Parameters of star formation regions in galaxies NGC 3963 and NGC 7292
- Authors: Gusev А.S.1, Sakhibov F.K.2, Moiseev A.V.1,3, Kostiuk V.S.1, Oparin D.V.3
-
Affiliations:
- Lomonosov Moscow State University, Sternberg Astronomical Institute
- University of Applied Sciences, Technische Hochschule Mittelhessen
- Special Astrophysical Observatory, Russian Academy of Sciences
- Issue: Vol 101, No 7 (2024)
- Pages: 586-607
- Section: Articles
- URL: https://medbiosci.ru/0004-6299/article/view/274288
- DOI: https://doi.org/10.31857/S0004629924070018
- EDN: https://elibrary.ru/IVDQAR
- ID: 274288
Cite item
Full Text
Abstract
Results of a study of physical parameters of stellar population in star formation regions in galaxies with signs of peculiarity NGC 3963 and NGC 7292 are presented. The study was carried out based on the analysis of photometric (UBVRI bands), Hα and spectroscopic data obtained by the authors, using evolutionary models of stellar population. Among 157 star formation regions identified in galaxies, the young stellar population mass estimates were obtained for 16 of them and the age estimates were obtained for 15 ones. The age of star formation regions clearly correlates with the presence of emission in the Hα line: H II regions in galaxies are younger than 6–8 Myr, and the regions without gas emission are older. The studied objects are included in the version 3 of our catalogue of photometric, physical and chemical parameters of star formation regions, which includes 1667 objects in 21 galaxies. Key aspects of the used technique to estimate the physical parameters and different relations between observational and physical parameters of the young stellar population in star formation regions are discussed.
Full Text
1. Введение
Процессы современного звездообразования, наблюдаемые в широком диапазоне длин волн (от ультрафиолетового до инфракрасного) в большинстве спиральных и ряде линзовидных галактик, являются одними из наиболее наглядных индикаторов эволюции галактик в современную эпоху. Звезды образуются группами в наиболее плотных и холодных частях гигантских облаков молекулярного водорода, при этом, наиболее крупные группы рождающихся звезд - звездные комплексы - достигают размеров 600-700 пк [1-9]. Они состоят из более мелких группировок: OB-ассоциаций, звездных скоплений, звездных агрегатов [10, 11].
В оптическом диапазоне основным индикатором звездообразования служит эмиссионное излучение областей H II в линиях бальмеровской серии водорода, в первую очередь - в линии Hα. Ионизацию водорода вызывают наиболее массивные звезды, однако области звездообразования (ОЗО) моложе 1-2 млн лет не наблюдаются в оптике из-за очень большого поглощения в пылевом коконе, окружающем звездно-газовую группировку [12-14]. Время существования оболочки H II не превышает 8-10 млн лет.
Данные о физических и химических параметрах звезд и газа в ОЗО, таких как размер, металличность, масса, возраст, являются крайне важными для понимания современных эволюционных процессов в дисковых галактиках. Особую сложность для анализа в неразрешаемых на отдельные звезды группировках играют корректный учет поглощения в областях звездообразования, разделение вклада излучения звезд и газа в широких фотометрических полосах, учет эффекта дискретности начальной функции масс (НФМ) для маломассивных звездных скоплений и ассоциаций [15-19]. Подробнее используемый метод исследований будет описан нами в разделе 3.
В последние годы в рамках ряда крупных международных проектов, таких как LEGUS [20], PHANGS-MUSE [21], PHANGS-HST [22], были изучены десятки тысяч молодых звездных скоплений, OB-ассоциаций, областей H II во многих галактиках [23-27]. Как правило, в рамках данных проектов области H II и молодые звездные группировки рассматриваются отдельно. В частности, возраст и масса молодых звездных группировок и поглощение в области звездообразования определяются путем сравнения спектрального распределения энергии с теоретическими эволюционными моделями (см., напр., [28]) без привлечения данных о поглощении в зоне H II, полученных из спектроскопических наблюдений. В последние несколько лет появился целый ряд работ, где свойства звездного населения и газа в областях H II рассматриваются совместно. Однако даже в этих работах возраст и масса звездного населения определяются без привлечения данных о поглощении, полученных из спектральных наблюдений. В качестве примера можно указать работу [29], авторы которой изучили свойства звездных популяций в областях H II, сопоставляя данные каталогов PHANGS-MUSE и PHANGS-HST, но не использовали данные о бальмеровском поглощении для оценок возраста молодых звезд. В отличии от них, в нашем исследовании мы изучаем свойства звездного населения в областях H II используя как фотометрические, так и спектральные данные (см. подробнее раздел 3).
Основной целью исследования является оценка физических параметров (массы и возраста) звездного населения в областях звездообразования на основе комплексных фотометрических, спектрофотометрических и спектроскопических наблюдений галактик. Ранее в цикле наших работ (см. [19] и ссылки в ней) мы рассмотрели и проанализировали выборку 1510 областей звездообразования в 19 галактиках на основе данных фотометрии в полосах UBVRI и линии Hα и результатов спектроскопии связанных с ними областей H II. Каталог изученных областей доступен в электронной форме[1]. В данной работе мы расширяем нашу выборку на ОЗО еще в двух галактиках: NGC 3963 и NGC 7292.
Обе галактики, изученные нами методами спектроскопии в работе [30], интересны тем, что проявляют различные признаки пекулярности. Галактика типа SAB(rs)bc NGC 3963 имеет почти правильную симметричную форму (рис. 1), однако в областях H II во внешней части южного спирального рукава галактики наблюдается избыточное содержание кислорода и азота, что возможно объясняется притоком обогащенного металлами газа в юго-западную часть NGC 3963 [30]. Форма спирального рукава на юге галактики отклоняется от классической логарифмической спирали (рис. 1), а результаты анализа данных наблюдений H I свидетельствуют о наличии приливных искажений в NGC 3963 и расположенной в 110 кпк к юго-западу от нее галактике NGC 3958 [31]. Галактика магелланова типа NGC 7292 с ярким асимметричным баром (рис. 1) имеет достаточно сложную кинематику: заметную роль играют радиальные движения, связанные с баром, а часть некруговых движений в юго-восточном конце перемычки - ярчайшей области H II - может быть связана с последствиями слияния с компаньоном [32].
Рис. 1. Изображения галактик NGC 3963 (слева) и NGC 7292 (справа) в полосе B в логарифмической шкале интенсивностей. Красными маленькими кружками отмечены идентифицированные ОЗО, изученные фотометрически, синими кружками — ОЗО, изученные спектроскопически в работе [30], голубыми крупными кружками — ОЗО с полученными оценками массы (возраста) в данной работе. Размеры изображения NGC 3963 — 170.5' × 170.5', что соответствует линейному размеру 40.67 кпк, размер изображения NGC 7292 — 146.7' × 146.7' (4.85 кпк). Север — сверху, восток — слева. Центры изображений соответствуют центрам галактик.
Основные сведения о галактиках: координаты центра, морфологический тип, видимая звездная величина m(B), исправленная за галактическое поглощение и поглощение за наклон диска, абсолютная звездная величина , наклон и позиционный угол PA диска, расстояние d, диаметр по изофоте в полосе B с учетом галактического поглощения и поглощения, вызванного наклоном диска ( ), галактическое поглощение A(B)G и поглощение, вызванное наклоном диска галактик , приведены в табл. 1. Данные о галактиках брались из открытых баз данных NED[2] и HyperLEDA" href="#_ftn3" name="_ftnref3">[3]. Исключение составляют данные по координатам центра, наклону и позиционному углу галактики NGC 7292, для которых мы использовали значения, приведенные в работе [32].
Таблица 1. Основные характеристики галактик
Параметр | NGC 3963 | NGC 7292 |
Координаты центра | 11h54m58.7s +58°29ʹ37.1ʺ | 22h28m25.3s +30°17ʹ35.3ʺ |
Тип галактики | SAB(rs)bc | IBm |
, зв. вел. | 12.60 ± 0.07 | 13.06 ± 0.06 |
, зв. вел. | –21.1 ± 0.3 | –16.7 ± 1.0 |
29 | 29 | |
PA,° | 96 | 73 |
d, Мпк | 49.2 | 6.82 |
D25, угл. мин. дуги | 2.57 | 1.91 |
D25 , кпк | 36.8 | 3.78 |
A(B)G, зв. вел. | 0.083 | 0.223 |
A(B)in, зв. вел. | 0.09 | 0.14 |
2. Наблюдения и обработка данных
Спектральные наблюдения с длинной щелью, проведенные в 2020 г. на 2.5-метровом телескопе Кавказской горной обсерватории (КГО) ГАИШ МГУ с помощью транзиентного двухлучевого спектрографа ТДС [33], подробно описаны в работе [30]. Всего нами были получены и проанализированы данные для 23 областей H II в NGC 3963 (включая несколько объектов, наблюдавшихся ранее в рамках проекта SDSS[4]) и 9 - в NGC 7292.
Фотометрические наблюдения NGC 3963 в полосах UBVRI были проведены в 2020 г. на 2.5-метровом телескопе КГО ГАИШ МГУ в кассегреновском фокусе f/8 (см. журнал наблюдений в табл. 2).
Таблица 2. Журнал наблюдений
Галактика | Даты | Полоса | Экспозиция, с | ε,ʺ |
NGC 3963 | 13/14.04.2020, | U | 3000 | 2.0 |
14/15.12.2020 | B | 1500 | 2.2 | |
V | 750 | 2.1 | ||
R | 450 | 1.9 | ||
I | 300 | 1.8 | ||
07/08.11.2021 | Hα | 2100 | 1.8 | |
[N II] | 1200 | 1.7 | ||
H | 1800 | 1.9 | ||
NGC 7292 | 25/26.10.2005 | U | 1200 | 1.4 |
B | 600 | 0.9 | ||
V | 480 | 1.0 | ||
R | 360 | 1.0 | ||
I | 240 | 0.8 | ||
13/14.12.2020, | Hα+[N II] | 1050 | 0.9 | |
14/15.12.2020 | H | 1200 | 0.9 |
Примечание. ε — качество изображения.
