Simulation of the free fall of a gas stream on a protoplanetary disk
- Authors: Grigoryev V.V.1, Demidova T.V.1
-
Affiliations:
- Crimean Astrophysical Observatory of RAS
- Issue: Vol 101, No 10 (2024)
- Pages: 866-884
- Section: Articles
- URL: https://medbiosci.ru/0004-6299/article/view/276074
- DOI: https://doi.org/10.31857/S0004629924100014
- EDN: https://elibrary.ru/JMDYJY
- ID: 276074
Cite item
Full Text
Abstract
The problem of the formation of exoplanets in inclined orbits relative to the equatorial plane of the parent star or the main plane of the protoplanetary disk can be solved by introducing a smaller inclined disk. However, the question of the nature of such an internal disk remains open. In the paper, we successfully tested the hypothesis about the formation of an inclined inner disk in a protoplanetary disk near a T Tau type star as a result of a gas stream falling on it. To test the hypothesis, three-dimensional gas-dynamic calculations were performed taking into account viscosity and thermal conductivity using the PLUTO package. In the course of the analysis of calculations, it was shown that a single intersection of the matter stream with the plane of the disk cannot ensure the formation of an inclined disk near the star, while a double intersection can. In addition, in the case of a retrograde fall of matter, the angle of inclination of the resulting inner disk is significantly greater. An analysis of the observational manifestations of this event was also carried out: the potential change in the brightness of the star, the distribution of optical thickness in angles, the evolution of the accretion rate. It is shown that the decrease in brightness can reach up to 5m, taking into account scattered light, and such a decrease in brightness will last several decades. In addition, a sharp increase in the accretion rate by two orders of magnitude could potentially trigger an FU Ori-like outburst.
Full Text
1. ВВЕДЕНИЕ
Обнаружение наклона внутренней части остаточного диска звезды Pic [1] стимулировало разработку теорий, объясняющих возникновение подобных неоднородностей в протопланетных дисках молодых звезд. В работах [2, 3] было показано, что наклон внутренних частей диска может быть следствием движения маломассивного компаньона на наклонной относительно плоскости диска орбите. Впоследствии была обнаружена и сама планета [4, 5] на расстоянии 815 а. е. В случае Pic наклон орбиты составляет несколько градусов.
Похожая картина была обнаружена и в диске звезды CQ Tau (является представителем класса Ае Хербига), внутренняя часть диска которой наклонена на ∼30° относительно внешней [6, 7].
Маломассивная звезда AA Tau являлась переменной звездой с колебаниями блеска с периодом 8.5 дней, который близок к периоду вращения звезды [8]. Авторы связывают переменность звезды с ее периодическим экранированием наклонным внутренним диском, существование которого обусловлено наклоном оси магнитного диполя к оси вращения звезды. Однако в 2011 г. произошло падение блеска звезды на ∼2m в полосе V, которое сопровождалось покраснением в ближней ИК области. До сих пор звезда не вернулась в яркое состояние [9]. В работе [10] был выполнен анализ изображения AA Tau, полученного в обзоре ALMA (Atacama Large Millimeter Array). Он показал, что протопланетный диск этой звезды имеет многополосную структуру в миллиметровой пыли. Кроме того, внутренний диск (размером ∼10 а. е.) наклонен относительно периферии диска на ∼20°. А также авторы предполагают, что на поверхности диска имеется горб или поток вещества, соединяющий внутренний и внешний диски. Увеличение толщины внутреннего диска или прохождение потока вещества на луче зрения может быть причиной существенного падения блеска звезды.
Наблюдение эффекта Росситера-МакЛафлина [11, 12] во время транзитов экзопланет по диску звезд показало, что у существенного количества объектов плоскость орбиты не совпадает с экваториальной плоскостью центральной звезды [13]. При этом наряду с наклонными, встречаются и перпендикулярные (например, WASP-7 [14]), и ретроградные орбиты (например, WASP-17 [15]).
Моделирование показало, что в случае, если луч зрения пересекает протопланетный диск звезды с маломассивным компаньоном на наклонной орбите, то кривая блеска наиболее вероятно имеет два минимума в течение орбитального периода компаньона [16]. Наклонные внутренние части протопланетного диска могут экранировать его периферию от излучения звезды. В работе [17] было показано, что за возвышающейся над диском внутренней областью должна присутствовать зона тени. При этом на самом изображении протопланетного диска имеется ярко выраженная подковообразная область [18, 19], которая не вращается вместе с диском. Похожие результаты были получены в работах [20, 21, 22].
Изображения дисков с подковообразными яркими областями получены с помощью интерферометра ALMA у объектов IRS48, HD142527, AB Aur, HD135344B [23]. Кроме того, в работе [24] обнаружена квазистационарная тень на диске HD135344B.
В случае, если угол наклона орбиты планеты , то на изображении протопланетного диска могут быть заметны две симметричные тени при наблюдениях в рассеянном свете [21]. Подобная картина также наблюдается на изображениях, полученных в рассеянном свете, для дисков звезд HD142527 [25, 26] и HD100453 [27, 28]. При этом предполагается, что наклон внутреннего диска относительно внешнего достигает ~70°. У объекта HD142527 был обнаружен субзвездный компаньон на вытянутой орбите [29, 30].
При наблюдениях в субмиллиметровом диапазоне две симметричные теневые области могут наблюдаться и при меньших углах наклона диска [19]. Примерами объектов с двумя теневыми областями при наблюдении на ALMA являются SR21, J16042130, LkCa15, Sz91 [23].
Остается открытым вопрос формирования планеты на наклонной относительно диска орбите. Является ли наклон внутреннего диска следствием движения планеты или сама планета сформировалась из вещества наклонного внутреннего диска? В ряде работ было показано, что орбита планеты стремится уменьшить свои эксцентриситет и угол наклона вследствие взаимодействия с веществом протопланетного диска [31, 32]. Также в обзоре [23] описаны 38 объектов, показывающих асимметрии на изображениях своих дисков. При этом отмечено, что лишь у нескольких объектов имеются свидетельства наличия компаньона.
Одним из механизмов искажения плоскости протопланетного диска является захват звездой облачка (cloudlet) из остатков протозвездного облака. Падение облачка на протопланетный диск может быть причиной формирования экзопланеты на наклонной сильно вытянутой или ретроградной орбите [33]. Захват облачка из протопланетного диска и его аккреция на звезду были промоделированы в работах [34, 35, 36]. Было показано, что падение облачка может привести к возникновению наклона внешней части диска относительно внутренней, а также к эллиптической форме диска. Кроме того, в случае ретроградного падения облачка разные части диска могут двигаться в противоположных направлениях. Впервые возможность формирования вложенных дисков с противоположным направлением движения за счет падения вещества из межзвездной среды была показана в работе [37]. Расчеты с учетом магнитного поля диска и облака проведены в работе [38]. Авторами было показано, что если размер облачка меньше или равен толщине диска, то магнитное поле замедляет вращение падающего вещества, но в случае достаточно большого облачка вещество может двигаться со сверхкеплеровской скоростью.
Двумерные расчеты [39] показали, что в массивных дисках под действием гравитационной неустойчивости могут формироваться сгустки вещества с массами в несколько десятков масс Юпитера. Они могут аккрецировать на звезду, вызывая всплеск ее аккреционной активности. Кроме того, такие сгустки могут быть выброшены из системы в межзвездное пространство [40, 41]. В работе [34] была отмечена возможность формирования плотных сгустков из остатков протозвездного облака, при этом аккреция таких сгустков может происходить на внутренние части родительской протозвезды (~7 а. е.)
Столкновение такого сгустка с протопланетным диском протозвезды или другой звезды в плотном звездном скоплении должно привести к искажению плоскости диска в области его падения, что, в свою очередь, может способствовать формированию планеты на наклонной орбите. Последствия такого падения были исследованы в работах [42, 43, 44]. Предполагалось, что сгусток и диск достигли теплового равновесия. Рассматривалась задача распада дугообразного возмущения с наклоном начального вектора скорости относительно плоскости диска во вращающейся среде диска в предположении мгновенного и дискретного падения струи газа.
