INVESTIGATION OF OH 18 CM MASER EMISSION AND MAGNETIC FIELD IN THE S128 STAR FORMATION REGION
- Authors: Ashimbaeva N.T.1, Lekht E.E.1, Krasnov V.V.2, Tolmachev A.M.3
-
Affiliations:
- Lomonosov Moscow State University, P.K. Sternberg State Astronomical Institute
- Astrospace Center of the P.N. Lebedev Physical Institute, Russian Academy of Sciences
- Pushchino Radio Astronomy Observatory, Astrospace Center of the P.N. Lebedev Physical Institute, Russian Academy of Sciences
- Issue: Vol 100, No 7 (2023)
- Pages: 582-592
- Section: Articles
- URL: https://medbiosci.ru/0004-6299/article/view/139106
- DOI: https://doi.org/10.31857/S0004629923070022
- EDN: https://elibrary.ru/NBTIDD
- ID: 139106
Cite item
Full Text
Abstract
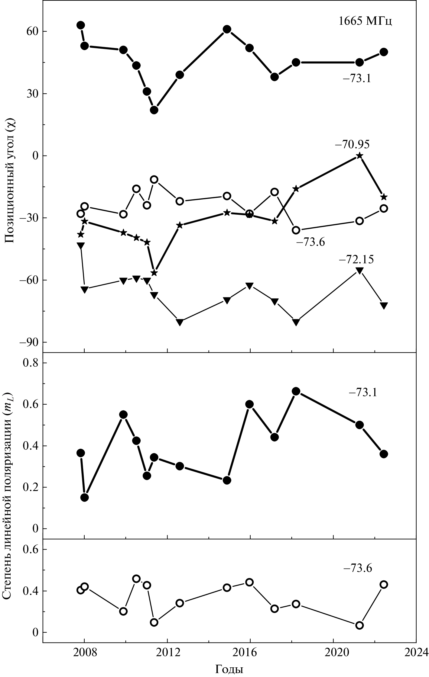
The results of a study of the variability of OH maser emission in the lines of 18 cm in the S128 star formation region from monitoring data in 2007–2022 at the Large Radio Telescope in Nançay (France) are presented. Maser emission was observed in the main line of 1665 MHz during the entire monitoring, and only short-term emission was observed in the satellite lines of 1612 and 1720 MHz. For the four strongest features in the 1665 MHz line, the variability of the positional angle of linearly polarized emission was found. The dependence of the angle on the radial velocity to some extent resembles a limited sinusoid, which may be due to the existence of an organized spatial structure of maser spots and the associated transverse magnetic field. For two Zeeman pairs in the 1612 MHz line having similar radial velocities (–75.344/–75.236 and –74.980/–74.903 km/s), the detected splits have opposite signs and, therefore, opposite directions of the longitudinal magnetic field. The directions of the transverse magnetic field vectors are also determined for these features. Apparently, the magnetic field is swirling and is associated with a swirling molecular outflows of matter.
About the authors
N. T. Ashimbaeva
Lomonosov Moscow State University, P.K. Sternberg State Astronomical Institute
Email: lekht@sai.msu.ru
Russia, Moscow
E. E. Lekht
Lomonosov Moscow State University, P.K. Sternberg State Astronomical Institute
Author for correspondence.
Email: lekht@sai.msu.ru
Russia, Moscow
V. V. Krasnov
Astrospace Center of the P.N. Lebedev Physical Institute, Russian Academy of Sciences
Email: lekht@sai.msu.ru
Russia, Moscow
A. M. Tolmachev
Pushchino Radio Astronomy Observatory, Astrospace Center of the P.N. Lebedev Physical Institute,Russian Academy
of Sciences
Email: lekht@sai.msu.ru
Russia, Pushchino
References
- A. D. Haschick and P. T. P. Ho, Astrophys. J. 292, 200 (1985).
- P. T. P. Ho, A. D. Haschick, and F. P. Israel, Astrophys. J. 362, 147 (1981).
- A. Mampaso, P. Gómez, C. Sanchez-Magro, and M. J. Selby, Monthly Not. Roy. Astron. Soc. 207, 465 (1984).
- A. D. Haschick and P. T. P. Ho, Astrophys. J. 292, 200 (1985).
- V. Migenes, S. Horiuchi, V. I. Slysh, I. E. Val’tts, et al., Astrophys. J. 123, 487 (1999).
- A. M. S. Richards, R. J. Cohen, M. Crocker, E. E. Lekht, E. Mendoza-Torres, and V. A. Samodourov, Astrophys. Space Sci. 295, 19 (2004).
- J. G. A. Wouterloot, J. Brand, and C. Henkel, Astron. and Astrophys. 191, 323 (1988).
- Н. Т. Ашимбаева, П. Колом, Е. Е. Лехт, М. И. Пащенко, Г. М. Рудницкий, А. М. Толмачев, Астрон. журн. 95(9), 645 (2018).
- В. И. Слыш, М. И. Пащенко, Г. М. Рудницкий, В. М. Витрищак, П. Колом, Астрон. журн. 87(7), 655 (2010).
- V. L. Fish and M. J. Reid, Astrophys. J. Suppl. 164, 99 (2006).
- П. Колом, Н. Т. Ашимбаева, Е. Е. Лехт, М. И. Пащенко, Г. М. Рудницкий, А. М. Толмачев, Астрон. журн. 98(1), 50 (2021).
Supplementary files