Использовалась ПЗС-камера NBI, оснащенная двумя детекторами размером пикселей, дающими поле изображения при масштабе изображений /пикс. Наблюдения NGC 7292 проводились в 2005 г. на 1.5-метровом телескопе Майданакской обсерватории ИА АН РУз (Узбекистан) с помощью ПЗС-камеры SITe-2000 в фокусе 1:8. Размер матрицы пикселей, что обеспечивает поле зрения при масштабе изображений /пикс [34]. Дальнейшая обработка проводилась по стандартной процедуре с использованием системы обработки изображений ESO-MIDAS (см., напр., [35]). Для построения цветовых уравнений и учета атмосферной экстинкции использовались наблюдения стандартных звезд полей Ландольта PG 0231+051, PG 2331+055, J125239+444615, GD 279 и GD 300 [36, 37, 38], полученные в те же ночи в соответствующих фильтрах. Цветовые уравнения перехода из инструментальной фотометрической системы в стандартную UBVRI систему Джонсона-Казинса подробно описаны в работе [34] для телескопа Майданакской обсерватории и в [18] для КГО.
Галактика NGC 3963 достаточно удалена от нас (см. табл. 1) и ее излучение в линии Hα лежит вне пределов имевшихся в наборе камеры NBI узкополосных Hα+[N II] фильтров, центрированных на длину волны Е, с характерной шириной полосы пропускания -80 Е. Поэтому ее наблюдения в линиях Hα и [N II] Е были проведены в 2021 г. на 2.5-метровом телескопе КГО в фокусе Несмита с помощью картировщика узких эмиссионных линий MaNGaL - фотометра с перестраиваемым фильтром на основе сканирующего интерферометра Фабри-Перо низкого порядка с шириной инструментального FWHM Е [39]. Детектором прибора является ПЗС-камера Andor iKon-M934 размером пикселей, дающая на данном телескопе изображения размером с масштабом /пикс. В ходе наблюдений последовательно получались изображения на длинах волн, соответствующих эмиссионным линиям Hα, [N II] 6584 Е и континууму в 40-50 Е по обе стороны от линии Hα, с учетом системной скорости галактики. Длительность отдельных экспозиций составляла 300 с, в дальнейшем анализе использовались только кадры с лучшим качеством изображений, соответствующие суммарные экспозиции приведены в табл. 2. Обработка наблюдений проводилась согласно алгоритмам, описанным в статье [39], абсолютная калибровка потоков выполнялась по изображениям спектрофотометрического стандарта AGK+81°266, полученным в ту же ночь непосредственно перед наблюдениями галактики, на близкой воздушной массе.
Наблюдения в фильтре Hα+[N II] галактики NGC 7292 были проведены в декабре 2020 г. на 2.5-метровом телескопе КГО с той же камерой NBI, что и фотометрические наблюдения NGC 3963. Штатный узкополосный фильтр Hα+[N II] обсерватории имеет максимум пропускания на длине волны Е и полуширину Е. Для измерения континуума использовался фильтр с Е, Е[5]. Для абсолютной калибровки использовалось fits-изображение галактики, полученное в работе [40] и взятое из базы NED.
3. Методы исследования
Используемые в работе методы исследований подробно описаны нами ранее [17, 18, 19]. Алгоритм включает в себя поиск ОЗО с помощью программы SExtractor в B и Hα, определение размеров ОЗО, их морфологии и взаимосвязи с областью H II, фотометрия ОЗО в индивидуально подобранных апертурах в UBVRI Hα, учет вклада эмиссии газа в излучение в полосах UBVRI, учет поглощения в ОЗО с использованием спектральных данных (величину бальмеровского декремента), оценку массы и возраста звездного населения ОЗО путем сопоставления светимостей и показателей цвета ОЗО с сеткой эволюционных моделей, рассчитанных на основе библиотеки звездных эволюционных треков (версия 2.8)[6], разработанных падуанской группой [41, 42, 43], соответствующей металличности на диаграмме {цвет-светимость} и двухцветных диаграммах, и нахождения минимума функционала отклонений между наблюдаемыми величинами и узлами сетки. Под функционалом отклонений нами принимается функция
где индексом «obs» обозначены наблюдаемые, а индексом «model» - модельные светимости и показатели цвета.
Результатом используемой методики является нахождение следующих параметров ОЗО: ее размеры, металличность газа, масса и возраст звездного населения. Детальное описание полученного электронного каталога областей звездообразования представлено в работе [19]. В данном разделе мы остановимся на двух ключевых моментах нашей методики, вызвавших наибольшие сложности.
3.1. Учет поглощения в ОЗО
Первая из них касается корректного учета поглощения в области звездообразования. Поглощение определяется нами по бальмеровскому декременту эмиссионного излучения газа в областях H II. Использование полученного значения для учета поглощения в молодой звездной системе в полосах UBVRI возможно лишь при условии равенства звездного поглощения и поглощения в газовом облаке.
Эволюционная морфологическая последовательность ОЗО [12] описывает несколько этапов развития звездно-газо-пылевой области (см. [12, рис. 1]). Для неразрешаемых на отдельные звезды молодых группировок в оптическом диапазоне можно выделить четыре стадии развития:
- наблюдается эмиссия Hα, но отсутствует излучение в коротковолновых фотометрических полосах;
- наблюдается излучение как газа (в линии Hα), так и звезд (в широких фотометрических полосах), причем фотометрические центры излучения газа и звезд совпадают;
- то же, что и п. 2, но центр эмиссии Hα смещен относительно центра излучения звездного компонента;
- наблюдается голубая звездная конденсация в UBVRI, эмиссия в линии Hα отсутствует (см. [19, рис. 1] для иллюстрации). Первая стадия соответствует очень молодой сильно запыленной области с большим внутренним поглощением. С уменьшением поглощения ОЗО переходит во вторую стадию. Третья стадия наступает при расширении газовой оболочки в результате взрывов первых сверхновых. На четвертой стадии ионизированный водород в расширяющейся оболочке рекомбинирует и охлаждается. Центры излучения звезд и эмиссии газа считаются смещенными, если угловое расстояние между ними превышает 0.5″.
Описанная выше эволюционная морфологическая последовательность относится к маломассивным ОЗО - звездным скоплениям и ассоциациям. В звездных комплексах, являющихся конгломератами OB-ассоциаций и скоплений, наблюдается более сложная ситуация из-за возможного наличия нескольких разновозрастных очагов звездообразования. Для них мы можем говорить лишь о «фотометрическом» возрасте, основной вклад в расчет которого вносит последняя по времени вспышка звездообразования. Наша цель - отбор областей, в которых поглощение по бальмеровскому декременту измеряется в той же части ОЗО, откуда приходит и основной фотометрический поток, достигается, однако, как для ОЗО масштабов звездных комплексов, так и для звездных ассоциаций (скоплений).
В рамках нашего исследования рассматриваются области звездообразования на трех последних стадиях, причем среди областей без эмиссии в Hα (четвертая стадия) выбирались лишь те, у которых показатель цвета , исправленный за поглощение в Галактике и поглощение, вызванное наклоном диска, не превышает (обоснование см. в работе [18]). Однако, определить «истинное» поглощение молодой звездной группировки и, как следствие, ее светимость, цвета, массу и возраст можно лишь на второй и четвертой стадиях. На второй стадии (класс 2 в каталоге), как было показано в работах [17, 19], поглощение в звездной системе соответствует поглощению, определяемому по бальмеровскому декременту. На четвертной эволюционной стадии (класс 0) избыточное поглощение в ОЗО незначительно из-за разлета газо-пылевого облака; поглощение в звездном скоплении (комплексе), не излучающем в линии Hα, принимается равным . На третьей стадии (класс 1) бальмеровский декремент дает поглощение в наиболее плотных и ярких частях газовой оболочки, окружающей молодое звездное скопление (комплекс). В работе [17] было показано, что использование бальмеровского декремента при оценке звездного поглощения в таких объектах дает некорректную избыточную величину A. Поэтому, как будет показано ниже, нам удалось оценить массу лишь для 11 (возраст - для 10) звездных группировок из 33 ОЗО с измеренным бальмеровским декрементом (одна из областей H II в NGC 7292, исследованная в статье [30], покрывает два звездных скопления). Еще пять ОЗО, для которых были получены оценки массы и возраста звездного компонента, находятся на четвертой эволюционной стадии (не излучают в Hα). Поскольку для них данные по химическому составу отсутствуют, при сопоставлении их с сетками эволюционных моделей принималась средняя металличность на соответствующем галактоцентрическом расстоянии, полученная в работе [32].
