New Value of Apsidal Motion Velocity and Physical Parameters of the Triple Eclipsing System AS Cam
- Authors: Volkov I.M.1
-
Affiliations:
- Lomonosov Moscow State University, Sternberg State Astronomical Institute
- Issue: Vol 100, No 4 (2023)
- Pages: 319-335
- Section: Articles
- URL: https://medbiosci.ru/0004-6299/article/view/139077
- DOI: https://doi.org/10.31857/S0004629923040059
- EDN: https://elibrary.ru/UMSWXN
- ID: 139077
Cite item
Full Text
Abstract
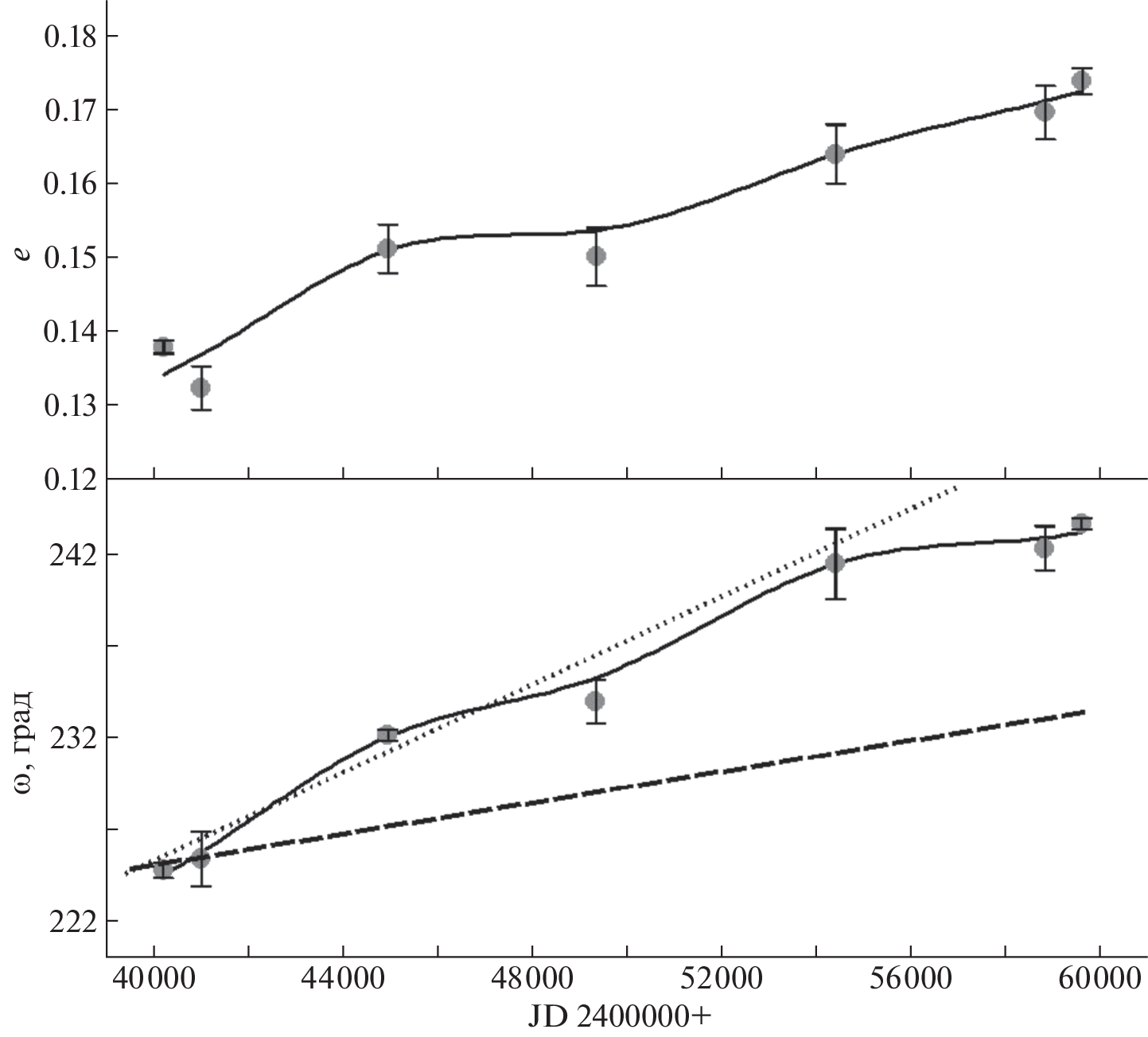
Applying a new approach to the measurement of the rate of apsidal motion in the system AS Cam (P=3.43d, V=8.58m, e=0.17, Sp B7.5 V+B9.0 V), we obtained the value ω˙obs= 0.38°/yr, which is not as large as results of earlier measurements differs from the theoretical value for synchronized motion ω˙theor = 0.44°/yr. Previous generally accepted value was three times lower. Physical parameters of the components have been refined: T1=12980±150 K, M1=3.21±0.03M⊙, R1=2.46±0.01R⊙, T2=10850±100 K, M2 = 2.32 ± 0.03M⊙, R2=1.84±0.01R⊙. For the first time, a reliable orbit and physical parameters of the invisible satellite, the third body in the system, have been determined: P=2.21 yr, ω = 88°, e=0.70, M3sini=0.97±0.01M⊙.
