V., Burger F.A., Eby M., Eliseev A.V., Hajima T., Holden P.B., Jeltsch-Thömmes A., Koven C., Mengis N., Menviel L., Michou M., Mokhov I.I., Oka A., Schwinger J., Séférian R., Shaffer G., Sokolov A., Tachiiri K., Tjiputra J., Wiltshire A., Ziehn T. Is there warming in the pipeline? A multi-model analysis of the Zero Emissions Commitment from CO2 // Biogeosciences. 2020. V. 17. № 11. P. 2987–3016.
- Melton J.R., Wania R., Hodson E.L., Poulter B., Ringeval B., Spahni R., Bohn T., Avis C.A., Beerling D.J., Chen G.,Eliseev A.V., Denisov S.N., Hopcroft P.O., Lettenmaier D.P., Riley W.J., Singarayer J.S., Subin Z.M., Tian H., Zürcher S., Brovkin V., van Bodegom P.M., Kleinen T., Yu Z.C., Kaplan J.O. Present state of global wetland extent and wetland methane modelling: conclusions from a model intercomparison project (WETCHIMP) // Biogeosciences. 2013. V. 10. № 2. P. 753–788.
- Mokhov I.I., Eliseev A.V., Karpenko A.A. Decadal-to-centennial scale climate-carbon cycle interactions from global climate models simulations forced by anthropogenic emissions / In: “Climate Change Reseacrh Trends” (ed. Peretz L.N.). Hauppauge, NY: Nova Sci. Publ., 2008. P. 217–241.
- Moss R.H., Edmonds J.A., Hibbard K.A., Manning M.R., Rose S.K., van Vuuren D.P., Carter T.R., Emori S., Kainuma M., Kram T., Meehl G.A., Mitchell J.F.B., Nakicenovic N., Riahi K., Smith S.J., Stouffer R.J., Thomson A.M., Weyant J.P., Wilbanks T.J. The next generation of scenarios for climate change research and assessment // Nature. 2010. V. 463. № 7282. P. 747–756.
- Parmentier F.J.W., van der Molen M.K., van Huissteden J., Karsanaev S.J., Kononov A.A., Suzdalov D.A., Maximov T.C., Dolman A.J. Longer growing seasons do not increase net carbon uptake in the northeastern Siberian tundra // J. Geophys. Res. 2011. V. 116. G04013. https:/doi.org/10.1029/2011JG001653
- Petoukhov V., Claussen M., Berger A., Crucifix M., Eby M., Eliseev A.V., Fichefet T., Ganopolski A., Goosse H., Kamenkovich I., Mokhov I.I., Montoya M., Mysak L.A., Sokolov A., Stone P., Wang Z., Weaver A.J. EMIC Intercomparison Project (EMIP-CO2): Comparative analysis of EMIC simulations of current climate and equilibrium and transient responses to atmospheric CO2 doubling // Clim. Dyn. 2005. V. 25. № 4. P. 363–385.
- Piao S.L., Ciais P., Friedlingstein P., Peylin P., Reichstein M., Luyssaert S., Margolis H., Fang J., Barr A., Chen A., Grelle A., Hollinger D.Y., Laurila T., Lindroth A., Richardson A.D., Vesala T. Net carbon dioxide losses of northern ecosystems in response to autumn warming // Nature. 2008. V. 451. № 7174. P. 49–53.