3.2. Учет дискретности НФМ
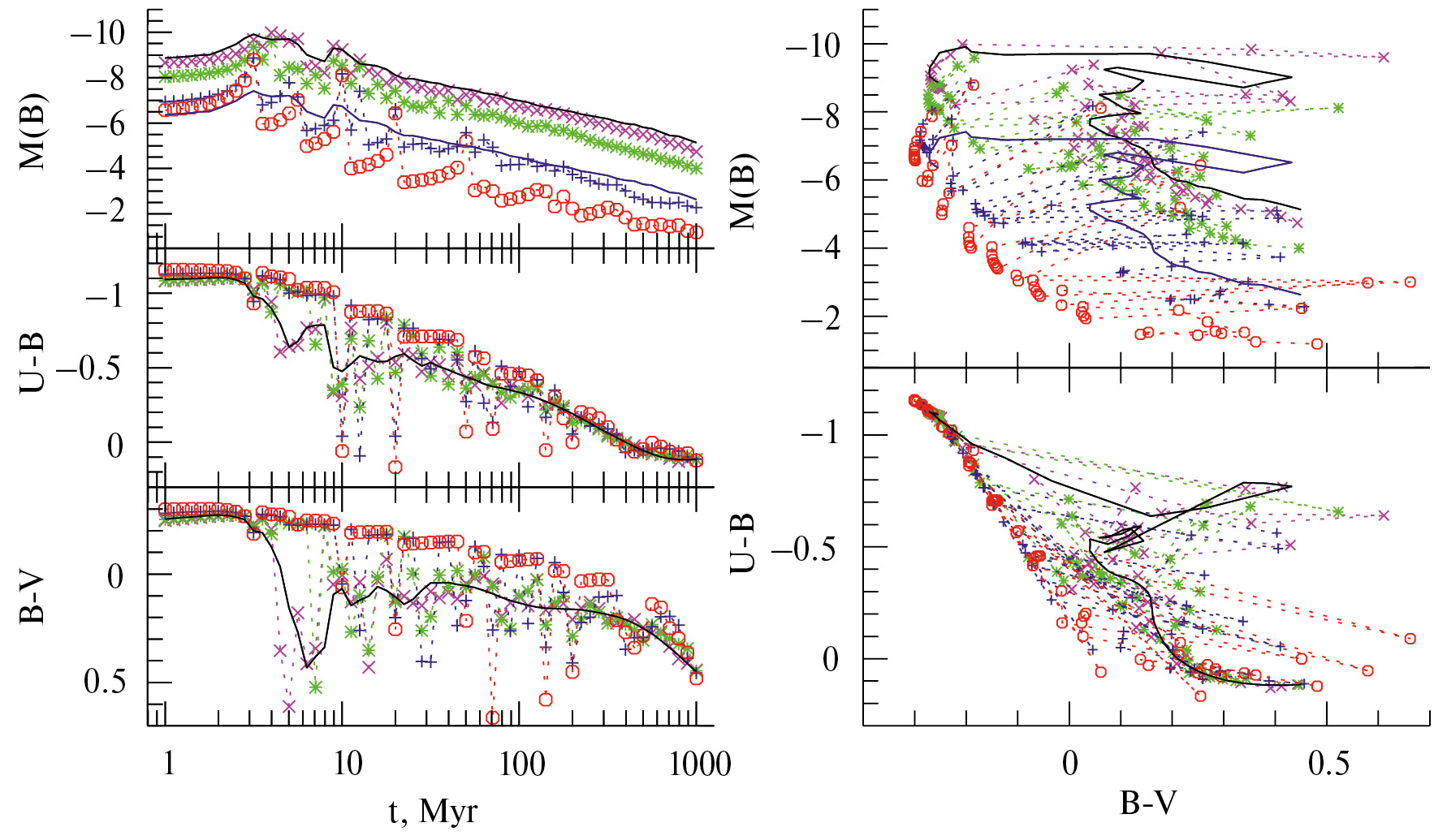
Вторым ключевым моментом в методике исследования является учет дискретности НФМ, важной для оценок физических параметров звездных группировок в ОЗО. Как было показано в работах [44, 15, 16], стохастические эффекты в дискретной, случайно заселенной НФМ начинают играть существенную роль для звездных систем с массами менее , где светимость кратковременно вспыхивающих красных гигантов становится сопоставимой с суммарной светимостью звезд главной последовательности. Основной проблемой здесь является неопределенность в количестве массивных звезд главной последовательности и их массах (см. рис. 2-4 для систем с дискретной НФМ). В частности, среди ОЗО, изученных в данной работе, эффект дискретности НФМ важен для молодых звездных скоплений в близкой галактике NGC 7292.
Рис. 2. Примеры эволюционных последовательностей стандартного режима моделей SSP падуанской библиотеки звездных эволюционных треков CMD версии 2.8 [41, 42, 43] (непрерывно заселенной НФМ) для звездных систем с металличностью Z = 0.012 и массами (синие кривые) и (черные кривые) и дискретного режима моделей (случайно заселенной НФМ) для звездной системы с Z = 0.012 и массами (красные кружки, соединенные пунктирными линиями), (синие крестики, соединенные пунктирными линиями), (зеленые звездочки, соединенные пунктирными линиями) и (фиолетовые косые крестики, соединенные пунктирными линиями). Диапазон возрастов варьируется от 1 млн до 1 млрд лет. Показаны изменения абсолютной величины M(B) и показателей цвета U –B и B –V в зависимости от возраста (слева), а также диаграмм «цвет-величина» и двухцветной (справа) для модельных эволюционных последовательностей. Показатели цвета стандартного режима моделей SSP от массы не зависят (синие и черные кривые накладываются на соответствующих графиках).
Детальное описание методики определения масс и возрастов при использовании непрерывно и случайно заселенной НФМ представлено в работе [19]. В данном разделе мы рассмотрим неопубликованные ранее результаты сравнения эволюционных последовательностей звездных систем в случае случайно и непрерывно заселенной НФМ, а также приведем краткое описание нашего подхода.
Современные эволюционные модели звездного населения в принципе позволяют восстановить физические свойства звездной популяции в отдельных молодых звездных группировках, используя достаточно детальные сетки SED (спектрального распределения энергии, модельных цветов), каждая из которых соответствует уникальному возрасту звездной популяции, звездной металличности и НФМ звездного населения.
Во избежании неоднозначности зависимости «возраст-металличность» для каждого исследованного здесь объекта строилась отдельная сетка моделей единовременно образовавшегося звездного населения (SSP) для фиксированной из независимых спектроскопических наблюдений металличности [17]. Кроме того спектроскопические наблюдения использовались для вычисления величин бальмеровского декремента и оценки величины межзвездного ослабления света, излучаемого звездной группировкой, что позволило одновременно учесть неоднозначность соотношения «возраст-межзвездное поглощение», также влияющую на положение объекта на двухцветных диаграммах и, соответственно, на оценку возраста звездного населения [17]. Данные спектроскопических наблюдений позволили нам учесть влияние на широкополосную фотометрию молодых звездных популяций эмиссии окружающего их межзвездного газа [17].
Учет этих трех факторов позволяет провести сравнение истинных интегральных цветов и светимостей звездных группировок с модельными при фиксированных из независимых спектральных наблюдений металличности, величины звездного поглощения света и вклада излучения газа в интегральные спектры звездных группировок, не оставляя эти величины в качестве свободных параметров. Для реализации такого подхода необходимо сочетание фотометрических, Hα-спектрофотомет-рических и спектроскопических наблюдений молодых звездных группировок.
Искомые возрасты и массы населения звездных скоплений определялись путем минимизации функционала отклонений, вычисленного для каждого узла сетки моделей, при сопоставлении истинных (исправленных за поглощение и вклад эмиссии межзвездного газа) цветов и светимостей звездного скопления с сеткой модельных цветов, вычисленных для фиксированной из наблюдений металличности.
Цвета ярких массивных звездных скоплений ( ) сопоставлялись с моделями, вычисленными с помощью непрерывно населенной НФМ. В случае менее массивных звездных скоплений ( ) стохастические эффекты, связанные с дискретностью НФМ, существенно влияют на светимость и цвет скопления, усиливаясь в длинноволновой части спектра [16], поэтому цвета и светимости маломассивных звездных скоплений сопоставлялись с моделями, вычисленными с помощью случайно населенной дискретной НФМ [19].
Дискретность НФМ существенно влияет на светимость и цвета скопления, что проявляется в вспышках и флуктуациях пути эволюции фотометрических параметров скопления, вызванных появлением красных гигантов. Существует также систематическое отклонение между фотометрическими параметрами (светимость и цвет) моделей простого звездного населения (моделей SSP) с дискретной и непрерывной НФМ (рис. 2). Кривые эволюции светимости дискретных моделей имеют вид наклонных колебаний и состоят из относительно коротких временных интервалов повторяющихся событий. В течение одного интервала времени происходит медленное, постепенное увеличение светимости скопления и почти мгновенная вспышка, вызванная эволюцией самой яркой звезды главной последовательности и ее возможным превращением в яркий, недолговечный красный сверхгигант. После взрыва сверхгиганта процесс повторяется с эволюцией следующей по яркости звезды главной последовательности и превращением ее в красного гиганта. Заметим, что отклонения кривых эволюции цвета и светимости дискретной модели, описанные выше, сильнее в случае малых масс скоплений, когда число красных гигантов невелико, и скопления большую часть времени проводят в виде систем со звездами главной последовательности. При вспышках в маломассивных скоплениях изменение абсолютной звездной величины в B могут превышать , а цвета - , причем в рамках дискретной модели большую часть времени молодые маломассивные звездные скопления ( моложе 30 млн лет) систематически голубее на в коротковолновых показателях цвета, чем звездные системы аналогичной массы в рамках классической непрерывно заселенной НФМ (см. левые графики на рис. 2); на диаграмме «цвет-светимость» они располагаются левее эволюционных треков звездных систем с непрерывно заселенной НФМ, а на двухцветной диаграмме - левее и выше (см. правые графики на рис. 2). По мере увеличения массы скопления до кривые эволюции цвета и светимости дискретной модели сходятся к кривым стандартной непрерывной модели (рис. 2).
Отметим, что отличия между модельными светимостями и показателями цвета звездных систем с различной металличностью в диапазоне типичных (солнечных и субсолнечных) Z незначительны (рис. 3) и, как правило, не превышают характерные погрешности измерения светимостей и показателей цвета реальных ОЗО. Исключение составляют моменты вспышек в маломассивных звездных скоплениях (дискретная НФМ) и комплексы с возрастами 5-10 млн лет (стандартная НФМ). Экстремально сильные изменения показателей цвета U - B и B - V для высокометалличной (Z = 0.018) звездной системы в модели с дискретной НФМ на рис. 3 (синий цвет) не являются следствием большого значения Z. Набор сгенерированных случайным образом моделей с дискретной НФМ для систем с Z = 0.012, представленный на рис. 4, показывает такие же значительные отклонения и для менее металличных звездных систем. Они возникают в скоплениях и ассоциациях с возрастом 5-10 млн лет, при тех же возрастах, на которых покраснение и сложный нелинейный характер изменения показателей цвета показывают и модели с непрерывно заселенной НФМ (рис. 2, 3).
Рис. 3. То же, что и на рис. 2, но для эволюционных последовательностей различной металличности. Показаны примеры эволюционных последовательностей стандартного режима моделей для звездных систем с массой и Z = 0.008 (красные кривые), Z = 0.012 (черные кривые) и Z = 0.018 (синие кривые), а также дискретного режима моделей для систем с массой и Z = 0.008 (красные кружки, соединенные пунктирными линиями), Z = 0.012 (черные крестики, соединенные пунктирными линиями) и Z = 0.018 (синие косые крестики, соединенные пунктирными линиями).
Рис. 4. То же, что и на рис. 2, но для четырех случайно сгенерированных эволюционных последовательностей дискретного режима моделей SSP для систем c массой и Z = 0.012 в диапазоне возрастов от 1 до 45 млн лет.