При приближении облака к звезде оно может вытягиваться в струю конечного размера. Подобные структуры были недавно обнаружены на изображениях, полученных с помощью ALMA, у нескольких протопланетных дисков [45]. Например, струеподобная структура наблюдается у молодых объектов SU Aur [46] и DG Tau [47]. Таким образом падение плотных газовых потоков на протопланетный диск не является исключительным событием. При этом в работе [48] показано, что вещество струи может удерживаться от рассеяния межзвездным газом более высокой температуры. Авторы исследовали падение струи до соприкосновения с протопланетным диском.
В данной работе мы проводим трехмерное моделирование падения струи вещества на внутреннюю часть протопланетного диска и рассматриваем в динамике реакцию протопланетного диска. Выполнено исследование физических свойств и наблюдательных проявлений такого события. В частности, проанализировано искажение внутренней области диска, изменение темпа аккреции, вариации плотности на луче зрения.
2. МОДЕЛЬ И МЕТОД
2.1. Основные уравнения
Будем решать систему нестационарных газодинамических уравнений, описывающих эволюцию потока газа вокруг молодой звезды типа T Tau при помощи пакета PLUTO 1 [49] в сферической системе координат : ячеек в области [0.2; 107.2] а. е. × [15°; 165°]×[0°; 360°).
Уравнение неразрывности,
(1)
включает в себя плотность газа и полную скорость . Уравнение движения газа запишем с учетом вязкости:
(2)
Здесь: p давление газа, единичная матрица, Ф=–GM* / R гравитационный потенциал, создаваемый звездой ( гравитационная постоянная, M* = 1M⊙ масса звезды, R расстояние до звезды, M⊙ масса Солнца) и П(ν) тензор вязких напряжений:
(3)
коэффициент кинематической вязкости, вторая вязкость (полагается равной нулю).
Уравнение энергии запишем с учетом теплопроводности:
(4)
Здесь полная плотность энергии включает в себя удельную внутреннюю энергию газа . Поток тепла определяется через коэффициент теплопроводности и градиент температуры газа : .
Для замыкания системы уравнений (14) используется уравнение состояния идеального газа: , .
Отдельно отметим, что в данной работе не рассматривались процессы, связанные с переносом излучения (нагрев УФ-излучением от горячих областей звезды, охлаждение пыли). Также не учитывалась самогравитация диска: гравитационный потенциал Ф оставался неизменным в течение расчетов.
2.2. Модели кинематической вязкости и теплопроводности
Скорость движения вещества струи относительно вещества протопланетного диска весьма высока, поэтому при столкновении взаимное трение и теплообмен неизбежны. Вещество струи будет терять заметную долю кинетической энергии вследствие такого взаимодействия, поэтому расчет вязкости и теплопроводности производился не только с учетом турбулентных членов, а более сложным образом.
Весь газ в течение расчетов считается идеальным и, в пределах отдельной ячейки, однородным. Однако стоит иметь в виду, что, в зависимости от плотности и температуры, газ может быть в разном состоянии (в частности, ионизован), что определяет его итоговую вязкость и теплопроводность. Каждый из этих коэффициентов складывается из трех составляющих: для нейтрального газа, ионизированного, а также турбулентного слагаемого. Приведенные ниже формулы записаны в системе СГС.
Динамическая вязкость нейтрального водорода рассчитывалась согласно модели твердых сфер:
(5)
где см (диаметр молекулы водорода), mH масса атома водорода, kb постоянная Больцмана, T абсолютная температура.
Вязкость ионизированной плазмы определялась на основании формул Брагинского [50]:
(6)
где τi характерное время столкновений между ионами в полностью ионизированной плазме.
Турбулетная вязкость задавалась согласно модели Шакуры-Сюняева [51]:
(7)
где , cS локальная скорость звука, а H характерный вертикальный масштаб диска (в начальный момент времени определяется формулой (13), см. ниже). В расчетах было принято, что , где Ω локальная кеплеровская угловая скорость. Данное соотношение применимо в случае вертикального гидростатического равновесия, которое сохраняется до касания вещества струи с поверхностью диска. В дальнейшем, когда начальная плоскость диска искажается, может быть выделена поверхность максимальной плотности, относительно которой можно оценить средний характерный вертикальный масштаб диска (по аналогии с распределением (12), см. ниже: при фиксированных и ). Расчеты показали соответствие по порядку величины полученного таким образом характерного вертикального масштаба диска и отношения скорости звука к локальной кеплеровской скорости в течение всего времени моделирования. Отклонение от значения может быть скорректировано вариациями параметра в пределах . Вариации α могут быть обоснованы физическими процессами, протекающими в диске и влияющими на перенос углового момента (см., напр., [52]), но не учитываемыми при данном моделировании.
Теплопроводность нейтрального водорода определялась также на основании модели твердых сфер:
(8)
где удельная теплоемкость газа при постоянном объеме, λ длина свободного пробега молекулы (но не более размера расчетной ячейки), vtherm тепловая скорость газа.
Теплопроводность ионизированного водорода в первую очередь определяется электронами, поэтому ее можно вычислить на основании формул Брагинского:
(9)
Будем считать, что турбулентное число Прандтля равно 1, тогда турбулентная теплопроводность определяется на основании известной турбулентной вязкости:
(10)
где удельная теплоемкость газа при постоянном давлении.
Итоговые вязкость и теплопроводность вычисляются так:
(11)
где xHI доля нейтрального водорода, которая вычислялась на основании равновесия процессов ионизации и рекомбинации водорода в ячейке.
Мотивация использования столь нетривиальной модели транспортных коэффициентов такова. В короне диска, особенно вблизи звезды, доминируют ламинарные ионная вязкость и электронная теплопроводность, а в диске турбулентные вязкость и теплопроводность. Поэтому необходимо создать достаточно гладкое и физичное представление соответствующих коэффициентов в зависимости от имеющихся макропараметров газа в каждой отдельной ячейке. Ввиду применения формул для полностью ионизированной плазмы естественным образом возникает вопрос о степени ионизации газа, что, в свою очередь, позволяет говорить о молекулярных транспортных коэффициентах.
Анализ этих коэффициентов показал, что молекулярная вязкость ничтожно мала по сравнению с турбулентной вязкостью, доминирующей в газовом «холодном» диске, и ионной, которая преобладает в разреженной «горячей» ионизованной короне диска. Однако в тонком переходном слое между короной и диском ее вклад в общую вязкость может составлять долю процента.
Молекулярная теплопроводность также пренебрежимо мала по сравнению с турбулентной в плоскости диска, но становится сравнима с ней при переходе от диска к короне. В самой короне, ввиду ее ионизации, вклад молекулярной теплопроводности нулевой. Кроме того, при пересечении сгустком плоскости диска происходят активные процессы нагрева и перемешивания вещества, тем самым можно ожидать создание условий, сходных с теми, что изначально присутствуют в области между диском и короной.
Таким образом, хотя вклад молекулярных вязкости и теплопроводности невелик, их учет позволяет создать более полную и аккуратную модель для данных транспортных коэффициентов в рамках газодинамического приближения.
2.3. Начальные и граничные условия, единицы измерения
Все макроскопические параметры газа задаются в условной системе единиц (code units). Основные параметры этой системы перечислены в табл. 1.
Таблица 1. Единицы нормировки
Параметр | Обозначение | Значение | Ед. СГС | Комментарий |
Единица массы | 1.98×1033 | г | M⊙ | |
Единица длины | 1.496×1013 | см | 1 а.е. | |
Единица времени | 3.16×107 | с | 1 год | |
Единица плотности |
| 5.94×107 | г/см3 |
|
Единица скорости | 4.74×105 | см/с |
|
Так же, как и в статье [42], зададим начальное распределение плотности в диске:
(12)
Здесь цилиндрический радиус, высота над экватором, характерная полутолщина диска на этом радиусе, rin внутренний радиус диска, ∑0 средняя поверхностная плотность диска, Mdisk начальная масса диска (во всех расчетах задается равной 0.01M⊙).
Полутолщина диска зависит от температуры в экваториальной плоскости диска Tmid на данном радиусе:
(13)
где величины и означают радиус и температуру звезды, коэффициент Г = 0.05 [53, 54], молярный вес газа в диске [55].
Плотность в ячейке ограничена снизу значением , и вся область, занятая столь разреженной средой, считается короной с температурой K.
