High-Frequency Magnetic Impedance in (CoFeNi)BSi and (CoFeCrMo)BSi Amorphous Microwires in a Glass Sheath near the Curie Temperature
- Authors: Alam J.1, Zedan A.K.1, Nematov M.G.2, Yudanov N.A.1, Kurochka A.S.1, Nuriev A.V.1, Panina L.V.1,3, Kostishin V.G.1
-
Affiliations:
- National University of Science and Technology MISiS
- Institute of Theoretical and Applied Electrodynamics, Russian Academy of Sciences
- Immanuel Kant Baltic Federal University
- Issue: Vol 124, No 1 (2023)
- Pages: 3-9
- Section: ЭЛЕКТРИЧЕСКИЕ И МАГНИТНЫЕ СВОЙСТВА
- URL: https://medbiosci.ru/0015-3230/article/view/139323
- DOI: https://doi.org/10.31857/S0015323022600873
- EDN: https://elibrary.ru/KOMAUL
- ID: 139323
Cite item
Full Text
Abstract
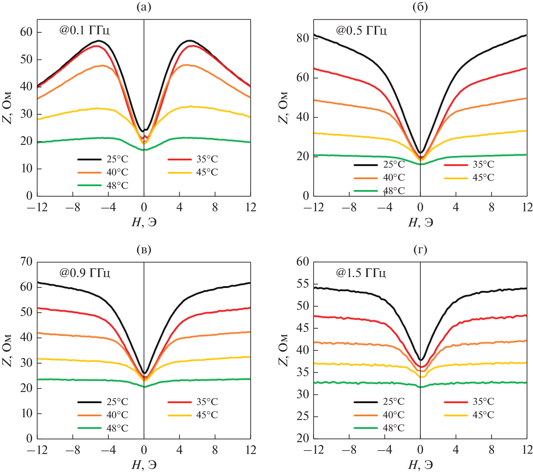
The temperature behavior of high-frequency magnetoimpedance (MI) in amorphous microwires in a glass sheath has been studied in the temperature range up to the Curie temperature TC. Two alloy samples with compositions of Co27.4Fe5B12.26Si12.26Ni43.08 (TC ≈ 48°C) and Co64.82Fe3.9B10.2Si12Cr9Mo0.08 (TC ≈ 61°C) with different signs of magnetostriction constant λs and with different types of magnetic anisotropy were used. For the first alloy sample, λs < 0, which leads to circular anisotropy. For the second alloy sample, λs > 0, and easy axis anisotropy is formed along the wire axis. A substantial decrease in the impedance is observed at elevated frequencies with an increase in the temperature in microwires with easy axis anisotropy, regardless of the application of a magnetic field, while the change in the impedance in wires with circular anisotropy is more substantial in the presence of an external field. Moreover, the change in the impedance with an increase in the temperature from room temperature to TC can reach 200–300% in the frequency range of 0.5–0.9 GHz in a magnetic field of about 10 Oe. These results may be of interest for the development of miniature temperature sensors.
About the authors
J. Alam
National University of Science and Technology MISiS
Email: drlpanina@gmail.com
Moscow, 119991 Russia
A. Kh. Kh. Zedan
National University of Science and Technology MISiS
Email: drlpanina@gmail.com
Moscow, 119991 Russia
M. G. Nematov
Institute of Theoretical and Applied Electrodynamics, Russian Academy of Sciences
Email: drlpanina@gmail.com
Moscow, 125412 Russia
N. A. Yudanov
National University of Science and Technology MISiS
Email: drlpanina@gmail.com
Moscow, 119991 Russia
A. S. Kurochka
National University of Science and Technology MISiS
Email: drlpanina@gmail.com
Moscow, 119991 Russia
A. V. Nuriev
National University of Science and Technology MISiS
Email: drlpanina@gmail.com
Moscow, 119991 Russia
L. V. Panina
National University of Science and Technology MISiS; Immanuel Kant Baltic Federal University
Email: drlpanina@gmail.com
Moscow, 119991 Russia; Kaliningrad, 236016 Russia
V. G. Kostishin
National University of Science and Technology MISiS
Author for correspondence.
Email: drlpanina@gmail.com
Moscow, 119991 Russia
References
- Derevyanko M.S., Bukreev D.A., Moiseev A.A., Kurlya-ndskaya G.V., Semirov A.V. Effect of heat treatment on the magnetoimpedance of soft magnetic Co68.5Fe4Si15B12.5 amorphous ribbons // Phys. Met. Metal. 2020. V. 121. P. 28–31.
- Zhukov A., Ipatov M., Corte-Leon P., Gonzalez-Legarreta L., Churyukanova M., Blanco J.M., Gonzalez J., Taskaev S., Hernando B., Zhukova V. Giant magnetoimpedance in rapidly quenched materials // J. Alloy Comp. 2020. V. 814. № 152225.
- Курляндская Г.В., Бебенин Н.Г., Васьковский В.О. Гигантский магнитный импеданс проволок с тонким магнитным покрытием // ФММ. 2011. Т. 111. С. 136–158.