Таблица 4. Физические и химические параметры ОЗО
NGC | № | Z | d, пк | M, 104Mʘ | t, млн лет |
3963 | 1 | 0.010 | 520 | 180 ± 10 | 2.2 ± 2.1 |
2 | 0.010 | 700 | 540 ± 10 | 2.8 ± 0.4 | |
3 | 0.009 | 640 | 730 ± 10 | 2.2 ± | |
4 | 0.009 | 420 | 37 ± 2 | 2.5 ± | |
5 | 0.008 | 850 | 800 ± 40 | 2.2 ± | |
6 | 0.008 | 570 | 34 ± 2 | 2.8 ± 2.4 | |
7 | 0.008 | 660 | 14 ± 1 | 7.9 ± 1.0 | |
8 | – | 560 | 6.3 ± 0.5 | 6.3 ± 0.2 | |
7292 | 1 | 0.005 | 75 | 1.4 ± 0.2 | 3.2 ± 0.7 |
2 | 0.006 | 75 | 5.8 ± 0.4 | – | |
3 | 0.004 | 65 | 1.7 ± 0.1 | 3.2 ± 0.1 | |
4 | – | 80 | 0.64 ± 0.04 | 8.9 ± 0.5 | |
5 | – | 90 | 2.0 ± 0.1 | 13 ± 3 | |
6 | – | 90 | 0.35 ± 0.04 | 18 ± 4 | |
7 | 0.005 | 115 | 0.26 ± 0.04 | 4.0 ± 0.1 | |
8 | – | 125 | 1.00 ± 0.04 | 8.9 ± 0.2 |
Для построения модельной сетки SSP с дискретной НФМ применялся метод Монте-Карло, с помощью которого генерировались случайные изменения дискретной НФМ в зависимости от заданной массы модельного звездного скопления. Для каждой заданной массы скопления с помощью генератора случайных чисел генерировалась дискретная НФМ. При этой случайной выборке для фиксированного значения массы звездной системы число звезд в этой системе было также фиксировано. На следующем этапе, используя полученную случайно выбранную дискретную НФМ, рассчитывалась эволюционная последовательность из 68 моделей SSP для каждой заданной массы скопления с шагом 0.05 dex в интервале и фиксированной металличностью Z, полученной из наблюдений. Для каждого расчета случайно выбранной дискретной НФМ использовалось случайное начальное число, также полученное с помощью генератора случайных чисел. При сравнении наблюдаемых цветов и светимости данного объекта с моделью на каждой итерации используется 50 эволюционных последовательностей дискретных моделей SSP. Количество итераций на объект варьировалось от 2 до 4. Таким образом, количество симуляций дискретной НФМ со случайной выборкой на объект варьировалось от 50 до 200. Общее количество моделируемых моделей для каждой пары оценок массы и возраста объекта составляло от 6800 до 13 600.
Для расчета погрешностей оценок возраста и массы для случая дискретных моделей НФМ на основе цветов модели, соответствующих выбранному узлу сетки с минимальным значением функционала отклонений, был выбран соответствующий интервал на кривой эволюции цвета дискретной модели между двумя «красными вспышками» и рассчитаны коэффициенты интерполяционного полинома. Затем, зная функциональную связь между возрастом и цветом, а также ошибки наблюдений показателей цвета, мы получили точности оценок возраста с помощью формулы Гаусса для вычисления погрешности результата косвенных измерений. Аналогично с использованием функциональной корреляции между модельной светимостью и массой скопления в интервале между двумя «красными вспышками», а также ошибок наблюдений интегральных светимостей объектов были определены погрешности оценки массы.
Сравнение оценок массы и возраста ОЗО, полученных с использованием непрерывно и случайно заселенной НФМ для одних и тех же объектов, проведенное в работе [19], показало, что оценки массы и возраста, полученные в рамках дискретной модели, оказываются систематически большими, что согласуется с систематическим превышением светимостей моделей с непрерывной НФМ светимостей дискретных моделей при одинаковых массах звездного населения (см. [15, рис. 5 и 6]). Эта разница уменьшается для высокомассивных ( ) и очень молодых ( млн лет) или стареющих ( млн лет) звездных группировок.
Рис. 5. Функция светимости для полной выборки ОЗО каталога (черная гистограмма), областей в NGC 3963 (красная) и NGC 7292 (синяя).
Рис. 6. Распределение ОЗО по абсолютным (слева) и нормированным на R25 (справа) галактоцентрическим расстояниям. Обозначения те же, что и на рис. 5.
4. Результаты
4.1. Количество отождествленных ОЗО, их размеры и расположение в галактиках
Всего нами отождествлено 157 областей звездообразования: 93 в галактике NGC 3963 и 64 в NGC 7292. Для всех объектов была проведена фотометрия в полосах UBVRI и в линии Hα (Hα и [N II] 6584 Е раздельно для ОЗО в NGC 3963, и Hα+[N II] - в NGC 7292), определены размеры, описана структура. На рис. 5 показано распределение выявленных ОЗО по видимой звездной величине в полосе B в сопоставлении с полной выборкой объектов каталога. Количество изученных ОЗО в каждой из галактик недостаточно для определения наклона функции светимости и оценки полноты выборки объектов. Полагая, что функция светимости описывается степенным законом, можно качественно оценить полноту выборки по выходу распределения ОЗО на рис. 5 на максимум. Грубо мы оцениваем, что наши выборки для NGC 3963 и NGC 7292 полны, как минимум, до , что примерно соответствует предельным звездным величинам, до которых выборки ОЗО полны, для большинства галактик каталога (рис. 5, см. также работу [19, рис. 4]).
Как мы уже объяснили в разделе 3, оценить массу и возраст звездного населения ОЗО по нашей методике можно лишь для областей класса 0 и тех ОЗО класса 2, для которых имеются данные спектроскопии. Количество ОЗО, удовлетворяющих данным критериям, оказалось 16, по восемь в каждой из галактик.
Галактика NGC 7292 является самой маленькой по линейным размерам среди всех 21 галактики каталога. Как следствие, все ОЗО в ней расположены на галактоцентрических расстояниях кпк, составляя существенную долю близких в центру ОЗО всего каталога (см. левый график на рис. 6). В крупной массивной NGC 3963 ОЗО располагаются в широком диапазоне r, концентрируясь, в основном, в спиральных рукавах галактики (рис. 1, 6).
Несмотря на существенные различия в абсолютных величинах r, распределения ОЗО по галактоцентрическому расстоянию, нормированному на оптический радиус , в обеих галактиках практически совпадают (правый график рис. 6), полностью покрывая диапазон r в пределах .
Поскольку NGC 3963 и NGC 7292 расположены на существенно разных расстояниях до нас (см. табл. 1), вследствие иерархичности процессов звездообразования мы наблюдаем в близкой NGC 7292 молодые области диаметром 40-125 пк (рис. 7). Среднее значение пк для ОЗО в NGC 7292 соответствует характерным размерам звездных ассоциаций [10, 11]. Размеры ОЗО в NGC 3963 в большинстве областей, от 400 до 750 пк со средним пк (рис. 7), типичны для звездных комплексов [10, 11]. Отметим, что наиболее крупные ОЗО в NGC 3963 с пк представляют из себя диффузные объекты относительно невысокой поверхностной яркости, возможно состоящие из нескольких комплексов.
Рис. 7. Распределение ОЗО по размерам для объектов в галактиках из каталога, расположенных ближе 30 Мпк (зеленая гистограмма) и дальше 30 Мпк от нас (черная гистограмма). Остальные обозначения те же, что и на рис. 5.
4.2. Металличность газа, вклад его излучения в общую светимость в широких фотометрических полосах и морфология излучения газа и звезд в ОЗО
Отличия в массах NGC 3963 и NGC 7292 существенно влияют и на различия в химическом составе ОЗО в них. Металличности ОЗО в работе [19] определялись нами по их спектрам несколькими методами «сильных линий» (R [45], S [45], O3N2 [46], NS [47] и H II-ChiMistry [48]); для областей H II в NGC 3963 и NGC 7292 использовались R (линии [O II], [O III] и [N II]) и S (линии [O III], [N II] и [S II]) методы [30]. Металличность ОЗО Z определялась нами по значениям содержания кислорода O/H, полученным по обоим методам, как их среднее арифметическое. Если в гигантской массивной галактике NGC 3963 металличность ОЗО соответствует средней по полной выборке каталога, а ее центральная металличность, по-видимому, является одной из самых высоких среди 21 галактики выборки (рис. 8), то в небольшой маломассивной NGC 7292 металличность ОЗО оказывается наименьшей среди всех галактик каталога (рис. 8). Типичным для неправильных галактик является и отсутствие градиента металличности (см., напр., [49, 50]).
Рис. 8. Распределение ОЗО по металличности (сверху; обозначения те же, что и на рис. 5) и радиальное распределение ОЗО по Z (снизу). Маленькие черные кружки на нижнем графике — полная выборка ОЗО за исключением объектов, чья металличность была определена с помощью метода H II-ChiMistry, красные кружки — ОЗО в NGC 3963, синие кружки — ОЗО в NGC 7292. Соответствующими цветами показаны средние погрешности измерений Z в выборках ОЗО.
Отметим, что значения Z, полученные с помощью всех используемых методов, согласуются друг с другом в пределах погрешностей измерений [19]. Исключение составляет только метод H II-ChiMistry, дающий систематически завышенные оценки Z (см. [19, рис. 7]). Поэтому параметры химического состава газа в ОЗО NGC 3963 и NGC 7292 не связаны с особенностями калибровки того или иного используемого метода.
В разделе 3 мы отмечали важность исследования морфологии излучения газа и звездного компонента ОЗО в линии Hα и широких фотометрических полосах. На рис. 9 приведено распределение изученных ОЗО по морфологическим классам (эволюционным стадиям)[7]. Как можно видеть, количество ОЗО с совпадающими и со смещенными центрами эмиссии газа и излучения звезд примерно одинаково как в NGC 3963 и NGC 7292, так и в полной выборке. Учитывая, что наша методика поиска молодых звездных группировок и областей H II не зависит от морфологического класса ОЗО (разделение на классы происходит на последующих этапах), примерное равенство числа ОЗО классов 1 и 2 не является следствием эффекта селекции, а отражает факт приблизительного равенства времени нахождения молодой звездной области на соответствующих эволюционных стадиях. Количество областей класса 0 (без эмиссии в Hα) составляет 11% для полной выборки ОЗО с известными данными наблюдений в Hα (ОЗО классов 0-2). В изучаемых в данной работе галактиках таких областей оказалось лишь четыре (6%) в NGC 7292 и одна (1%) - в NGC 3963 (рис. 9).