Скорость каждой точки диска задается исходя из кеплеровского приближения: . В случае расчетов с ретроградным падением вещества начальная азимутальная скорость заменяется на отрицательную: . Таким образом при ретроградном падении струи диск вращается по часовой стрелке в плоскости , а при сонаправленном против.
Левое граничное условие по задается из соображений равенства тепловых турбулентных потоков, непрерывности вязкого турбулентного потока и сохранения энтропии. Значения в граничных ячейках обозначаются нижним индексом , без индекса в расчетных приграничных ячейках:
(14)
при этом компонент vRb всегда направлен в сторону звезды или нулевой.
Правое граничное условие по R соответствует начальному состоянию вещества в диске. Установлены свободные граничные условия по с обеих сторон и периодические граничные условия по .
2.4. Начальные параметры вещества струи
В начальный момент времени одна расчетная ячейка (размером а. е.) на расстоянии R = 20 а. е. от звезды заполняется веществом с массой равной массе Юпитера, величина плотности в ней будет равна г/см3. Начальная температура этого вещества равна 50 K. Начальные компоненты скорости газа в данной ячейке задаются такими, чтобы материальная точка, имеющая координаты центра этой ячейки, двигалась по параболической траектории с долготой восходящего узла относительно звезды. Было рассмотрено несколько вариантов движения струи и протопланетного диска, параметры которых перечислены в табл. 2. Все углы задаются в градусах.
Параметры расчетов подбирались так, чтобы первое пересечение плоскости диска центром масс падающего вещества было примерно в одном и том же месте а. е., 0°, 225°).
Таблица 2. Начальные параметры орбиты падающего вещества струи
Параметр | ДП-45 | ДП-р45 | ДП-60 | ДП-р60 | ДП-30 | ДП-р30 | ОП-45 | ОП-р45 |
i,° | 45 | 45 | 60 | 60 | 30 | 30 | 45 | 45 |
ω,° | 110 | 110 | 110 | 110 | 110 | 110 | 30 | 30 |
q, а. е. | 5 | 5 | 5 | 5 | 5 | 5 | 7.4 | 7.4 |
Примечание. Обозначения параметров исходной параболической траектории: i наклон к плоскости xy, ω аргумент перицентра и q перицентрическое расстояние. ДП модель с двойным пересечением плоскости xy исходной параболической траекторией, ОП с одиночным. Пометка «р» означает обратное вращение диска (ретроградная модель).
3. РЕЗУЛЬТАТЫ
3.1. Предварительный статистический анализ движения тел по параболическим траекториям
Прежде, чем решать описанную выше газодинамическую задачу полезно выполнить анализ вероятности пересечения плоскости диска телом, летящим к звезде извне.
Предполагалось, что величина полной скорости падающего вещества в начальный момент времени была равна скорости убегания от звезды , но направлена к звезде. При таком пролете возможно либо двойное, либо одиночное пересечение плоскости диска. Поэтому было выполнено исследование движения тела по параболе относительно плоскости диска, ограниченной радиусом а. е. частиц были размещены на параболических орбитах на расстоянии а. е. Параметры орбит задавались случайным образом: перицентрическое расстояние () в диапазоне а. е., наклонение , аргумент (w) и долгота (W) перицентра в пределах .
Для оценки было достаточно считать, что частицы гравитационно притягиваются лишь к звезде, а влияние диска (газодинамическое торможение, притяжение) не учитывалось. Интегрирование орбит было выполнено с помощью метода Булирша-Штера [56], реализация которого описана в работе [57]. Результаты расчета были усреднены по трем вариантам начальных данных.
Расчеты показали, что одиночное пересечение плоскости диска встречается в 73% случаев, а двойное в 27%. Однако количество орбит, дважды пересекающих плоскость диска, растет с уменьшением аргумента перицентра . Так, при фиксированном значении а. е. (остальные параметры соответствуют описанным выше) двойные пересечения составляют 76%.
3.2. Однократное пересечение плоскости диска
Рассматривалось два варианта однократного пересечения плоскости диска. В первом случае поток вещества двигался по параболе в том же направлении, что и вещество диска, во втором случае движение было обратным (ретроградным).
При движении к диску вещество растягивается в струю газа, которая движется вдоль исходной параболической орбиты до момента касания с диском. Поэтому расстояние от звезды в момент пересечения плоскости диска центром масс падающего вещества практически совпадают с таковыми для невозмущенной орбиты тела, движущегося по параболе (рис. 1 и табл. 3). В процессе столкновения вещество струи и диска смешивается, и орбита вещества меняется, часть вещества струи захватывается гравитацией звезды, а другая, пройдя сквозь диск, улетает за пределы расчетной области.
Рис. 1. Траектории полета центра масс падающего вещества в небесномеханическом приближении (цветные линии) и рассчитанные с учетом газодинамических эффектов (цветные шарики). Плоскость диска показана полупрозрачным белым цветом, наклон и азимутальные линии указаны в градусах, радиальная координата в астрономических единицах.
Таблица 3. Моменты пересечения плоскости диска центром падающего вещества ( , в годах от начала расчетов) и расстояние до звезды ( , в а. е.) в эти моменты для рассчитанных моделей
Параметр | ДП-45 | ДП-р45 | ДП-60 | ДП-р60 | ДП-30 | ДП-р30 | ОП-45 | ОП-р45 |
t1, годы | 6.7 | 6.7 | 6.9 | 6.9 | 6.6 | 6.6 | 9.3 | 9.3 |
tc1, годы | 6.9 | 6.9 | 7.1 | 7.1 | 6.7 | 6.8 | 9.5 | 9.5 |
R1, а. е. | 7.4 | 7.4 | 7.0 | 7.0 | 7.8 | 7.8 | 7.4 | 7.4 |
Rc1, а. е. | 7.3 | 7.3 | 6.9 | 6.9 | 7.7 | 7.5 | 7.2 | 7.1 |
t2, годы | 14.9 | 14.9 | 16.2 | 16.2 | 14.0 | 14.0 | ||
tc2, годы | 17.0 | 14.6 | 19.5 | 17.0 | 15.7 | 13.4 | ||
R2, а. е. | 15.5 | 12.2 | 17.8 | 17.8 | 13.8 | 13.8 | ||
Rc2, а. е. | 15.8 | 11.3 | 18.6 | 14.7 | 14.1 | 8.9 |
Примечание. Числовой индекс соответствует номеру пересечения. Индекс «c» результаты, полученные из газодинамических расчетов, без этого индекса в небесно-механическом приближении.
На момент времени 50 лет после начала расчетов (когда взаимодействие струи с диском уже произошло, но вещество сгустка еще не достигло внешней границы расчетной области) в модели ОП-45 количество вещества сгустка, саккрецировавшего на звезду или движущегося в расчетной области со скоростью, меньше локальной скорости убегания составляет 0.70 массы Юпитера. В ретроградном случае (ОП-р45) в этот же момент времени в пределах расчетной области захвачено 0.77 массы Юпитера согласно тому же критерию.
После пролета вещества струи сквозь вещество диска, он искажается как в горизонтальном, так и вертикальном направлении, а также меняется скорость движения вещества. На рис 2 показано отношение локальной скорости вещества на поверхности максимальной плотности к кеплеровской скорости на заданном расстоянии для разных моделей. После столкновения внутрь и наружу диска распространяется однорукавная спиральная волна плотности. Возникают области, в которых текущая скорость меньше локальной кеплеровской скорости. В случае ретроградного падения обширная область диска имеет скорость в два раза меньше кеплеровской.
Рис. 2. Отношение полной скорости к локальной кеплеровской скорости на момент времени 50 лет для четырех моделей (слева направо, сверху вниз): ОП-45, ОП-р45, ДП-45, ДП-р45 на поверхности максимальной плотности.
Первоначальная плоскость диска также искажается существенным образом. На рис. 3 цветом показаны значения вертикальной координаты , при которой достигается максимальная плотность в ячейке с фиксированными в цилиндрических координатах. Видно, что через 150 лет после начала расчетов диск сильно искажен в вертикальном направлении. Периферия диска приподнята относительно его первоначальной плоскости. Видно, что и спиральная волна, распространяющая по диску, приподнята относительно его исходной плоскости. На внутренней части диска можно выделить области поверхности, поднимающиеся над исходной плоскостью диска и уходящие под диск, однако выделить наклонный внутренних диск не удается.
