Effect of Dust Evaporation and Thermal Instability on Temperature Distribution in a Protoplanetary Disk
- Authors: Pavlyuchenkov Y.N.1, Akimkin V.V.1, Topchieva A.P.1, Vorobyov E.I.1
-
Affiliations:
- Institute of Astronomy of the Russian Academy of Sciences
- Issue: Vol 100, No 5 (2023)
- Pages: 427-440
- Section: Articles
- URL: https://medbiosci.ru/0004-6299/article/view/139082
- DOI: https://doi.org/10.31857/S0004629923050080
- EDN: https://elibrary.ru/YWZIDE
- ID: 139082
Cite item
Full Text
Abstract
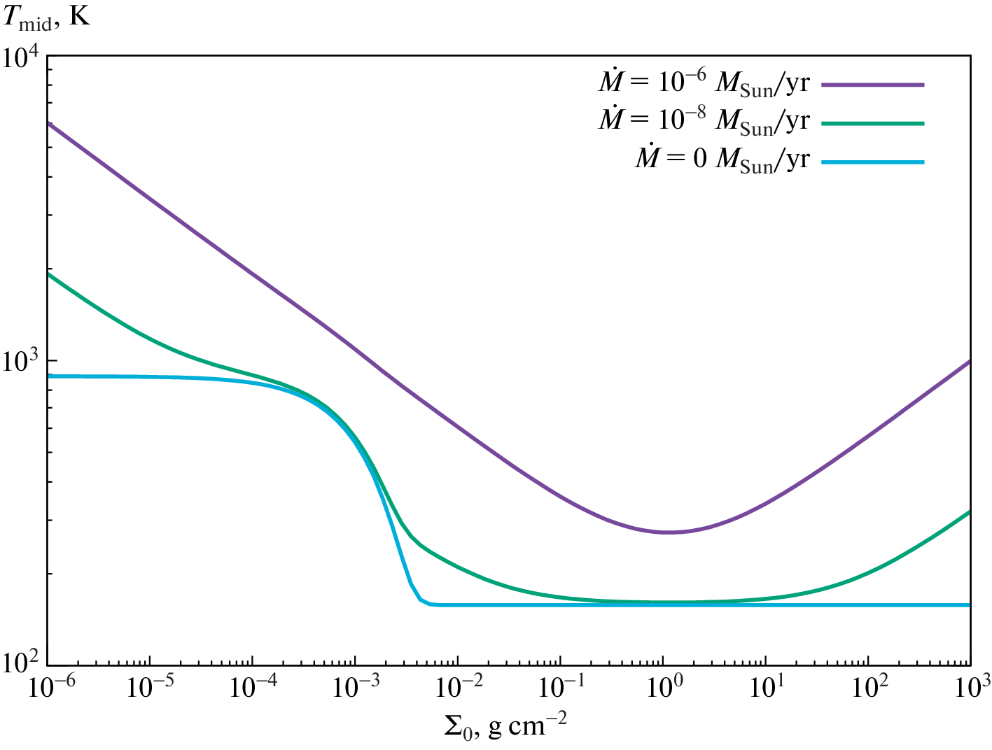
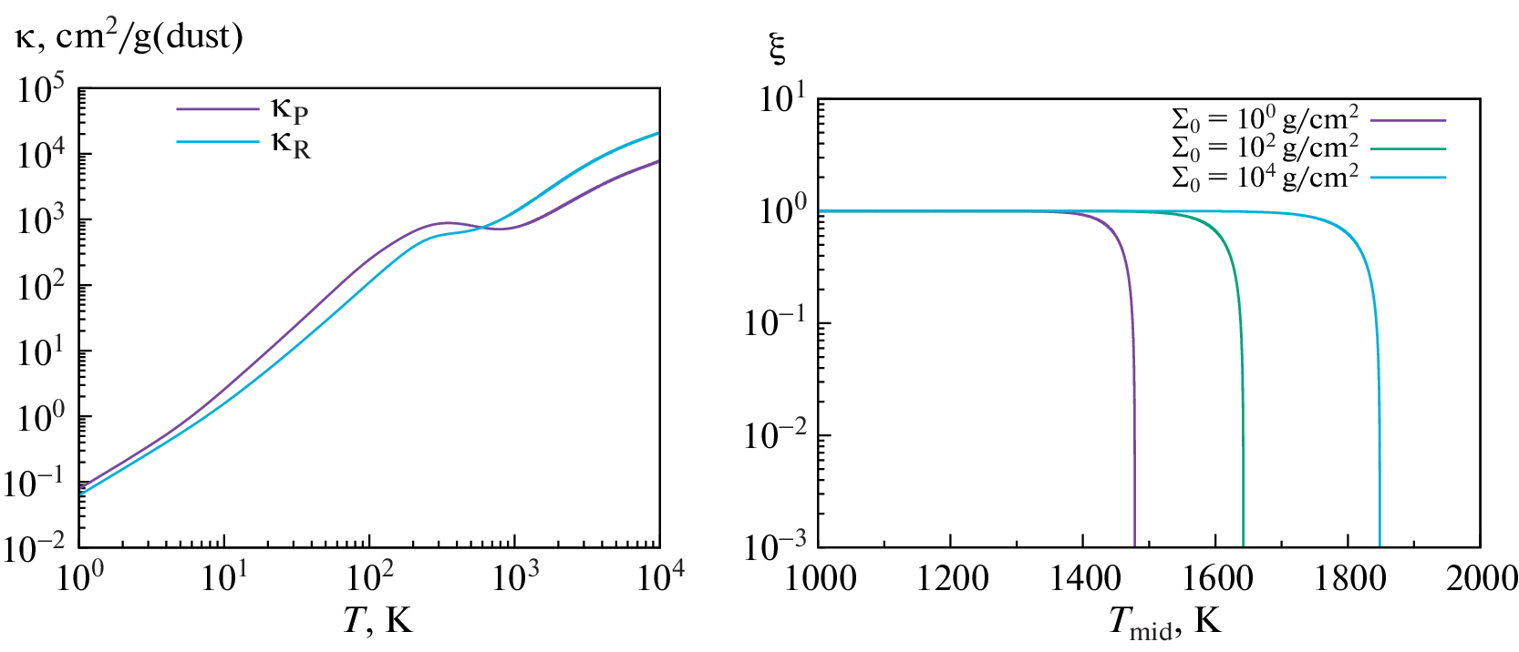
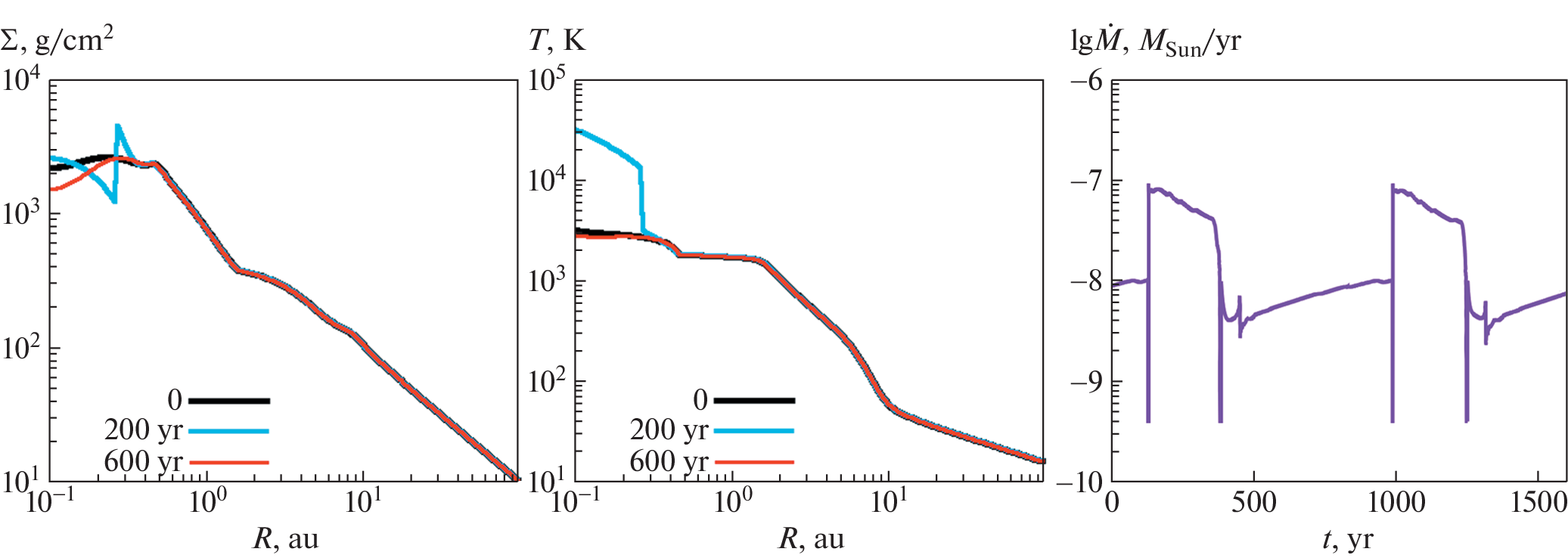
The thermal instability of accretion disks is widely used to explain the activity of cataclysmic variables, but its manifestation in gas and dust disks in young stars has been studied in less detail. A semi-analytical stationary model is presented for calculating the equatorial temperature of a gas and dust disk around a young star. The model considers the opacity caused by dust and gas, as well as the evaporation of dust at temperatures above 1000 K. Using this model, the distributions of the equatorial temperature of the gas and dust disk are calculated under various assumptions on the source of opacity and the presence of dust. It is shown that when all the above processes are considered, the thermal balance equation in the region r<1 AU has multiple temperature solutions. Thus, the conditions for thermal instability are satisfied in this region. As an illustration of the possible influence of instability on the nature of accretion in a protoplanetary disk, we consider a viscous disk model with α-parametrization of turbulent viscosity. It is shown that in such a model a non-stationary mode of disk evolution is realized with alternating phases of accumulation of matter in the inner disk and phases of its rapid accretion onto the star, which leads to a burst character of accretion. The results obtained indicate the need to take this instability into account when modeling the evolution of protoplanetary disks.