Рис. 9. Распределение ОЗО по морфологии излучения газа и звезд (см. раздел 3) для полной выборки ОЗО в галактиках каталога, для которых имеются данные наблюдений в линии Hα (классы 0–2; черная гистограмма), ОЗО в NGC 3963 (красная) и в NGC 7292 (синяя).
В работе [19] было найдено, что в значительной (более 10%) доле ОЗО вклад излучения газа в фотометрической полосе B превышает 40%. Среди областей в галактиках NGC 3963 и NGC 7292 объектов с таким высоким вкладом излучения газа не оказалось: в большинстве ОЗО этот вклад не превышает 15%. При этом в ОЗО галактики NGC 7292 вклад излучения газа в B (среднее значение 12%, максимальное - 35%) оказался систематически большим, чем в ОЗО галактики NGC 3963 (среднее - 5%, максимальное - 22%). Для областей класса 2 данные по вкладу газа представлены в табл. 3.
Таблица 3. Фотометрические параметры ОЗО
N | NGC | Координаты,ʺ | m(B), mag | M(B), mag | U – B | B – V | Вклад газа |
1528 | 3963 | 13.1 E, 24.1 S | 21.40 ± 0.02 | –14.90 ± 0.09 | –1.28 ± 0.03 | –0.45 ± 0.04 | 0.14 |
1531 | 3963 | 3.3 W, 28.0 S | 20.05 ± 0.03 | –16.56 ± 0.06 | –0.98 ± 0.04 | –0.29 ± 0.04 | 0.06 |
1532 | 3963 | 20.9 E, 22.3 S | 21.30 ± 0.02 | –16.32 ± 0.23 | –1.13 ± 0.05 | –0.38 ± 0.06 | 0.03 |
1540 | 3963 | 34.8 E, 8.0 N | 23.30 ± 0.07 | –13.35 ± 0.24 | –1.06 ± 0.10 | –0.37 ± 0.12 | 0.22 |
1556 | 3963 | 37.2 E, 21.7 S | 20.27 ± 0.02 | –16.35 ± 0.06 | –1.12 ± 0.03 | –0.33 ± 0.03 | 0.08 |
1564 | 3963 | 43.4 E, 18.4 S | 22.57 ± 0.13 | –13.54 ± 0.86 | –1.25 ± 0.23 | –0.29 ± 0.28 | 0.12 |
1576 | 3963 | 51.3 W, 27.4 S | 21.69 ± 0.03 | –11.91 ± 0.07 | –0.46 ± 0.04 | +0.08 ± 0.05 | 0.03 |
1597 | 3963 | 64.9 E, 25.2 N | 22.52 ± 0.01 | –11.20 ± 0.01 | –0.56 ± 0.02 | +0.61 ± 0.02 | 0 |
1604 | 7292 | 0.0, 0.0 | 20.53 ± 0.14 | –10.32 ± 0.20 | –0.86 ± 0.19 | –0.19 ± 0.21 | 0.09 |
1605 | 7292 | 2.4 W, 2.7 N | 21.28 ± 0.14 | –10.89 ± 0.34 | –1.31 ± 0.19 | –0.40 ± 0.18 | 0.06 |
1617 | 7292 | 16.8 W, 8.3 N | 19.78 ± 0.04 | –10.85 ± 0.05 | –1.11 ± 0.06 | +0.13 ± 0.05 | 0.35 |
1637 | 7292 | 26.4 E, 5.6 N | 22.05 ± 0.09 | –7.48 ± 0.09 | –1.02 ± 0.10 | –0.09 ± 0.12 | 0 |
1642 | 7292 | 27.5 E, 5.1 S | 20.43 ± 0.05 | –9.10 ± 0.05 | –0.74 ± 0.06 | –0.17 ± 0.08 | 0 |
1647 | 7292 | 33.9 E, 13.6 N | 22.45 ± 0.11 | –7.08 ± 0.11 | –0.63 ± 0.19 | –0.15 ± 0.16 | 0 |
1657 | 7292 | 36.0 E, 18.9 S | 22.86 ± 0.19 | –8.06 ± 0.25 | –1.08 ± 0.23 | –0.10 ± 0.23 | 0.24 |
1658 | 7292 | 34.4 E, 28.0 N | 20.46 ± 0.01 | –9.07 ± 0.01 | –0.62 ± 0.02 | –0.12 ± 0.03 | 0 |
4.3. Фотометрические параметры ОЗО
Положение изученных ОЗО на двухцветных диаграммах показано на рис. 10, 11. На первом из рисунков представлены показатели цвета ОЗО, исправленные за поглощение в Галактике и поглощение, связанное с наклоном диска галактик. Несмотря на то, что реальное поглощение в области звездообразования, как правило, превышает сумму поглощений [19], а учет вклада газа может смещать ОЗО в сторону от направления вектора покраснения (см. [17, рис. 12]), подавляющее большинство объектов каталога расположено достаточно компактно на диаграммах - в областях, соответствующих молодым звездным системам с непрерывной или дискретной НФМ (рис. 10). Исключение составляет лишь диаграмма , где наблюдаются ОЗО с очень большими показателями цвета вплоть до 1.2-1.3. Это является следствием большого вклада газа в поток в полосе R [19]. Объекты в NGC 3963 и NGC 7292, исследуемые в данной работе, на диаграммах рис. 10 не выделяются среди ОЗО полной выборки каталога.
Рис. 10. Двухцветные диаграммы , и . Показаны ОЗО с показателями цвета, исправленными за галактическое поглощение AG и поглощение, вызванное наклоном диска галактик, Ain. Зелеными точками показаны ОЗО из каталога Гусева и др. [19], красными кружками — ОЗО в NGC 3963, синими кружками — ОЗО в NGC 7292. Средние погрешности измерений показателей цвета показаны барами ошибок соответствующего цвета. Черные кривые — эволюционные треки звездной системы с непрерывной НФМ и Z = 0.008 в диапазоне возрастов t от 1 до 100 млн лет; черные крестики, соединенные пунктиром, демонстрируют пример эволюционной последовательности звездной системы со случайно заселенной НФМ с массой и Z = 0.008 в диапазоне t от 1 до 100 млн лет. Черные толстые отрезки в углах диаграмм параллельны вектору покраснения.
На диаграммах рис. 11, где цвета объектов исправлены за вклад газа и поглощение, полученное из бальмеровского декремента, облако точек, обозначающих показатели цвета, так же концентрируется вдоль модельных эволюционных последовательностей. Степень концентрации при этом меньшая, чем на диаграммах рис. 10, что объясняется меньшим числом объектов (лишь ОЗО класса 0 и класса 2 с известным бальмеровским декрементом) и большими погрешностями измерений «истинных» показателей цвета. На диаграмме (B - V) - (V - R) исчезает группа объектов с экстремально большими значениями V - R, что может свидетельствовать о корректном учете вклада газа в потоки в фотометрических полосах.
Рис. 11. То же, что и на рис. 10, но для «истинных» показателей цвета звездного населения ОЗО, исправленных за вклад газа и поглощение, вычисленное по бальмеровскому декременту. Обозначения те же, что и на рис. 10.
Рис. 12. Диаграмма «цвет-светимость» для «истинных» абсолютных звездных величин M(B) и показателей цвета B – V звездного населения ОЗО в галактиках. Фиолетовыми точками показаны рассеянные звездные скопления нашей Галактики из каталога [51]. Голубыми крестиками, соединенными пунктиром, показан пример эволюционной последовательности звездной системы со случайно заселенной НФМ с массой и Z = 0.018 в диапазоне t от 1 млн до 1 млрд лет. Черными кривыми обозначены эволюционные треки звездной системы с непрерывной НФМ, массами (верхняя кривая) и (нижняя кривая) и Z = 0.008 в диапазоне возрастов t от 1 до 100 млн лет. Остальные обозначения те же, что и на рис. 10.
Отметим, что на диаграмме (U - B) - (B - V) большинство ОЗО из NGC 3963 располагается в левом верхнем углу диаграммы - в области наиболее молодых звездных популяций, а половина из восьми областей в близкой галактике NGC 7292 имеют показатели цвета соответствующие звездным системам с дискретно населенной НФМ в период отсутствия вспышек (звезд на стадии красных (сверх)гигантов; рис. 2-4, 11).
Как мы уже указывали в разделе 3, физические параметры ОЗО оценивались нами с использованием двух показателей цвета: U - B и B - V. ОЗО в полосах R и I выделяются гораздо хуже, чем в коротковолновых полосах. В некоторых случаях нам даже не удалось получить их фотометрию с удовлетворительной погрешностью, в связи с чем и количество ОЗО на диаграммах (B - V) - (V - R) и (B - V) - (V - I) меньше, чем на диаграмме (U - B) - (B - V) (рис. 11). Кроме этого, потоки в R и I слабо чувствительны к изменению возраста в молодой звездной системе и, наоборот, более чувствительны к возможному присутствию старого звездного населения (например, при не единовременной или повторной вспышке звездообразования, плохо описываемых моделями SSP). Для потоков в полосе R дополнительным фактором является и большой вклад излучения газа в полный поток. Погрешности спектроскопических данных вносят дополнительную неопределенность в измерения в R. Как следствие, на диаграммах (B - V) - (V - R) и (B - V) - (V - I) согласие с моделями отсутствует для значительного количества исследованных ОЗО (рис. 11). Отметим также, что стохастические эффекты НФМ проявляются в длинноволновых полосах до больших масс звездных систем, чем в коротковолновых U, B, V [16].