Рис. 3. Значения координаты , при которой плотность вещества диска максимальна в ячейках при фиксированных на момент времени 150 лет от начала расчетов. Слева показан сонаправленный случай (ОП-45), справа ретроградный (ОП-р45).
Ввиду наличия спиральной волны вследствие однократного пересечения плоскости диска веществом струи можно сделать вывод, что если произойдет второе пересечение с противоположной стороны в противоположном направлении, то можно ожидать появления внутреннего наклонного диска, т. к. образуются две спиральные волны с противоположно направленными горбами, расходящиеся в разных направлениях. Кроме того, из-за наличия двух точек взаимодействия сгустка и диска, можно также ожидать увеличения доли массы сгустка, захваченной диском.
3.3. Двукратное пересечение плоскости диска
В ходе своего движения вещество струи движется по параболической траектории до первого касания, которое происходит в момент на расстоянии от звезды. Здесь происходит бурное перемешивание вещества струи с веществом диска, нагрев и увлечение части вещества диском. После этого центр масс упавшего вещества достигает перицентра орбиты и затем пересекает плоскость диска во второй раз в момент времени на расстоянии . Значения данных параметров для каждой модели приведены в табл. 3. Все эти моменты времени и расстояния отличаются от рассчитанных в небесно-механическом приближении, т. к. в рамках последнего не предполагается наличия торможения и взаимодействия вещества. Однако соответствующие траектории близки друг к другу практически до момента второго касания с исходной плоскостью диска (рис. 1).
Как и предполагалось, при двукратном пересечении исходной плоскости диска по диску распространяется несколько спиральных волн. Уменьшение скорости вещества происходит за счет взаимного сокращения угловых моментов струи и диска. Через 50 лет после начала расчетов скорости вещества вблизи звезды заметно меньше локальных кеплеровских (рис. 2). При этом в случае ретроградного падения существуют области, где полная скорость газа составляет меньше 65% от кеплеровской скорости. Наличие таких скоростей должно приводить к ускорению падения вещества на звезду, как ранее показано в работе [42].
На момент времени 50 лет после начала расчетов можно оценить суммарную массу вещества сгустка, которая движется медленее, чем локальная вторая космическая скорость, а также упала на звезду. Для моделей ДП-60 и ДП-р60 она равна 0.84 и 0.85 масс Юпитера соответственно, для моделей ДП-45 и ДП-р45 0.87 и 0.89 соответственно, для моделей ДП-30 и ДП-р30 0.90 и 0.91 соответственно.
На рис. 4 показано распределение величины плотности вдоль поверхности максимальной плотности в диске в модели ДП-р45 на момент времени 90 лет, что хорошо иллюстрирует искажение плоскости диска. Можно заметить, что искажение существенно неоднородно, присутствуют спиральные волны плотности и разряжения, наличие волн заметно и на рис. 5, а область, подверженная искажению, простирается более чем на 40 а. е. от звезды. Хорошо заметно, что центральная внутренняя часть диска значимо наклонена относительно периферии, что мы и будем называть внутренним наклонным диском.
Рис. 4. Поверхность максимальной плотности на момент времени 90 лет относительно начала расчетов в модели ДП-р45. Цветом показана плотность в единицах . Координатный параллелепипед показан для масштаба.
Значения вертикальной координаты , при которой достигается максимальная плотность, показаны на рис. 5 в момент времени 150 лет. В данном случае можно выделить квазисимметричные искажения плоскости диска во внутренней его части, половина которой смещена в положительную часть оси , а вторая в отрицательную. При этом для сонаправленного и ретроградного падения вещества картина смещения области повышенной плотности диаметрально противоположна. Такой эффект связан с тем, что диск в сонаправленном случае вращается против часовой стрелки, а в ретроградном по часовой. На рис. 5 струя движется от наблюдателя, пересекает картинную плоскость и уходит под диск, а затем выходит из него по направлению к наблюдателю. Соответственно, области диска, в которых вещество сначала уходит под диск, а потом поднимается, смещаются в направлении кеплеровского вращения диска: против часовой стрелки в случае сонаправленного падения, и по часовой в ретроградном случае.
Рис. 5. То же, что и на рис. 3 для случая двухкратного пересечения параболической орбитой плоскости диска.
Положение областей максимальной плотности вдоль двух азимутальных углов и (поскольку вблизи этого направления наклон внутреннего диска максимален для моделей ДП-45 и ДП-р45) показано на рис. 6 для трех моментов времени 50, 100 и 150 лет от начала расчетов. Видно, что в ретроградном случае внутренний диск заметно наклонен относительно периферии, тогда как при сонаправленном пролете этот наклон менее выражен. Таким образом, ретроградное падение струи на протопланетный диск приводит к формированию выделенного наклонного внутреннего диска с заметным наклоном относительно первоначальной плоскости диска. Кроме того, на рис. 6 можно в динамике проследить распространение спиральной волны плотности по диску: волнообразное искажение вертикальной плоскости диска со временем смещается от области столкновения со струей к периферии.
Рис. 6. Значения координаты , при которой плотность вещества диска максимальна в зависимости от расстояния ( ) при фиксированном ( ) и ( ) в моменты времени 50 лет (синяя линия), 100 лет (красная линия) и 150 лет (черная линия) от начала расчетов. Слева показан случай сонаправленного падения, справа ретроградного.
Первоначальный угол наклона орбиты падающего вещества относительно плоскости диска оказывает влияние на угол наклона внутреннего диска. В табл. 4 перечислены параметры внутреннего наклонного диска в три момента времени для всех моделей с двукратным пересечением. Граница внутреннего диска является расходящейся спиральной волной на поверхности максимальной плотности, гребень которой находится по разные стороны от плоскости , что затрудняет надежное определение размеров. Поэтому размер внутреннего диска Rwarp определялся средним радиусом этой расходящейся спиральной волны. В пределах Rwarp от звезды вычислялась средняя нормаль к поверхности максимальной плотности, после чего определялись угол между этой нормалью и осью (он же угол между плоскостями дисков) и угол Ф азимут нормали, который на отстоит от линии узлов (то есть линии, по которой плоскости внешнего и внутреннего диска пересекаются, Ф не следует путать с обозначением гравитационного потенциала, введенным ранее).
Таблица 4. Параметры внутреннего наклонного диска для моделей с двукратным пересечением плоскости диска
t, годы | Параметр | ДП-45 | ДП-р45 | ДП-60 | ДП-р60 | ДП-30 | ДП-р30 |
i,ο | 8 | 22 | 10 | 17 | 5 | 23 | |
50 | Ф,ο | 309 | 107 | 308 | 129 | 311 | 109 |
Rwarp, а. е. | 7 | 7 | 7 | 7 | 11 | 7 | |
i,ο | 9 | 20 | 11 | 26 | 7 | 16 | |
100 | Ф,ο | 310 | 103 | 312 | 106 | 312 | 71 |
Rwarp, а. е. | 11 | 9 | 10 | 9 | 12 | 12 | |
i,ο | 8 | 25 | 8 | 16 | 6 | 10 | |
150 | Ф,ο | 314 | 106 | 328 | 121 | 317 | 77 |
Rwarp, а. е. | 15 | 13 | 13 | 13 | 15 | 15 |
Примечание. i угол к плоскости xy (начальной плоскости диска), Ф азимут нормали, Rwarp максимальный размер на моменты времени 50, 100, 150 лет.
Видно, что с течением времени наклонная область расширяется вдоль радиуса диска. При этом в случае моделей сонаправленного падения струи угол наклона внутреннего диска мало меняется или убывает, тогда как при ретроградном падении угол наклона диска, в основном, увеличивается со временем (более подробный анализ эволюции варпа в модели ДП-р45 описан в работе [58]), кроме модели ДП-р30, где наклон уменьшается. В случае падения вещества струи под углом к плоскости диска выделить область внутреннего диска достаточно сложно ввиду большого количества гребней и впадин на поверхности максимальной плотности, особенно в моменты времени, близкие к моменту падения. Чем больше исходный угол наклона орбиты падающего вещества, тем менее возмущенным и более симметричным получается наклонный внутренний диск.
Отдельно отметим, что в случае проградного падения струи плоскость внутреннего диска ориентирована по азимуту примерно в ту же сторону, что и плоскость исходной орбиты струи (угол Ф отличается от примерно на ). В случае ретрогардного падения такого согласия не наблюдается.