About the authors
Ya. N. Pavlyuchenkov
Institute of Astronomy of the Russian Academy of Sciences
Email: pavyar@inasan.ru
119017, Moscow, Russia
V. V, Akimkin
Institute of Astronomy of the Russian Academy of Sciences
Email: pavyar@inasan.ru
119017, Moscow, Russia
A. P. Topchieva
Institute of Astronomy of the Russian Academy of Sciences
Email: pavyar@inasan.ru
119017, Moscow, Russia
E. I. Vorobyov
Institute of Astronomy of the Russian Academy of Sciences
Author for correspondence.
Email: pavyar@inasan.ru
119017, Moscow, Russia
References
- P. J. Armitage, arXiv:2201.07262 [astro-ph.HE] (2022).
- J. Bae, A. Isella, Z. Zhu, R. Martin, S. Okuzumi, and S. Suriano, arXiv:2210.13314 [astro-ph.EP] (2022).
- J.-M. Hameury, Adv. Space Research 66, 1004 (2020), arXiv:1910.01852 [astro-ph.SR].
- J.-P. Lasota, New Astron. Rev. 45, 449 (2001), a-rXiv:astro-ph/0102072.
- M. Audard, P. Ábrahám, M. M. Dunham, J. D. Green, et al., in Protostars and Planets VI, edited by H. Beuther, R. S. Klessen, C. P. Dullemond, and T. Henning (Tucson: University of Arizona Press, 2014), p. 387, ar-Xiv:1401.3368 [astro-ph.SR].
- M. S. Connelley and B. Reipurth, Astrophys. J. 861, id. 145 (2018), arXiv:1806.08880 [astro-ph.SR].
- E. I. Vorobyov, V. G. Elbakyan, H. B. Liu, and M. Takami, Astron. and Astrophys. 647, id. A44 (2021), ar-Xiv:2101.01596 [astro-ph.SR].
- K. M. Flaherty, L. DeMarchi, J. Muzerolle, Z. Balog, W. Herbst, S. T. Megeath, E. Furlan, and R. Gutermuth, A-strophys. J. 833, id. 104 (2016), arXiv:1609.09100 [astro-ph.SR].
- C. Contreras Peña, P. W. Lucas, D. Minniti, R. Kurtev, et al., Monthly Not. Roy. Astron. Soc. 465, 3011 (2017), arXiv:1602.06267 [astro-ph.SR].
- L. Rigon, A. Scholz, D. Anderson, and R. West, Monthly Not. Roy. Astron. Soc. 465, 3889 (2017), arXiv:1611.03013 [astro-ph.SR].
- C. R. D’Angelo and H. C. Spruit, Monthly Not. Roy. Astron. Soc. 420, 416 (2012), arXiv:1108.3833 [astro-ph.SR].
- A. S. Kravtsova, S. A. Lamzin, L. Errico, and A. Vittone, Astron. Letters 33, 755 (2007).
- P. J. Armitage, M. Livio, and J. E. Pringle, Monthly Not. Roy. Astron. Soc. 324, 705 (2001), arXiv:astro-ph/0101253.
- E. I. Vorobyov and S. Basu, Astrophys. J. 805, id. 115 (2015), arXiv:1503.07888 [astro-ph.SR].
- K. R. Bell and D. N. C. Lin, Astrophys. J. 427, 987 (1994), arXiv:astro-ph/9312015.
- E. Kawazoe and S. Mineshige, Publ. Astron. Soc. Japan 45, 715 (1993).
- W. Kley and D. N. C. Lin, Astrophys. J. 518, 833 (1999).
- M. G. Malygin, R. Kuiper, H. Klahr, C. P. Dullemond, and T. Henning, Astron. and Astrophys. 568, id. A91 (2014), arXiv:1408.3377 [astro-ph.SR].
- F. Castelli, Mem. Soc. Astron. Ital. Suppl. 8, 34 (2005).
- R. L. Kurucz, SAO Special Report № 309 (1970).
- W. J. Duschl, H. P. Gail, and W. M. Tscharnuter, Astron. and Astrophys. 312, 624 (1996).
- P. D.’Alessio, N. Calvet, L. Hartmann, S. Lizano, and J. Cantó, Astrophys. J. 527, 893 (1999), arXiv:astro-ph/9907330.
- Y. Pavlyuchenkov and C. P. Dullemond, Astron. and A-strophys. 471, 833 (2007), arXiv:0706.2614 [astro-ph].
- N. I. Shakura and R. A. Sunyaev, Astron. and Astrophys. 24, 337 (1973).
- J. M. Huré, D. Richard, and J. P. Zahn, Astron. and -Astrophys. 367, 1087 (2001), arXiv:astro-ph/0012262.
Supplementary files