На диаграмме «цвет-светимость» (рис. 12) дополнительно к объектам нашего каталога мы показываем положение рассеянных звездных скоплений нашей Галактики из каталога [51]. ОЗО в NGC 3963 и NGC 7292 на диаграмме не выделяются от объектов полной выборки нашего каталога. При этом в удаленной NGC 3963 мы ожидаемо наблюдаем высокомассивные звездные комплексы, а в близкой NGC 7292 - относительно маломассивные звездные ассоциации (рис. 12). Наименее массивные ОЗО в NGC 7292 по своим светимостям соответствуют наиболее массивным рассеянным звездным скоплениям Галактики (рис. 12).
4.4. Оценки массы и возраста звездного компонента областей звездообразования
Диапазон масс звездного населения в ОЗО галактики NGC 7292, , соответствует типичным массам объектов каталога (рис. 13). Наиболее массивные комплексы в NGC 3963 достигают и являются одними из самых массивных ОЗО среди всех объектов каталога (рис. 13). Лишь крупнейшие комплексы в NGC 2336, NGC 5351 и NGC 7678 имеют большую массу [19].
Рис. 13. Распределение ОЗО по массам для полной выборки объектов каталога (черная гистограмма), ОЗО класса 2 в NGC 3963 (красная), ОЗО класса 0 в NGC 3963 (зеленая), ОЗО класса 2 в NGC 7292 (синяя) и ОЗО класса 0 в NGC 7292 (голубая).
Отметим, что ОЗО без эмиссии в линии Hα (класс 0), как правило, менее массивны в обеих галактиках (в NGC 7292 объекты класса 0 имеют среднюю при медианной , против средней и медианной массы для объектов класса 2; единственный объект класса 0 в NGC 3963 оказался наименее маломассивным из восьми ОЗО с измеренной массой). Это можно объяснить эффектами селекции: при сравнимых видимых звездных величинах поглощение в областях с эмиссией газа в среднем на в B больше. Небольшое падение светимости с возрастом не компенсирует влияния избыточного поглощения. Исключением является самая маломассивная область H II в NGC 7292, имеющая также и наибольшее значение m(B) среди восьми областей с оценками массы в галактике. Данный объект не был выделен программой SExtractor и попал в нашу выборку благодаря более глубокому поиску в фотометрических полосах для областей H II, изученных в работе [30].
Среди 16 ОЗО с полученными оценками массы, для 15 из них удалось оценить возраст звездного населения. Для одной из областей в NGC 7292 погрешность оценки t оказалась слишком большой для какого-либо качественного анализа. Распределение ОЗО по возрастам представлено на рис. 14. При полном диапазоне измеренных возрастов от 2.2 до 18 млн лет, лишь две области в NGC 7292 имеют t > 10 млн лет. В среднем комплексы в NGC 3963 показывают более молодой возраст: шесть из восьми ОЗО в галактике моложе 3 млн лет, а остальные два моложе 8 млн лет. В NGC 7292 мы не нашли звездных ассоциаций моложе 3.1 млн лет.
Рис. 14. Распределение ОЗО по возрастам. Обозначения те же, что и на рис. 13.
Различие в возрастах ОЗО является следствием того, что в NGC 7292 значительная доля исследуемых объектов не имеет эмиссии в Hα (не является областями H II). Как указывалось в разделе 3, классы 0 и 2 представляют собой различные эволюционные стадии развития областей звездообразования. Распределение на рис. 14 четко показывает это: возраст областей H II лежит в диапазоне от 2.2 до 7.9 млн лет, а области без эмиссии газа имеют t от 6.3 до 18 млн лет. Подобное разделение служит дополнительным аргументом в пользу корректности проведенных нами оценок t.
Расположение ОЗО различного возраста в галактиках показано на рис. 15. Возраст объектов, для которых нам не удалось провести оценку t, можно грубо оценить по их морфологическому классу - индикатору эволюционного развития ОЗО (см. раздел 3). Возрастная граница ОЗО между классами 1 и 2 примерно составляет 4-5 млн лет [12]. Такие объекты отмечены маленькими кружками на рис. 15, а их цвет примерно соответствует цвету ОЗО соответствующего возраста (см. легенду в правой части рисунка).
Рис. 15. Расположение ОЗО различного возраста и эволюционных классов в галактиках NGC 3963 (слева) и NGC 7292 (справа). Большими кружками обозначены ОЗО с измеренными оценками возраста, маленькими кружками — прочие ОЗО классов 1 и 2. Фиолетовые цифры соответствуют номерам ОЗО из табл. 4.
В галактике NGC 3963 ОЗО моложе 6 млн лет располагаются большей частью в спиральных рукавах внутренней части диска. Во внешней части искривленной южной спирали (рис. 1, 15), по-видимому, испытывающей влияние соседней галактики NGC 3958 [31], подавляющее большинство комплексов принадлежит классу 1, а единственный комплекс с оценкой t имеет возраст 7.9 млн лет.
В NGC 7292 наиболее молодые области (t < 4 млн лет или класса 2) располагаются в центре бара, около концов бара (но не в самых ярких ОЗО на концах), а также на южных и восточных окраинах диска (рис. 15). Отметим, что в крупных звездных комплексах как на восточном, так и на западном концах бара относительно более старые яркие ОЗО располагается в центре звездного комплекса (зеленые кружки на карте), а молодые ОЗО - на его периферии (голубые и синие кружки). Внутри звездных комплексов галактики, достигающих 350- 400 пк в диаметре, наблюдается близкие ОЗО с относительно большой разницей в возрасте, вплоть до 10-12 млн лет. Это является следствием не единовременного звездообразования в крупных звездных комплексах. Характерная продолжительность звездообразования на масштабах пк составляет порядка 20 млн лет (см. [5, рис. 8]). В близкой к NGC 7292 по массе и светимости галактике с низкой поверхностной яркостью NGC 5585 характерная разница возрастов ОЗО, расположенных на расстоянии 100 пк друг от друга, так же составляет млн лет (см. [52, рис. 9]). Самая яркая, динамически выделенная область H II в NGC 7292, расположенная на восточном конце бара и ранее принимавшаяся за центр галактики, была подробно рассмотрена нами в работе [32] (см. [32, рис. 8]). Ее возраст был оценен нами в работе [32] в 6-8 млн лет.
В табл. 3 и 4 мы приводим некоторые сведения о 16 ОЗО в галактиках, для которых были получены оценки физических параметров звездного населения. В табл. 3 даны порядковый номер N по каталогу, координаты в секундах дуги относительно центра, видимая (m(B)) и «истинная» абсолютная звездная величина (M(B)), «истинные» показатели цвета U - B и B - V, а также вклад газа в общий поток в полосе B. В табл. 4 мы приводим номер объекта из рис. 15, металличность газа Z, размер ОЗО d, массу M и возраст t звездного населения. Вклад газа равный 0 в табл. 3 и отсутствие данных по Z в табл. 4 указывает на отсутствие эмиссии в линии Hα (эволюционный класс 0). Полные данные о параметрах этих и других 141 ОЗО в NGC 3963 и NGC 7292 приведены в версии 3 нашего каталога[8].
5. Обсуждение результатов
В данном разделе мы рассмотрим некоторые общие зависимости для всех объектов каталога, имеющие как фундаментальное, так и методическое значение.
Одним из возможных индикаторов возраста области H II является эквивалентная ширина эмиссионных линий бальмеровской серии водорода [53]. В работе [18] мы ввели индекс R - Hα = = R + 2.5log[F(Hα) + [N II]) где R - видимая звездная величина в полосе R и F(Hα) + [N II]) - поток в эрг · с-1 см-2, который может служить заменой EW(Hα) (см. [19, рис. 17]). Отметим, что для NGC 3963 - единственной из 21 галактики каталога, для которой были отдельно измерены потоки в линиях Hα и [N II] λ 6584 Е, мы рассчитывали индекс R - Hα как R + 2.5log[F(Hα) + F(1.33[N II]λ6584), где коэффициент 1.33 отражает вклад эмиссии в линии [N II] λ 6548 Е.
Рис. 17. Зависимость «размер-возраст» для ОЗО из полной выборки каталога (маленькие кружки) и областей в NGC 3963 и NGC 7292 (большие черные кружки). Многокомпонентные ОЗО (двойные, тройные и т. д.) на графике не показаны.
На рис. 16 показана зависимость между возрастом ОЗО и индексом R - Hα в ней. Мы использовали индекс R - Hα вместо EW(Hα) из-за большей однородности измерений R - Hα. Величина EW(Hα) чувствительна к выбору области фона, вычитаемого из континуума спектра, а в случае щелевой спектроскопии на нее также могут влиять неоднородности распределения эмиссии в Hα и звездного континуума внутри ОЗО. Критику использования параметра EW(Hα) как индикатора возраста см. в работах [54, 55, 29].
Рис. 16. Зависимость между возрастом звездного населения ОЗО и индексом R – Hα. Маленькие кружки — объекты из каталога [19], большие кружки — объекты в NGC 3963 и NGC 7292. Черным цветом обозначены ОЗО с погрешностью оценки возраста dex, красным — с погрешностью больше 0.2 dex.
В отличие от аналогичного графика в работе [19], на рис. 16 мы приводим объекты с любыми ошибками в оценке t; красным цветом выделены области с dex. Большими кружками выделены 10 объектов класса 2 с оценками возрастов из галактик, исследованных в данной работе. Как видно из рисунка, включение новых данных не влияет на выводы, полученные в работе [19]: если минимальное значение индекса R - Hα для ОЗО соответствующего возраста уменьшается с ростом (с для млн лет до для млн лет), то верхний предел (соответствует EW(H Е) не зависит от возраста ОЗО. Таким образом, индекс R - Hα и EW(Hα) являются плохими индикаторами возраста молодой звездной системы. Единственный вывод, который возможен из анализа рис. 16, заключается в том, что индекс (EW(H Е) свидетельствует о возрасте ОЗО большем, чем 3 млн. лет.
Среди ОЗО нашей выборки присутствуют как крупные звездные комплексы и агрегаты - сложносоставные системы, включающие в себя группы OB-ассоциаций и молодых скоплений, так и отдельные звездные ассоциации и скопления. Гравитационно несвязанные звездные ассоциации расширяются с возрастом [5, 9]. Размеры молодых скоплений слабо зависят от возраста. Линейное разрешение наших наблюдений даже в ближайших галактиках составляет 30-40 пк и не позволяет выявить более компактные звездные скопления. Разделение наиболее молодых звездных систем ( млн лет) по своим параметрам на ассоциации и скопления затруднительно в принципе [56], а с нашим линейным разрешением - невозможно.