3.4. Масса диска и темп аккреции
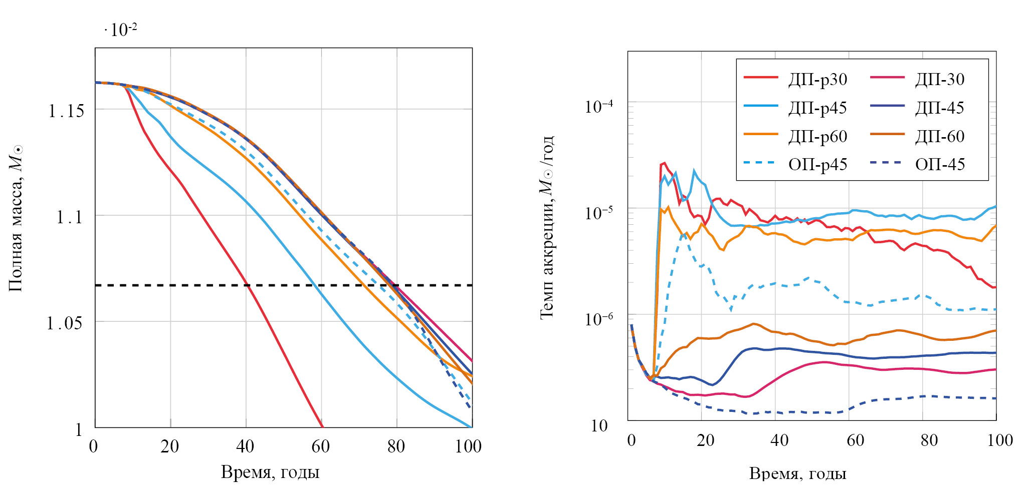
Общая масса вещества в расчетной области убывает за счет аккреции на звезду и истечения вещества за пределы расчетной области (рис. 7 слева). В моделях с сонаправленным с вращением диска падением струи (ОП-45, ДП-30, ДП-45 и ДП-60) масса вещества меняется со временем практически одинаково на протяжении всего времени расчета. В случае ретроградного пролета примерно через 9 лет масса вещества начинает заметно убывать, этот процесс связан с резким ростом темпа аккреции на звезду. Общая масса становится равна первоначальной массе диска через 4080 лет после начала расчетов.
Рис. 7. Слева: изменение массы вещества в расчетной области в зависимости от времени. Сплошные линии соответствуют моделям с двойным пересечением плоскости диска, штриховые с одиночным. Черной штриховой линией на левом графике показана начальная масса диска (без вещества струи). Справа показан темп аккреции внутрь сферы радиуса а.е. в зависимости от модели. Легенда общая для обоих графиков.
Кроме того, в системе меняется темп аккреции на звезду (количество вещества, прошедшее за единицу времени через минимальную границу по ), он может заметно увеличить общую светимость системы, тем самым повлиять на вид кривой блеска.
Темп аккреции в начальный момент времени составляет /год. В моделях с сонаправленным падением струи темп аккреции слабо меняется после столкновения и остается на том же уровне. При ретроградном падении темп аккреции резко возрастает. При этом в случае одинарного пересечения плоскости диска (ОП-р45) он возрастает за 4 года примерно в 20 раз. Тогда как, в случае двойного пересечения орбитой плоскости диска, темп аккреции возрастает за 2 года примерно в 100 раз (рис. 7 справа), затем, в среднем, за 50 лет темп аккреции падает примерно в 3 раза. Таким образом, в случае ретроградного падения струи по орбите, дважды пересекающей плоскость диска, возможна FU Ori-подобная вспышка светимости вследствие быстрого роста темпа аккреции [59, 60, 61].
3.5. Оптическая толщина диска
Поскольку распределение вещества протопланетного диска заметно искажается после падения на диск струи вещества, меняется и количество пыли на луче зрения. Ввиду того, что пылинки субмикронных и микронных размеров дают основной вклад в экстинкцию в видимом диапазоне спектра, лучевые концентрации рассчитывались только для такой мелкой пыли. Для того, чтобы рассчитать количество мелкой пыли на луче зрения, плотность вещества в диске интегрировалась вдоль радиуса для фиксированных значений и . Предполагалось, что полная масса мелкой пыли во всем диске составляет 105 M⊙. При массе газового диска Mg = 0.01M⊙ считалось, что отношение массы пыли к массе газа 1:100 как в среднем в межзвездной среде, а количество мелкой пыли составляет 10% от общего количества пыли в диске. Увеличение массы мелкой пыли пропорционально увеличивает лучевую концентрацию и, соответственно, оптическую толщину.
На рис. 8 показано поведение плотности пыли на луче зрения в момент времени 10 лет в зависимости от направления луча зрения для всех значения и в ячейках. Видно, что при ретроградном падении вещество диска поднимается над первоначальной плоскостью выше, чем в сонаправленном, что приводит к заметному увеличению плотности на лучах зрения, пересекающих плоскость диска под большим углом. При этом в случае модели, в которой исходная орбита вещества струи дважды пересекает плоскость диска, существенная плотность на луче зрения может наблюдаться под углом к плоскости диска. Интересно отметить, что с уменьшением угла наклона первоначальной орбиты падающего вещества, вещество диска поднимается выше над исходной плоскостью (рис. 9). Это, по-видимому, связано с тем, что падающее вещество проходит больший путь в диске, тем самым сильнее возмущая его.
Рис. 8. Цветом показана лучевая концентрация пылевого вещества в зависимости от направления луча зрения по азимуту () и наклону () на момент времени 10 лет. Слева показаны модели, в которых орбита падающего вещества пересекает плоскость диска один раз (ОП-45 сверху и ОП-р45 снизу), справа двойное пересечение (ДП-45 сверху и ДП-р45 снизу) диска.
Рис. 9. То же, что и на рис. 8 для двойного пересечения плоскости диска при углах (сверху) и (снизу).
Чтобы рассчитать оптическую толщину мелкой пыли на луче зрения, необходимо лучевую концентрацию умножить на коэффициент поглощения. Он может быть принят равным 250 см2/г для полосы фотометрической системы Джонсона [62]. Оптическая толщина для избранного направления и показана на рис. 10 для модели ДП-р45. Видно, что в момент времени лет после начала расчетов оптическая толщина стремительно растет и в течение нескольких лет доходит до максимума. Затем происходит плавное уменьшение оптической толщины. Качественно похожая картина наблюдается и для других направлений луча зрения.
Если бы изменение блеска происходило только за счет поглощения, изменение звездной величины соответствовало бы значению : Δm = 2.5lg . Однако падение блеска звезды при затмении областью на диске ограничено рассеянным светом от всего диска в целом. Обычно его доля составляет несколько процентов от излучения звезды. Поэтому, например, общий блеск не может уменьшиться более, чем на , если рассеянный свет составляет 1% от излучения звезды. Таким образом, при преобразовании оптической толщины, представленной на рис. 10, в звездные величины на кривой блеска будет наблюдаться резкое падение блеска, минимум будет длиться лет, а затем будет наблюдаться плавный выход в яркое состояние. Длительность минимума зависит от выбранного направления луча зрения и может составлять от нескольких десятков до сотен лет.
Рис. 10. Оптическая толщина на луче зрения в направлении и в полосе (красная линия с точками). Черной линией показано значение для модели ДП-р45.
4. Обсуждение
Расчеты показали свидетельства того, что существенный рост темпа аккреции на два порядка обусловлен появлением в ближайшей окрестности звезды заметного количества вещества, скорости которого в несколько раз меньше локальной кеплеровской скорости. Такие условия реализуются в случае ретроградного падения струи по траектории, дважды пересекающей начальную плоскость диска на расстояниях а. е. При падении вещества на более удаленные части диска эффект, вероятно, будет менее выражен. Например, как было показано в работах [34, 35, 36], в случае падения облака на периферию диска, вспышка светимости на порядок меньше, чем наблюдается у объектов типа FU Ori, а темп аккреции не превосходит /год. Авторы отмечают, что такое событие может спровоцировать развитие гравитационной неустойчивости в диске, которое в дальнейшем может привести к существенному росту темпов переноса углового момента к звезде.