- Riahi K., van Vuuren D.P., Kriegler E., Edmonds J., O’Neill B.C., Fujimori S., Bauer N., Calvin K., Dellink R., Fricko O., Lutz W., Popp A., Cuaresma J.C., Samir K.C., Leimbach M., Jiang L., Kram T., Rao S., Emmerling J., Ebi K., Hasegawa T., Havlik P., Humpenöder F., Da Sil- va L.A., Smith S., Stehfest E., Bosetti V., Eom J., Gernaat D., Masui T., Rogelj J., Strefler J., Drouet L., Krey V., Luderer G., Harmsen M., Takahashi K., Baumstark L., Doelman J.C., Kainuma M., Klimont Z., Marangoni G., Lotze-Campen H., Obersteiner M., Tabeau A., Tavoni M. The Shared Socioeconomic Pathways and their energy, land use, and greenhouse gas emissions implications: An overview // Global Environ. Change. 2017. V. 42. P. 153–168. https:/doi.org/10.1016/j.gloenvcha.2016.05.009
- Saunois M., Stavert A.R., Poulter B., Bousquet P., Canadell J.G.,Jackson R.B., Raymond P.A., Dlugokencky E.J., Houweling S., Patra P.K., Ciais P., Arora V.K., Bastviken D., Bergamaschi P., Blake D.R., Brailsford G., Bruhwiler L., Carlson K.M., Carrol M., Castaldi S., Chandra N., Crevoisier C., Crill P.M., Covey K., Curry C.L., Etiope G., Frankenberg C., Gedney N., Hegglin M.I., Höglund-Isaksson L., Hugelius G., Ishizawa M., Ito A., Janssens-Maenhout G., Jensen K.M., Joos F., Kleinen T., Krummel P.B., Langenfelds R.L., Laruelle G.G., Liu L., Machida T., Maksyutov S., McDonald K.C., McNorton J., Miller P.A., Melton J.R., Morino I., Müller J., Murguia-Flores F., Naik V., Niwa Y., Noce S., O’Doherty S., Parker R.J., Peng C., Peng S., Peters G.P., Prigent C., Prinn R., Ramonet M., Regnier P., Riley W.J., Rosentreter J.A., Segers A., Simpson I.J., Shi H., Smith S.J., Steele L.P., Thornton B.F., Tian H., Tohjima Y., Tubiello F.N., Tsuruta A., Viovy N., Voulgarakis A., Weber T.S., van Weele M., van der Werf G.R., Weiss R.F., Worthy D., Wunch D., Yin Y., Yoshida Y., Zhang W., Zhang Z., Zhao Y., Zheng B., Zhu Qing, Zhu Qiuan, Zhuang Q. The Global Methane Budget 2000–2017 // EarthSystem Science Data. 2020. V. 12. № 3. P. 1561–1623. https:/doi.org/10.5194/essd-12-1561-2020
- Tagesson T., Schurgers G., Horion S., Ciais P., Tian F., Brandt M., Ahlström A., Wigneron J.-P., Ardö J., Olin S., Fan L., Wu Z., Fensholt R. Recent divergence in the contributions of tropical and boreal forests to the terrestrial carbon sink // Nature Ecology & Evolution. 2020. V. 4. № 2. P. 202–209. https:/doi.org/10.1038/s41559-019-1090-0
- Taylor K.E., Stouffer R.J., Meehl G.A. An Overview of CMIP5 and the experiment design // Bull. Amer. Meteor. Soc. 2012. V. 93. № 4. P. 485–498. https:/doi.org/10.1175/BAMS-D-11-00094.1
- Zickfeld K., Eby M., Weaver A.J., Alexander K., Crespin E., Edwards N.R., Eliseev A.V., Feulner G., Fichefet T., Forest C.E., Friedlingstein P., Goosse H., Holden P.B., Joos F., Kawamiya M., Kicklighter D., Kienert H., Matsumoto K., Mokhov I.I., Monier E., Olsen S.M., Pedersen J.O.P., Perrette M., Philippon-Berthier G., Ridgwell A., Schlosser A., Schneider Von Deimling T., Shaffer G., Sokolov A., Spahni R., Steinacher M., Tachiiri K., Tokos K.S., Yoshimori M., Zeng N., Zhao F. Long-term climate change commitment and reversibility: An EMIC intercomparison // J. Climate. 2013. V. 26. № 16. P. 5782–5809.
Supplementary files