Положение изученных ОЗО на диаграмме «размер-возраст» (рис. 17) иллюстрирует наличие различных типов молодых звездных объектов и их особенности. Выделяется группа крупных комплексов звездообразования ( пк), в том числе и в NGC 3963, причем почти все они моложе 10 млн лет. Это является следствием двух основных факторов. Во-первых, звездные комплексы, за редчайшими исключениями, являются относительно недолговечными образованиями, разрушаясь за 100-200 млн лет [3]. Во-вторых, звездообразование в них происходит не единовременно. На оценку фотометрического возраста комплекса основной вклад вносят последние по времени вспышки звездообразования в его компонентах. Стоит также учитывать и эффекты селекции: большинство ОЗО идентифицировались по излучению в линии Hα.
Большинство ОЗО диаметром до 100 пк и старше 10 млн лет, по-видимому, являются молодыми звездными скоплениями. На рис. 17 для них не наблюдается никакой зависимости между возрастом и размером. Отметим отсутствие среди ОЗО возрастом 4-8 млн лет компактных объектов с пк. Области H II данного возраста находятся на стадии расширения ионизированной газовой оболочки, эмиссионное излучение которой вносит вклад в общий поток в фотометрических полосах U, B и др. Размеры ОЗО на данной эволюционной стадии, определяемые нами по изображениям в B, являются фактически размерами расширяющейся газовой оболочки.
Важное фундаментальное значения имеют и зависимости «масса-размер» для ОЗО и их прародителей - гигантских молекулярных облаков (ГМО). Корреляция между массами и размерами ГМО известна с 1981 г. [57]. Близкое соотношение M к было получено и для ОЗО: [58], [59]. Хотя последние исследования показывают более сложные соотношения между массами и размерами как в газовых, так и в звездных конгломерациях (см. обзор в [60]), зависимость для ГМО и ОЗО хорошо объясняется в рамках современных теорий физики межзвездной среды, а сдвиг dex между зависимостями между ГМО и ОЗО объясняется эффективностью звездообразования (<10%) в ГМО [57-59].
На рис. 18 приведена диаграмма «масса-размер» для многочисленных выборок ГМО [61-63] и ОЗО [58, 59, 64]. В отличии от работы [19, рис. 20], где мы включили только изолированные одиночные ОЗО нашего каталога, здесь добавлены и одиночные объекты - части более крупных очагов звездообразования. График «масса-размер» показывает, что положения ОЗО нашей выборки (синие и черные кружки) наилучшим образом согласуются с результатами работы [59] (зеленые кружки), продолжая полученную ими зависимость для комплексов в сторону менее крупных звездных ассоциаций. Наши результаты для части объектов каталога не противоречат и данным из работ [58] (фиолетовый параллелограмм) и [64] (голубой треугольник). Однако здесь большую роль оказывают эффекты, связанные с линейным разрешением наших наблюдений: для ОЗО с диаметром меньшем предела разрешения наблюдений величина d завышена и равна величине линейного разрешения для соответствующей галактики. Этот эффект хорошо виден на примере ОЗО из NGC 3963 и NGC 7292 (черные кружки на рис. 18), которые не показывают зависимости M от d отдельно для выборок ОЗО в удаленной NGC 3963 (верхняя правая группа черных кружков на рисунке) и близкой NGC 7292 (левая нижняя группа).
Рис. 18. Зависимость «масса-размер» для ГМО (красные точки из работ [61, 62, 63]) и ОЗО (зеленые кружки [59], фиолетовый параллелограмм [58], область внутри голубого треугольника взята из работы [64]). Синие кружки — одиночные ОЗО из нашего каталога [19] с ; черные кружки — ОЗО в NGC 3963 и NGC 7292. Черная сплошная линия — зависимость для молодых массивных звездных скоплений согласно работе [59]; черная пунктирная линия — зависимость для ГМО согласно работам [61, 59].
6. Заключение и выводы
В данной работе мы представляем результаты исследования физических параметров звездного населения в 93 областях звездообразования крупной спиральной галактики с признаками пекулярности NGC 3963 и 64 ОЗО в галактике магелланова типа NGC 7292. Полученные данные дополняют наши исследования в работе [19], в которой были изучены 1510 ОЗО в 19 галактиках, и включены в третью версию каталога фотометрических, физических и химических параметров областей звездообразования, доступного в электронной форме на сайте МГУ ГАИШ[9].
Мы акцентируем внимание на двух ключевых аспектах используемой методики оценки возраста и массы ОЗО с помощью эволюционных моделей звездного населения:
- использование величины поглощения в ОЗО, определенное по бальмеровскому декременту, корректно лишь для областей H II, в которых фотометрические центры излучения газа (в линии Hα) и звезд (в широких фотометрических полосах) совпадают;
- для анализа звездных систем с массой менее необходимо использовать эволюционные модели с дискретной (случайно заселенной) НФМ.
Среди 157 отождествленных ОЗО в галактиках, нам удалось получить оценки металличности для 27, поглощения по бальмеровскому декременту - для 33, массы - для 16 и возраста - для 15 областей звездообразования.
К основным выводам работы можно отнести следующие.
- Количество областей H II с совпадающими и со смещенными центрами эмиссии газа и излучения звезд примерно одинаково. По-видимому, это отражает факт приблизительного равенства времени нахождения молодой звездной области на соответствующих эволюционных стадиях.
- Диаметр ОЗО в NGC 3963, пк, типичен для звездных комплексов, а в NGC 7292, пк, для звездных ассоциаций.
- Диапазон масс звездного населения в изученных ОЗО галактики NGC 3963 составляет от до , в ОЗО NGC 7292 - от до . ОЗО без эмиссии в линии Hα оказались в среднем менее массивны в обеих галактиках, что, по-видимому, объясняется эффектами селекции.
- Измеренный возраст звездного населения ОЗО лежит в диапазоне от 2.2 до 18 млн лет, причем лишь две области (обе в NGC 7292) имеют возраст старше 10 млн лет. Возраст ОЗО четко коррелирует с наличием эмиссии в линии Hα: области H II в галактиках моложе 6-8 млн лет ( млн лет), а области без эмиссии газа - старше ( млн лет).
- Мы подтверждаем вывод работы [19] о том, что EW(Hα) и индекс R - Hα являются плохими индикаторами оценки возраста молодой звездной системы.
- Расположение ОЗО нашей выборки на диаграмме «масса-размер» наилучшим образом согласуется с результатами работы [59], продолжая полученную ими зависимость для комплексов в сторону менее крупных звездных ассоциаций. Отклонения от зависимости, полученной в работе [59], вызваны эффектами, связанными с линейным разрешением наших наблюдений.
Финансирование
Развитие приборной базы Кавказской горной обсерватории ГАИШ МГУ проводится при поддержке Программы развития МГУ имени М. В. Ломоносова. Работа по обработке и анализу узкополосных снимков NGC 3963 выполнена в рамках государственного задания САО РАН, утвержденного Министерством науки и высшего образования Российской Федерации. ВСК благодарит за поддержку Фонд развития теоретической физики и математики «БАЗИС» (проект 23-2-2-6-1).
Благодарности
Авторы благодарят рецензента за ценные замечания и комментарии. Мы выражаем благодарность А. Е. Перепелицыну (САО РАН) за техническую поддержку наблюдений на приборе MaNGaL. В работе использовались открытые данные баз HyperLEDA[10] и NASA/IPAC Extragalactic Database" href="#_ftn11" name="_ftnref11">[11], изохроны падуанской группы с сервера CMD[12], программа SExtractor" href="#_ftn13" name="_ftnref13">[13] и система обработки изображений ESO-MIDAS[14], разработанная в Южной Европейской обсерватории.
Конфликт интересов
Авторы заявляют об отсутствии конфликта интересов.
About the authors
А. S. Gusev
Lomonosov Moscow State University, Sternberg Astronomical Institute
Author for correspondence.
Email: gusev@sai.msu.ru
Russian Federation, Moscow
F. Kh. Sakhibov
University of Applied Sciences, Technische Hochschule Mittelhessen
Email: gusev@sai.msu.ru
Germany, Friedberg
A. V. Moiseev
Lomonosov Moscow State University, Sternberg Astronomical Institute; Special Astrophysical Observatory, Russian Academy of Sciences
Email: gusev@sai.msu.ru
Russian Federation, Moscow; Nizhnii Arkhyz
V. S. Kostiuk
Lomonosov Moscow State University, Sternberg Astronomical Institute
Email: gusev@sai.msu.ru
Russian Federation, Moscow
D. V. Oparin
Special Astrophysical Observatory, Russian Academy of Sciences
Email: gusev@sai.msu.ru
Russian Federation, Nizhnii Arkhyz
References
- Y. N. Efremov, Sites of star formation in galaxies: star complexes and spiral arms (Moscow: Nauka, 1989).
- B. G. Elmegreen, Astrophys. J. 433, 39 (1994).
- Y. N. Efremov, Astron. J. 110, 2757 (1995).
- B. G. Elmegreen and Y. N. Efremov, Astrophys. J. 466, 802 (1996).
- Y. N. Efremov and B. G. Elmegreen, Monthly Not. Roy. Astron. Soc. 299(2), 588 (1998), arXiv:astro-ph/9805259.
- M. C. Odekon, Astrophys. J. 681(2), 1248 (2008).
- B. G. Elmegreen, The Galaxy Disk in Cosmological Context, IAU Symposium 254, edited by J. Andersen, B. Nordström, and J. Bland-Hawthorn, p. 289 (2009), arXiv:0810.5406 [astro-ph].
- R. de la Fuente Marcos and C. de la Fuente Marcos, Astrophys. J. 700(1), 436 (2009), arXiv:0905.1889 [astro-ph.GA].
- S. F. Portegies Zwart, S. L. W. McMillan, and M. Gieles, Ann. Rev. Astron. Astrophys. 48, 431 (2010), arXiv:1002.1961 [astro-ph.GA].
- I. N. Efremov, G. R. Ivanov, and N. S. Nikolov, Astrophys. Space Sci. 135(1), 119 (1987).
- G. R. Ivanov, Astrophys. Space Sci. 178(2), 227 (1991).