Еще одним внешним механизмом, который может спровоцировать рост темпа аккреции, является пролет другой звезды вблизи протопланетного диска [63, 64]. Хорошее согласие с наблюдаемым ростом светимости типа FU Ori по амплитуде и временным характеристикам показали расчеты с учетом переноса излучения [65]. Отмечено, что перицентрическое расстояние между звездами должно составлять а. е. При этом, чем меньше перицентрическое расстояние, тем быстрее происходит рост темпа аккреции до максимума. Наличие у налетающей звезды протопланетного диска увеличивает максимальный темп аккреции в несколько раз, а также позволяет воспроизвести темпы падения светимости после вспышки [66]. Однако, как было показано в работе [67], пролет звезды с перицентрическим расстоянием 500 а. е. может спровоцировать развитие тепловой неустойчивости во внутренней части диска, с дальнейшим запуском магнито-ротационной неустойчивости, что впоследствии приводит к отложенному (~1000 лет после сближения) всплеску темпа аккреции на два порядка.
После столкновения струи газа с веществом диска газ может подниматься высоко над начальной плоскостью диска, что в свою очередь приводит к резкому (~1 год) увеличению в несколько раз оптической толщины на луче зрения в случае больших углов его наклона c плавным последующим уменьшением оптической толщины. При этом рассеянный свет ограничивает падение блеска, поэтому на кривой блеска должно наблюдаться резкое падение интенсивности излучения на несколько звездных величин, затем продолжительный минимум, и далее выход к яркому состоянию. Похожая картина наблюдается на кривой блеска двух звезд: CQ Tau [68] и V1184 Tau [69]. У первого объекта блеск упал на 3m в течение нескольких месяцев, затем звезда пребывала вблизи минимума блеска около 80 лет, и в последний год наметился выход в яркое состояние. Кроме того, у данного объекта обнаружен наклонный внутренний диск [6, 7]. У второго объекта за несколько месяцев блеск упал на 5m, затем 10 лет длился минимум, а далее в течение четырех лет звезда вернулась к начальному яркому состоянию. Кроме того, у звезды AA Tau в 2011 г. также произошло падение блеска на 4.5m [70] и уже 12 лет звезда пребывает в состоянии минимума блеска [9].
Немаловажным вопросом данного исследования является вопрос выживаемости сгустков вещества до момента столкновения с протопланетным диском. В случае выброса сгустка, сформированного в процессе гравитационной неустойчивости в другом протопланетном диске [41], он должен преодолеть расстояние в тысячи а. е. до столкновения.
В рассматриваемой задаче начальный момент времени вещество массой 1 масса Юпитера с температурой 50 К заполняет ячейку размером ~0.8 а. е., средняя плотность вещества в таком случае составляет 1 ×109 г/см3. Шарообразный сгусток такой плотности и такой температуры имеет критическую массу 0.13 масс Юпитера. Это означает, что модельный сгусток, представленный в данной работе, должен сколлапсировать за счет самогравитации. Препятствовать сжатию может неизотермичность шара, его вращение, а также неоднородный состав вещества. Этот вопрос требует отдельного исследования, которое выходит за рамки данной работы. Следует отметить, что в данной работе первоначальный сгусток является численным приближением для исследования отклика протопланетного диска на падение струи газа конечного размера.
В работе [71] приведены формулы для оценки вероятности столкновения звезды с протопланетным диском другой звезды. Если применить данные формулы к рассматриваемой модели столкновения сгустка с протопланетным диском, то можно оценить вероятность такого события. При столкновении с диском около звезды массой на расстоянии а. е. от нее за время жизни диска (~106 лет) вероятность составляет одно событие на 8.8 Ч 103 / (Nf), где N это количество сгустков, выбрасываемых одним диском, а f вероятность выживания сгустков. Таким образом, если N > 1, f , такое событие не является исключительно редким.
В случае падения вещества из остатков протозвездного облака, сгустки могут формироваться в ближайшей окрестности протопланетного диска и, как показано в работе [34], аккреция таких сгустков может происходить на внутренние части родительской протозвездной системы (~1 а. е.). Авторы отмечают, что эпизоды поздней аккреции являются общим явлением для всех рассчитанных моделей протозвезд. Таким образом, этот механизм образования сгустков и их дальнейшего падения на протопланетный диск в виде струи наиболее вероятен.
5. ЗАКЛЮЧЕНИЕ
В работе [42] был исследован распад газового сгустка малой массы во вращающейся среде протопланетного диска в приближении мгновенного возникновения неоднородности в результате падения вещества из внешней среды на периферию диска. Было показано, что вещество сгустка, увлекаемое вращением диска, растягивается сначала в вихреподобную структуру, затем в однорукавную спираль, а далее, в зависимости от начальной скорости сгустка, формируется подковообразная асимметрия, кольцевая структура, или двухрукавная спираль. В следующей работе [43] рассматривался случай дискретного падения массивного облака на газовый диск вблизи звезды. Были получены свидетельства того, что при существенной потере кинетической энергии веществом упавшей струи газа при столкновении с диском вблизи звезды происходит формирование наклонного внутреннего диска. Поскольку возмущение в диске в начальный момент времени гравитационно связано со звездой и имеет скорости меньше кеплеровской, а также ненулевой вертикальный компонент скорости, то имеет место второе пересечение невозущенного диска веществом возмущения. Это, по-видимому, способствует формированию наклонного внутреннего диска. Также было показано, что, если в диске имеется обширная область вещества, скорости которого составляют 60% от кеплеровской скорости, возможен резкий рост темпа аккреции, напоминающий с течением времени по форме вспышку типа FU Ori, что было дополнительно проверено в работе [44].
В данной работе рассмотрен случай непрерывного падения вещества на газовый диск в виде струи конечного размера. В отличие от предыдущих работ, где расчеты выполнены методом сглаживания по частицам (SPH), в данной работе был применен метод конечных объемов. Результаты этих расчетов подтвердили выводы предыдущих работ. Оказалось, что наибольшие потери кинетической энергии струи вещества происходят в моделях, в которых траектория движения центра масс падающего вещества ретроградная и пересекает исходную плоскость диска дважды. Таким образом, именно в этом случае могут реализоваться условия, описанные в работе [43]. Было показано, что при разных начальных углах наклона исходной орбиты падающего вещества формируется наклонный внутренний диск. Поэтому можно предположить, что падение струи вещества может способствовать формированию планеты на наклонной относительно плоскости диска (и соответственно плоскости экватора звезды) орбите вблизи звезды. Это и отличает данную модель от тех, что были описаны в работах [34, 35, 36], где периферия диска наклоняется относительно его внутренних частей.
Кроме того, при ретроградном падении струи в диске образуется обширная область вещества, скорости которого составляют меньше 65% кеплеровской скорости на том же расстоянии. Такое вещество начинает ускоренно падать на звезду, тем самым темп аккреции увеличивается на два порядка, а затем происходит плавное уменьшение темпа аккреции в процессе релаксации диска. В таком случае можно ожидать FU Ori-подобную вспышку светимости. Следует отметить, что турбулентная вязкость несущественно меняется в процессе столкновения струи с веществом диска. Начальная масса сгустка, необходимая для увеличения темпа аккреции на два порядка, в данной работе в 3 раза меньше, а расстояние столкновения в 3 раза больше, чем полученное в работе [43]. Это связано с тем, что скорости вещества при столкновении с ретроградно падающей струей в рассмотренной модели распределены в диапазоне значений, который включает в себя в том числе величины, которые меньше 60% от кеплеровской скорости, а не заданы одинаковыми для всего возмущения, как в предыдущей работе.
Таким образом, результаты численного моделирования, проведенного в данной работе, позволяют уверенно связать друг с другом две наблюдаемые особенности протопланетных дисков: вспышки типа FU Ori и образование внутренних наклонных дисков в рамках одной идеи: падение струи газа конечного размера на протопланетный диск.
Было проанализировано количество вещества струи, захваченного диском или упавшего на звезду. Можно заключить, что, чем меньше угол наклона орбиты сгустка, тем дольше вещество сгустка взаимодействует с диском, и поэтому тем больший процент вещества сгустка остается в системе. Как и следовало ожидать, в ретроградном случае процент захваченного вещества выше и достигает более 90% при угле наклона орбиты струи в случае двукратного пересечения плоскости диска, чем при сонаправленном падении. Кроме того, доля захваченной массы заметно больше при двойном пересечении плоскости диска орбитой струи, чем при одиночном.