About the authors
I. M. Volkov
Lomonosov Moscow State University, Sternberg State Astronomical Institute
Author for correspondence.
Email: hwp@yandex.ru
Moscow, Russia
References
- K. F. Khaliullin and V. S. Kozyreva, Astrophys. Space Sci. 94, 115 (1983).
- J. W. Moffat, Phys. Rev. D 19, 3554 (1979).
- J. W. Moffat, Astrophys. J. Letters 287, L77 (1984).
- J. W. Moffat, Phys. Rev. D 39, 474 (1989).
- D. I. Martynov and K. F. Khaliullin, Astrophys. Space Sci. 71, 147 (1980).
- K. F. Khaliullin, S. A. Khodykin, and A. I. Zakharov, 375, 314 (1991).
- S. A. Khodykin and V. G. Vedeneyev, 475, 798 (1997).
- S. A. Khodykin, A. I. Zakharov, and W. L. Andersen, 615, 506 (2004).
- L. V. Mossakovskaya, Astron. Letters 19, 35 (1993).
- E. Guinan, M. Bonaro, S. Engle, and A. Prsa, J. AAVSO 40, 417 (2012).
- I. M. Volkov, D. Chochol, J. Grygar, M. Jelinek, et al., Inform. Bull. Var. Stars № 6066, 1 (2013).
- I. M. Volkov, D. Chochol, J. Grygar, M. Mašek, and J. Juryšek, Contrib. Astron. Observ. Skalnate Pleso 47, 29 (2017).
- N. I. Shakura, Soviet Astron. Letters 11, 224 (1985).
- S. Albrecht, S. Reffert, I. A. G. Snellen, and J. N. Winn, Nature 461, 373 (2009).
- D. B. McLaughlin, Publ. Michigan Observ. 5, 91 (1934).
- I. M. Volkov, Astrophys. Space Sci. 296, 105 (2005).
- K. Pavlovski, J. Southworth, and V. Kolbas, Astrophys. J. Letters 734, id. L29 (2011).
- R. W. Hilditch, Publ. Astron. Soc. Pacific 84, 519 (1972).
- F. P. Maloney, E. F. Guinan, and P. T. Boyd, Astron. J. 98, 1800 (1989).
- V. S. Kozyreva, A. I. Zakharov, and K. F. Khaliullin, Inform. Bull. Var. Stars № 4690, 1 (1999).
- V. S. Kozyreva and K. F. Khaliullin, Astron. Rep. 43, 679 (1999).
- Z. Bozkurt and Ö. L. Değirmenci, Monthly Not. Roy. Astron. Soc. 379, 370 (2007).
- R. W. Hilditch, Mem. Roy. Astron. Soc. 76, 1 (1972).
- V. Kozyreva, A. Kusakin, and A. Bogomazov, Res. Astron. and Astrophys. 18(1), id. 010 (2018).
- V. S. Kozyreva and A. I. Zakharov, Astron. Letters 32, 313 (2006).
- T. D. Padalia and R. K. Srivastava, Astrophys. Space Sci. 38, 87 (1975).
- C. H. Lacy, Astron. J. 104, 801 (1992).
- P. J. Flower, 469, 355 (1996).
- V. Straiys, Multicolor stellar photometry (Tucson: Pachart Pub. House, 1992).
- J. C. Mermilliod, M. Mermilliod, and B. Hauck, Astron. and Astrophys. Suppl. Ser. 124, 349 (1997).