- B. C. Whitmore, R. Chandar, H. Kim, C. Kaleida, et al., Astrophys. J. 729(2), id. 78 (2011), arXiv:1103.4026 [astro-ph.GA].
- K. Hollyhead, N. Bastian, A. Adamo, E. Silva-Villa, J. Dale, J. E. Ryon, and Z. Gazak, Monthly Not. Roy. Astron. Soc. 449(1), 1106 (2015), arXiv:1502.03823 [astro-ph.GA].
- J. Kim, M. Chevance, J. M. D. Kruijssen, A. Schruba, et al., Monthly Not. Roy. Astron. Soc. 504(1), 487 (2021), arXiv:2012.00019 [astro-ph.GA].
- A. E. Piskunov, N. V. Kharchenko, E. Schilbach, S. Röser, R. D. Scholz, and H. Zinnecker, Astron. and Astrophys. 525, id. A122 (2011), arXiv:1010.2309 [astro-ph.GA].
- M. Cerviño, New Astron. Rev. 57(5), 123 (2013), arXiv:1312.0015 [astro-ph.IM].
- A. S. Gusev, F. Sakhibov, A. E. Piskunov, N. V. Kharchenko, et al., Monthly Not. Roy. Astron. Soc. 457(3), 3334 (2016), arXiv1601.07470 [astro-ph.GA].
- A. S. Gusev, E. V. Shimanovskaya, N. I. Shatsky, F. Sakhibov, A. E. Piskunov, and N. V. Kharchenko, Open Astronomy 27(1), 98 (2018).
- A. S. Gusev, F. Sakhibov, O. V. Egorov, V. S. Kostiuk, and E. V. Shimanovskaya, Monthly Not. Roy. Astron. Soc. 525(1), 742 (2023), arXiv:2307.06237 [astro-ph.GA].
- D. Calzetti, J. C. Lee, E. Sabbi, A. Adamo, et al., Astron. J. 149(2), id. 51 (2015), arXiv:1410.7456 [astro-ph.GA].
- E. Emsellem, E. Schinnerer, F. Santoro, F. Belfiore, et al., Astron. and Astrophys. 659, id. A191 (2022), arXiv:2110.03708 [astro-ph.GA].
- J. C. Lee, B. C. Whitmore, D. A. Thilker, S. Deger, et al., Astrophys. J. Suppl. 258(1), id. 10 (2022), arXiv:2101.02855 [astro-ph.GA].
- A. Adamo, J. E. Ryon, M. Messa, H. Kim, et al., Astrophys. J. 841(2), 131 (2017), arXiv:1705.01588 [astro-ph.GA].
- B. C. Whitmore, J. C. Lee, R. Chandar, D. A. Thilker, et al., Monthly Not. Roy. Astron. Soc. 506(4), 5294 (2021), arXiv:2107.13049 [astro-ph.GA].
- D. A. Thilker, B. C. Whitmore, J. C. Lee, S. Deger, et al., Monthly Not. Roy. Astron. Soc. 509(3), 4094 (2022), arXiv:2106.13366 [astro-ph.GA].
- K. L. Larson, J. C. Lee, D. A. Thilker, B. C. Whitmore, et al., Monthly Not. Roy. Astron. Soc. 523(4), 6061 (2023), arXiv:2212.11425 [astro-ph.GA].
- B. Groves, K. Kreckel, F. Santoro, F. Belfiore, et al., Monthly Not. Roy. Astron. Soc. 520(4), 4902 (2023), arXiv:2301.03811 [astro-ph.GA].
- J. A. Turner, D. A. Dale, J. C. Lee, M. Boquien, et al., Monthly Not. Roy. Astron. Soc. 502(1), 1366 (2021), arXiv:2101.02134 [astro-ph.GA].
- F. Scheuermann, K. Kreckel, A. T. Barnes, F. Belfiore, et al., Monthly Not. Roy. Astron. Soc. 522(2), 2369 (2023), arXiv:2303.12101 [astro-ph.GA].
- A. S. Gusev and A. V. Dodin, Monthly Not. Roy. Astron. Soc. 505(2), 2009 (2021), arXiv:2105.06203 [astro-ph.GA].
- G. A. van Moorsel, Astron. and Astrophys. Suppl. Ser. 53, 271 (1983).
- A. S. Gusev, A. V. Moiseev, and S. G. Zheltoukhov, Astrophys. Bull. 78(3), 293 (2023), arXiv:2309.02360 [astro-ph.GA].
- S. A. Potanin, A. A. Belinski, A. V. Dodin, S. G. Zheltoukhov, et al., Astron. Letters 46(12), 836 (2020), arXiv:2011.03061 [astro-ph.IM].
- B. P. Artamonov, V. V. Bruevich, A. S. Gusev, O. V. Ezhkova, et al., Astron. Rep. 54(11), 1019 (2010).
- V. V. Bruevich, A. S. Gusev, and S. A. Guslyakova, Astron. Rep. 54(5), 375 (2010).
- A. U. Landolt, Astron. J. 104, 340 (1992).
- A. U. Landolt, Astron. J. 146(5), id. 131 (2013).
- J. L. Clem and A. U. Landolt, Astron. J. 152(4), id. 91 (2016).
- A. Moiseev, A. Perepelitsyn, and D. Oparin, Exp. Astron. 50(2–3), 199 (2020), arXiv:2005.14598 [astro-ph.IM].
- P. A. James, N. S. Shane, J. E. Beckman, A. Cardwell, et al., Astron. and Astrophys. 414, 23 (2004), arXiv:astro-ph/0311030.
- G. Bertelli, A. Bressan, C. Chiosi, F. Fagotto, and E. Nasi, Astron. and Astrophys. Suppl. Ser. 106, 275 (1994).
- A. Bressan, P. Marigo, L. Girardi, B. Salasnich, C. Dal Cero, S. Rubele, and A. Nanni, Monthly Not. Roy. Astron. Soc. 427(1), 127 (2012), arXiv:1208.4498 [astro-ph.SR].
- J. Tang, A. Bressan, P. Rosenfield, A. Slemer, P. Marigo, L. Girardi, and L. Bianchi, Monthly Not. Roy. Astron. Soc. 445(4), 4287 (2014), arXiv:1410.1745 [astro-ph.SR].
- B. C. Whitmore, R. Chandar, F. Schweizer, B. Rothberg, et al., Astron. J. 140(1), 75 (2010), arXiv:1005.0629 [astro-ph.EP].
- L. S. Pilyugin and E. K. Grebel, Monthly Not. Roy. Astron. Soc. 457(4), 3678 (2016), arXiv:1601.08217 [astro-ph.GA].
- M. Pettini and B. E. J. Pagel, Monthly Not. Roy. Astron. Soc. 348(3), L59 (2004), arXiv:astro-ph/0401128.
- L. S. Pilyugin and L. Mattsson, Monthly Not. Roy. Astron. Soc. 412(2), 1145 (2011), arXiv:1011.1431 [astro-ph.CO].
- E. Péerez-Montero, Monthly Not. Roy. Astron. Soc. 441(3), 2663 (2014), arXiv:1404.3936 [astro-ph.GA].
- M. G. Richer and M. L. McCall, Astrophys. J. 445, 642 (1995).
- L. Hernández-Martnez, M. Peña, L. Carigi, and J. Garca-Rojas, Astron. and Astrophys. 505(3), 1027 (2009), arXiv:0906.4402 [astro-ph.CO].
- N. V. Kharchenko, A. E. Piskunov, S. Röser, E. Schilbach, R.-D. Scholz, and H. Zinnecker, Astron. and Astrophys. 504(2), 681 (2009).
- A. S. Gusev and E. V. Shimanovskaya, Monthly Not. Roy. Astron. Soc. 488(3), 3045 (2019), arXiv:1907.02934 [astro-ph.GA].
- M. V. F. Copetti, M. G. Pastoriza, and H. A. Dottori, Astron. and Astrophys. 156(1–2), 111 (1986).
- C. Morisset, G. Delgado-Inglada, S. F. Sánchez, L. Galbany, et al., Astron. and Astrophys. 594, id. A37 (2016), arXiv:1606.01146 [astro-ph.GA].
- K. Kreckel, O. V. Egorov, F. Belfiore, B. Groves, et al., Astron. and Astrophys. 667, id. A16 (2022), arXiv:2207.10364 [astro-ph.GA].
- M. Gieles and S. F. Portegies Zwart, Monthly Not. Roy. Astron. Soc. 410(1), L6 (2011), arXiv:1010.1720 [astro-ph.GA].
- R. B. Larson, Monthly Not. Roy. Astron. Soc. 194, 809 (1981).
- N. Bastian, M. Gieles, Y. N. Efremov, and H. J. G. L. M. Lamers, Astron. and Astrophys. 443(1), 79 (2005), arXiv:astro-ph/0508110.
- A. Adamo, G. Östlin, N. Bastian, E. Zackrisson, R. C. Livermore, and L. Guaita, Astrophys. J. 766(2), id. 105 (2013), arXiv:1302.2149 [astro-ph.CO].
- M. Y. Grudić, J. M. D. Kruijssen, C.-A. Faucher-Giguére, P. F. Hopkins, X. Ma, E. Quataert, and M. Boylan-Kolchin, Monthly Not. Roy. Astron. Soc. 506(3), 3239 (2021), arXiv:2008.04453 [astro-ph.GA].
- A. D. Bolatto, A. K. Leroy, E. Rosolowsky, F. Walter, and L. Blitz, Astrophys. J. 686(2), 948 (2008), arXiv:0807.0009 [astro-ph].
- L. H. Wei, E. Keto, and L. C. Ho, Astrophys. J. 750(2), id. 136 (2012), arXiv:1203.1327 [astro-ph.CO].
- E. Rosolowsky, A. Hughes, A. K. Leroy, J. Sun, et al., Monthly Not. Roy. Astron. Soc. 502(1), 1218 (2021), arXiv:2101.04697 [astro-ph.GA].
- D. A. Gouliermis, B. G. Elmegreen, D. M. Elmegreen, D. Calzetti, et al., Monthly Not. Roy. Astron. Soc. 468(1), 509 (2017), arXiv:1702.06006 [astro-ph.GA].
Supplementary files




