В данной работе впервые было показано, что после столкновения вещества струи с диском газ может подниматься высоко над исходной плоскостью, при этом можно ожидать и увлечение газом мелкой пыли. В таком случае может наблюдаться резкий рост оптической толщины (в течение года) в направлениях , а затем плавное уменьшение поглощения. Следует отметить, что в то же время и вспышка светимости за счет аккреции будет оказывать влияние на изменения блеска звезды. Однако, как показано в работе [72], увеличение темпа аккреции провоцирует и усиление дискового ветра, который в свою очередь также будет экранировать звезду от наблюдателя. Таким образом все три эффекта: подъем вещества над диском, рост темпа аккреции и усиление дискового ветра, вероятно, отразятся на форме кривой блеска (в том числе и при больших углах наклона луча зрения к плоскости диска). Сначала произойдет резкое падение блеска на несколько звездных величин, затем пребывание в минимуме, которое может продлиться десятилетия, а далее плавный выход к яркому состоянию.
Следует отметить, что в данных расчетах не учитывался перенос излучения. Результаты расчетов показали, что после столкновения вещества струи с диском происходит нагрев газа до нескольких тысяч градусов Кельвина в области столкновения вследствие адиабатического сжатия. Затем нагретая область растягивается в спираль кеплеровским вращением диска и распространяется на периферию диска, прогревая его. К моменту времени 150 лет спиральная структура располагается в пределах радиуса 45 а. е. Таким образом, перенос тепла происходит со скоростью а. е. за лет. В работе [73] показано, что характерное время тепловой релаксации вещества диска массой под действием радиативных процессов на расстоянии 7.5 а. е. составляет года и убывает с ростом расстояния и температуры. Таким образом, диск должен эффективно охлаждаться излучением. Тогда, как было отмечено в работе [72], вспышка аккреционной активности звезды, вызванная падением сгустка на диск, также должна сопровождаться усилением инфракрасного излучения из возмущенной области диска.
Распределение вещества в момент времени сразу после столкновения в первую очередь определяется энергией упавшей струи. В дальнейшем с повышением температуры эффективная полутолщина диска увеличивается. Для исследования данного процесса при расчетах долговременной динамики газа в протопланетном диске после столкновения с внешней струей газа необходим более детальный расчет теплового баланса. Такие расчеты планируется выполнить в будущей работе.
БЛАГОДАРНОСТИ
Расчеты проводились с использованием ресурсов Межведомственного суперкомпьютерного центра РАН Филиал Федерального государственного учреждения «Научно-исследовательский институт системного анализа Российская академия наук» [74].
Авторы выражают благодарность рецензенту за качественные замечания и интересные идеи, дополняющие содержание статьи.
1 http://plutocode.ph.unito.it/
About the authors
V. V. Grigoryev
Crimean Astrophysical Observatory of RAS
Author for correspondence.
Email: vitaliygrigoryev@crao.ru
Russian Federation, Crimea, Nauchny
T. V. Demidova
Crimean Astrophysical Observatory of RAS
Email: proxima1@list.ru
Russian Federation, Crimea, Nauchny
References
- C.J. Burrows, J.E. Krist, K.R. Stapelfeldt, and WFPC2 Investigation Definition Team, AAS Meeting Abstracts № 187, id. 32.05; Bull. Amer. Astron. Soc. 27, 1329 (1995).
- D. Mouillet, J.D. Larwood, J.C.B. Papaloizou, and A.M. Lagrange, Monthly Not. Roy. Astron. Soc. 292(4), 896 (1997), arXiv:astro-ph/9705100.
- J.D. Larwood and J.C.B. Papaloizou, Monthly Not. Roy. Astron. Soc. 285(2), 288 (1997), arXiv:astro-ph/9609145.
- A.M. Lagrange, M. Kasper, A. Boccaletti, G. Chauvin, et al., Astron. and Astrophys. 506(2), 927 (2009), arXiv:0906.5520 [astro-ph.EP].
- G. Chauvin, A.M. Lagrange, H. Beust, M. Bonnefoy, et al., Astron. and Astrophys. 542, id. A41 (2012), arXiv:1202.2655 [astro-ph.EP].
- J.A. Eisner, B.F. Lane, L.A. Hillenbrand, R.L. Akeson, and A.I. Sargent, Astrophys. J. 613(2), 1049 (2004), arXiv:astro-ph/0406356.
- E. Chapillon, S. Guilloteau, A. Dutrey, and V. Pietu, Astron. and Astrophys. 488(2), 565 (2008), arXiv:0805.3473 [astro-ph].
- J. Bouvier, A. Chelli, S. Allain, L. Carrasco, et al., Astron. and Astrophys. 349, 619 (1999).
- K.R. Covey, K.A. Larson, G.J. Herczeg, and C.F. Manara, Astron. J. 161(2), id. 61 (2021), arXiv:2012.02415 [astro-ph.SR].
- R.A. Loomis, K.I. Öberg, S.M. Andrews, and M.A. MacGregor, Astrophys. J. 840(1), id. 23 (2017), arXiv:1704.02006 [astro-ph.EP].
- R.A. Rossiter, Astrophys. J. 60, 15 (1924).
- D.B. McLaughlin, Astrophys. J. 60, 22 (1924).
- S.H. Albrecht, R.I. Dawson, and J.N. Winn, Publ. Astron. Soc. Pacific 134(1038), id. 082001 (2022), arXiv:2203.05460 [astro-ph.EP].
- C. Hellier, D.R. Anderson, M. Gillon, T.A. Lister, et al., Astrophys. J. Letters. 690(1), L89 (2009), arXiv:0805.2600 [astro-ph].
- A.H.M.J. Triaud, A. Collier Cameron, D. Queloz, D.R. Anderson, et al., Astron. and Astrophys. 524, id. A25 (2010), arXiv:1008.2353 [astro-ph.EP].
- V.P. Grinin, T.V. Demidova, and N.Y. Sotnikova, Astron. Letters 36(11), 808 (2010), arXiv:1110.2971 [astro-ph.SR].
- T.V. Demidova, V.P. Grinin, and N.Y. Sotnikova, Astron. Letters 39(11), 26 (2013), arXiv:1304.2262 [astro-ph.SR].
- T.V. Demidova and V.P. Grinin, Astron. Letters 40(6), 334 (2014), arXiv:1701.03143 [astro-ph.SR].
- J.P. Ruge, S. Wolf, T. Demidova, and V. Grinin, Astron. and Astrophys. 579, id. A110 (2015), arXiv:1506.04373 [astro-ph.EP].
- L. Arzamasskiy, Z. Zhu, and J.M. Stone, Monthly Not. Roy. Astron. Soc. 475(3), 3201 (2018), arXiv:1710.11128 [astro-ph.EP].
- Z. Zhu, Monthly Not. Roy. Astron. Soc. 483(3), 4221 (2019), arXiv:1812.01262 [astro-ph.EP].
- R. Nealon, C. Pinte, R. Alexander, D. Mentiplay, and G. Dipierro, Monthly Not. Roy. Astron. Soc. 484(4), 4951 (2019), arXiv:1902.00036 [astro-ph.EP].
- N. van der Marel, T. Birnstiel, A. Garufi, E. Ragusa, et al., Astron. J. 161(1), id. 33 (2021), arXiv:2010.10568 [astro-ph.EP].
- T. Stolker, M. Sitko, B. Lazareff, M. Benisty, et al., 849(2), 143 (2017), arXiv:1710.02532 [astro-ph.EP].
- S. Marino, S. Perez, and S. Casassus, Astrophys. J. Letters 798(2), L44 (2015), arXiv:1412.4632 [astro-ph.EP].
- H. Avenhaus, S.P. Quanz, H.M. Schmid, C. Dominik, et al., Astron. J. 154(1), id. 33 (2017), arXiv:1705.09680 [astro-ph.EP].
- Z.C. Long, R.B. Fernandes, M. Sitko, K. Wagner, et al., 838(1), id. 62 (2017), arXiv:1703.00970 [astro-ph.EP].