- G. M. Green, E. F. Schlafly, D. P. Finkbeiner, H.-W. Rix, et al., Astrophys. J. 810, id. 25 (2015).
- C. H. S. Lacy, Astron. J. 124, 1162 (2002).
- H. C. Lines, R. D. Lines, Z. Glownia, and E. F. Guinan, Publ. Astron. Soc. Pacific 101, 925 (1989).
- K. G. Stassun, R. J. Oelkers, M. Paegert, G. Torres, et al., Astron. J. 158(4), id. 138 (2019).
- I. M. Volkov, N. S. Volkova, and D. Chochol, Astron. Rep. 54, 418 (2010).
- I. M. Volkov, N. S. Volkova, I. V. Nikolenko, and D. Chochol, Astron. Rep. 55, 824 (2011).
- I. M. Volkov, D. Chochol, and A. S. Kravtsova, Astron. Rep. 61, 440 (2017).
- I. M. Volkov and A. S. Kravtsova, Astron. Rep. 64, 211 (2020).
- M. A. Burlak, I. M. Volkov, and N. P. Ikonnikova, Contrib. Astron. Observ. Skalnate Pleso 48, 536 (2018).
- O. Gulmen, C. Ibanoglu, S. Bozkurt, and N. Gudur, Inform. Bull. Var. Stars № 1090, 1 (1976).
- R. A. Wade and S. M. Rucinski, Astron. and Astrophys. Suppl. Ser. 60, 471 (1985).
- L. A. Bagaev, I. M. Volkov, and I. V. Nikolenko, Astron. Rep. 62, 664 (2018).
- P. De Cat, in IAU Colloq. 185 Radial and Nonradial Pulsations as Probes of Stellar Physics, edited by C. Aerts, T. R. Bedding, and J. Christensen-Dalsgaard, Astron. Soc. Pacific Conf. Ser. 259, 196 (2002).
- L. Girardi, A. Bressan, G. Bertelli, and C. Chiosi, Astron. and Astrophys. Suppl. Ser. 141, 371 (2000).
- D. Y. Martynov, Eclipsing Variable Stars (New York: John Wiley and Sons, 1973).
- K. F. Khaliullin and A. I. Khaliullina, Astron. Rep. 33, 41 (1989).
- J. Krzesinski, E. Kuczawska, and G. Pajdosz, Inform. Bull. Var. Stars № 3495, 1 (1990).
- P. Battistini, A. Bonifazi, and A. Guarnieri, Inform. Bull. Var. Stars № 951, 1 (1974).
- D. B. Caton and W. C. Burns, Inform. Bull. Var. Stars № 3900, 1 (1993).
- W. Ogoza, Inform. Bull. Var. Stars № 4263, 1 (1995).
- T. Hegedus, I. B. Biro, T. Borkovits, and Z. Paragi, Inform. Bull. Var. Stars № 4340, 1 (1996).
- M. Wolf, L. Sarounova, and R. Diethelm, Astron. and Astrophys. Suppl. Ser. 116, 463 (1996).
- G. Samolyk, J. AAVSO 39, 177 (2011).
- R. Diethelm, Inform. Bull. Var. Stars № 5653, 1 (2005).
- I. B. Biro, T. Borkovits, S. Csizmadia, T. Hegedus, et al., Inform. Bull. Var. Stars № 5684, 1 (2006).
- L. Brát, L. melcer, H. Kuèáková, R. Ehrenberger, et al., Open European J. Var. Stars 0094(1), 1 (2008).
- E. Pohl, E. Hamzaoglu, N. Gudur, and C. Ibanoglu, Inform. Bull. Var. Stars № 2385, 1 (1983).
- I. B. Biro, T. Borkovits, T. Hegedus, and Z. Paragi, Inform. Bull. Var. Stars № 4555, 1 (1998).
- T. Borkovits, I. B. Biro, T. Hegedus, S. Csizmadia, et al., Inform. Bull. Var. Stars № 5313, 1 (2002).
- I. B. Biro, T. Borkovits, T. Hegedus, Z. T. Kiss, et al., Inform. Bull. Var. Stars № 5753, 1 (2007).
- I. M. Volkov, Peremennye Zvezdy 42, 1 (2022).
- I. M. Volkov, A. S. Kravtsova, and D. Chochol, Astron. Rep. 65, 184 (2021).
Supplementary files