- Kraus L., Fraita Z., Pirotab K.R., Chiriac H. Giant magnetoimpedance in glass-covered amorphous microwires // J. Magn. Magn. Mater. 2003. V. 254–255. P. 399–403.
- Julie Nabias, Aktham Asfour, Jean-Paul Yonnet. Temperature Dependence of Giant Magnetoimpedance in Amorphous Microwires for Sensor Application // IEEE Trans. Magn. 2017. V. 53. № 4001005.
- Malátek M., Ripka P., Kraus L. Temperature offset drift of GMI sensors // Sens. Actuators A Phys. 2008. V. 147. P. 415–418.
- Varga R., Klein P., Sabol R., Kammouni R.E., Vazquez M. Properties and applications for magnetic field, temperature, and stress sensing // Springer Series in Mater. Sci. 2017. P. 252, 169–212.
- Zhukova V., Blanco J.M., Ipatov M., Zhukov A., García C., Gonzalez J., Varga R., Torcunov A. Development of thin microwires with low Curie temperature for temperature sensors applications // Sens. Actuators B Chem. 2007. V. 126. P. 318–323.
- Makhnovskiy D.P., Panina L.V., Mapps D.J. Field-dependent surface impedance tensor in amorphous wires with two types of magnetic anisotropy: helical and circumferential // Phys. Rev. B. 2001. V. 63. № 144424.
- Panina L.V., Dzhumazoda A., Evstigneeva S.A., Adam A.M., Morchenko A.T., Yudanov N.A., Kostishyn V.G. Temperature effects on magnetization processes and magnetoimpedance in low magnetostrictive amorphous microwires // J. Magn. Magn. Mater. 2018. V. 459. P. 147–153.
- Chiriac H., Marinescu C.S., Óvári T.-A. Temperature dependence of the magneto-impedance effect // J. Magn. Magn. Mater. 1999. V. 196–197. P. 162–163.
- Semirov A.V., Derevyanko M.S., Bukreev D.A., Moiseev A.A., Kurlyandskaya G.V. Impedance and magnetic properties of CoFeCrSiB amorphous ribbons near the Curie point // Tech. Phys. 2013. V. 58. P. 774–777.
- Kurniawan M., Roy R.K., Panda A.K., Greve D.W., Ohodnicki P., Mchenry M.E. Temperature-dependent giant magnetoimpedance effect in amorphous soft magnets // J. Electron. Mat. 2014. V. 43. P. 4576–4581.
- Bukreev D.A., Moiseev A.A., Derevyanko M.S., Semirov A.V. High-frequency electric properties of amorphous soft magnetic cobalt-based alloys in the region of transition to the paramagnetic state // Russian Physics Journal. 2015. V. 58. P.141–145.
- Giselher H. Modern soft magnets: Amorphous and nanocrystalline materials // Acta Materialia. 2013. V. 61. P. 718–734.
- Partha Sarkar, A. Basu Mallick, Roy R.K., Panda A.K., Mitra A. Structural and giant magneto-impedance properties of Cr-incorporated Co–Fe–Si–B amorphous microwires // J. Magn. Magn. Mater. 2012. V. 324. P. 1551–1556.
- Stepanova E.A., Volchkov S.O., Lukshina V.A., Khudyakova D.M., Larrañaga A., Neznakhin D.S. Magnetic and magnetoimpedance properties of rapidly quenched ribbons of modified alloys based on FINEMET // J. Phys.: Conf. Ser. 2019.V. 1389. № 012123.
- Chiriac H., Óvári T.A. Amorphous glass-covered magnetic wires: preparation, properties, applications // Prog. Mater. Sci. 1996. V. 40. P. 333–407.
- Duranka P., Ziman J., Onufer J., and Kardoš S. Magnetoelastic Anisotropy in Glass-Coated Microwires Studied using SAMR Method // ACTA Physica Polonica A. 2020. V. 137. № 5.
- Zhao Y., Wang Y., Estevez D., Qin F., Wang H., Zheng X., Makhnovskiy D., Peng H. Novel broadband measurement technique on PCB cells for the field- and stress-dependent impedance in ferromagnetic wires // Meas. Sci. Technol. 2020. V. 31. № 025901.
- Callen H.B., Callen E. The present status of the temperature dependence of magnetocrystalline anisotropy and the l(l + 1)/2 power law // J. Phys. Chem. Solids. 1966. V. 27. P. 1271–1285.
- O’Handley R.C. Magnetostriction of transition-metal-metalloid glasses: Temperature dependence // Phys. Rev. B. 1978. V. 18. P. 930–938.
- Chen G., Yang X.L., Zeng L., Yang J.X., Gong F.F., Yang D.P., Wang Z.C. High-temperature giant magnetoimpedance in Fe-based nanocrystalline alloy // J. Appl. Phys. 2000. V. 87. P. 5263–5265.
Supplementary files