- M. Min, T. Stolker, C. Dominik, and M. Benisty, Astron. and Astrophys. 604, L10 (2017), arXiv:1704.01844 [astro-ph.EP].
- S. Lacour, B. Biller, A. Cheetham, A. Greenbaum, et al., Astron. and Astrophys. 590, id. A90 (2016), arXiv:1511.09390 [astro-ph.SR].
- R. Claudi, A.L. Maire, D. Mesa, A. Cheetham, et al., Astron. and Astrophys. 622, id. A96 (2019), arXiv:1812.07814 [astro-ph.SR].
- W. Kley and R.P. Nelson, Ann. Rev. Astron. Astrophys. 50, 211 (2012), arXiv:1203.1184 [astro-ph.EP].
- M. Xiang-Gruess and J.C.B. Papaloizou, Monthly Not. Roy. Astron. Soc. 431(2), 1320 (2013), arXiv:1302.2045 [astro-ph.EP].
- I. Thies, P. Kroupa, S.P. Goodwin, D. Stamatellos, and A. P. Whitworth, Monthly Not. Roy. Astron. Soc. 417(3), 1817 (2011), arXiv:1107.2113 [astro-ph.EP].
- M. Küffmeier, S. Frimann, S.S. Jensen, and T. Haugbølle, Monthly Not. Roy. Astron. Soc. 475(2), 2642 (2018), arXiv:1710.00931 [astro-ph.SR].
- C.P. Dullemond, M. Küffmeier, F. Goicovic, M. Fukagawa, V. Oehl, and M. Kramer, Astron. and Astrophys. 628, id. A20 (2019), arXiv:1911.05158 [astro-ph.EP].
- M. Küffmeier, C.P. Dullemond, S. Reissl, and F.G. Goicovic, Astron. and Astrophys. 656, id. A161 (2021), arXiv:2110.04309 [astro-ph.SR].
- E.I. Vorobyov, D.N.C. Lin, and M. Guedel, Astron. and Astrophys. 573, id. A5 (2015), arXiv:1410.1743 [astro-ph.SR].
- M. Unno, T. Hanawa, and S. Takasao, Astrophys. J. 941(2), id. 154 (2022).
- E.I. Vorobyov and S. Basu, Astrophys. J. Letters 633(2), L137 (2005), arXiv:astro-ph/0510014.
- S. Basu and E.I. Vorobyov, 750(1), id. 30 (2012), arXiv:1203.0274 [astro-ph.SR].
- E.I. Vorobyov, M.E. Steinrueck, V. Elbakyan, and M. Guedel, Astron. and Astrophys. 608, id. A107 (2017), arXiv:1708.07166 [astro-ph.SR].
- T.V. Demidova and V.P. Grinin, Astrophys. J. 930(2), id. 111 (2022), arXiv:2205.06763 [astro-ph.SR].
- T.V. Demidova and V.P. Grinin, Astrophys. J. 953(1), id. 38 (2023), arXiv:2308.04936 [astro-ph.SR].
- V. Grigoryev and T. Demidova, in Parallel Computational Technologies, 17th Intern. Conference, Saint Petersburg, Russia, March 28–30, 2023, edited by L. Sokolinsky and M. Zymbler (Springer Nature Switzerland, Cham, 2023), p. 269.
- J.E. Pineda, D. Arzoumanian, P. Andre, R.K. Friesen, et al., in Protostars and Planets VII, ASP Conference Series, 534, Proc. of a conference held 10–15 April 2023 at Kyoto, Japan; edited by S. Inutsuka, Y. Aikawa, T. Muto, K. Tomida, and M. Tamura (San Francisco: Astron. Soc. Pacific, 2023), p. 233, arXiv:2205.03935 [astro-ph.GA].
- C. Ginski, S. Facchini, J. Huang, M. Benisty, et al., Astrophys. J. Letters 908(2), id. L25 (2021), arXiv:2102.08781 [astro-ph.EP].
- A. Garufi, L. Podio, C. Codella, D. Segura-Cox, et al., Astron. and Astrophys. 658, id. A104 (2022), arXiv:2110.13820 [astro-ph.GA].
- T. Hanawa, A. Garufi, L. Podio, C. Codella, and D. Segura-Cox, Monthly Not. Roy. Astron. Soc. 528(4), 6581 (2024), arXiv:2402.02706 [astro-ph.GA].
- A. Mignone, G. Bodo, S. Massaglia, T. Matsakos, O. Tesileanu, C. Zanni, and A. Ferrari, Astrophys. J. Suppl. 170(1), 228 (2007), arXiv:astro-ph/0701854.
- S.I. Braginskii, Rev. Plasma Physics 1, 205 (1965).
- N.I. Shakura and R.A. Sunyaev, Astron. and Astrophys. 24, 337 (1973).
- L. Hartmann, Accretion Processes in Star Formation (Cambridge University Press, 2008).
- E.I. Chiang and P. Goldreich, Astrophys. J. 490, 368 (1997), arXiv:astro-ph/9706042.
- C.P. Dullemond and C. Dominik, Astron. and Astrophys. 421, 1075 (2004), arXiv:astro-ph/0405226.
- A. Dutrey, S. Guilloteau, and M. Simon, Astron. and Astrophys. 286, 149 (1994).
- J. Stoer and R. Bulirsch, Introduction to Numerical Analysis (New York: Springer-Verlag, 1980).
- T. Demidova, Astronomy and Computing 41, id. 100635 (2022).
- V. Grigoryev, T. Demidova, Proceedings of the International Scientific Youth School-Seminar “Mathematical Modeling, Numerical Methods and Software complexes” named after E.V. Voskresensky (Saransk, July 26–28, 2024). Saransk: SVMO Publ, 2024. – pp. 40–44.
- G. H. Herbig, 217, 693 (1977).
- E.N. Kopatskaya, E.A. Kolotilov, and A.A. Arkharov, Monthly Not. Roy. Astron. Soc. 434(1), 38 (2013).
- Z.M. Szabó, Á. Kóspál, P. Ábrahám, S. Park, et al., Astrophys. J. 917(2), id. 80 (2021), arXiv:2105.10405 [astro-ph.SR].
- A. Natta and B.A. Whitney, Astron. and Astrophys. 364, 633 (2000).
- S. Pfalzner, Astron. and Astrophys. 492(3), 735 (2008), arXiv:0810.2854 [astro-ph].
- D. Forgan and K. Rice, Monthly Not. Roy. Astron. Soc. 402(2), 1349 (2010), arXiv:0911.0531 [astro-ph.SR].
- E.M.A. Borchert, D.J. Price, C. Pinte, and N. Cuello, Monthly Not. Roy. Astron. Soc. 510(1), L37 (2022), arXiv:2111.12723 [astro-ph.GA].
- E.M.A. Borchert, D.J. Price, C. Pinte, and N. Cuello, Monthly Not. Roy. Astron. Soc. 517(3), 4436 (2022), arXiv:2210.01143 [astro-ph.SR].
- A.M. Skliarevskii and E.I. Vorobyov, Astron. Rep. 67(12), 1401 (2023), arXiv:2402.14165 [astro-ph.SR].
- V.P. Grinin, L.V. Tambovtseva, O.Y. Barsunova, and D.N. Shakhovskoy, Astrophysics 66(2), 235 (2023), arXiv:2304.07115 [astro-ph.SR].
- E.H. Semkov, S.P. Peneva, and S.I. Ibryamov, Astron. and Astrophys. 582, id. A113 (2015), arXiv:1510.00416 [astro-ph.SR].
- J. Bouvier, K. Grankin, L.E. Ellerbroek, H. Bouy, and D. Barrado, Astron. and Astrophys. 557, id. A77 (2013), arXiv:1304.1487 [astro-ph.SR].
- C.J. Clarke and J.E. Pringle, Monthly Not. Roy. Astron. Soc. 249, 584 (1991).
- V.P. Grinin and T.V. Demidova, Astron. Letters, 50(3), 194 (2024).
- M.G. Malygin, H. Klahr, D. Semenov, T. Henning, and C.P. Dullemond, Astron. and Astrophys. 605, id. A30 (2017), arXiv:1704.06786 [astro-ph.EP].
- G. Savin, B. Shabanov, P. Telegin, and A. Baranov, Lobachevskii J. Mathematics 40, 1853 (2019).
Supplementary files












