Microwave Radiation Absorption at a Frequency of 2.45 GHz by a Composite Based on the Dust of Electrical Arc Steel-Making Furnaces
- Authors: Anzulevich A.P.1, Pavlov D.A.1, Kalganov D.A.1,2, But’ko L.N.1, Tolkachev V.A.1, Kovalenko L.Y.1, Peng Z.3
-
Affiliations:
- Chelyabinsk State University Named after the Kashiriny Brothers
- Institute of Fine Mechanics and Optics National Research University
- Central South University, School of Minerals Processing and Bioengineering
- Issue: Vol 124, No 4 (2023)
- Pages: 360-367
- Section: ЭЛЕКТРИЧЕСКИЕ И МАГНИТНЫЕ СВОЙСТВА
- URL: https://medbiosci.ru/0015-3230/article/view/139395
- DOI: https://doi.org/10.31857/S0015323022601994
- EDN: https://elibrary.ru/VIPORI
- ID: 139395
Cite item
Full Text
Abstract
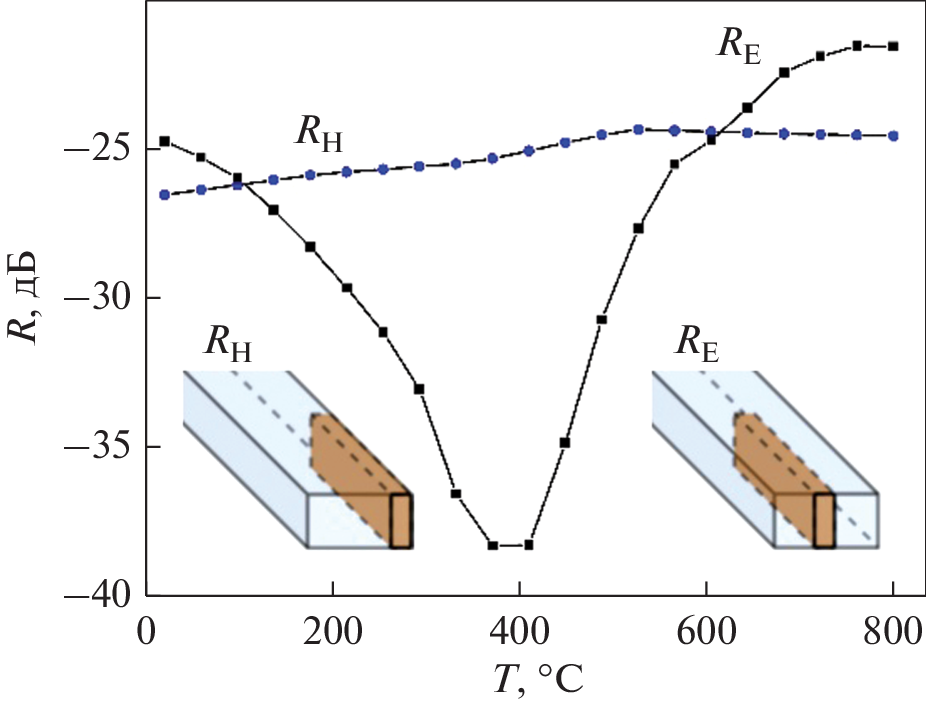
The physicochemical transformations and electromagnetic properties of a composite based on the dust of electrical arc steel-making furnaces and a carbon-containing material (hydrolysis lignin) have been studied. The complex dielectric permittivity of the studied material was measured by the resonator method during heating to 800°C. At room temperature, the effective values of the magnetic permeability and loss of the composite mixture were calculated by solving the Bruggeman equation according to the effective medium theory. The magnetic permeability during heating was found by orthogonal regression. The numerical model
of heating a dense packing from several layers of studied material grains was constructed by the finite element method with consideration of the real properties and physicochemical transformations.
About the authors
A. P. Anzulevich
Chelyabinsk State University Named after the Kashiriny Brothers
Email: anzul@list.ru
Chelyabinsk 452500 Russia
D. A. Pavlov
Chelyabinsk State University Named after the Kashiriny Brothers
Email: anzul@list.ru
Chelyabinsk 452500 Russia
D. A. Kalganov
Chelyabinsk State University Named after the Kashiriny Brothers; Institute of Fine Mechanics and Optics National Research University
Email: anzul@list.ru
Chelyabinsk 452500 Russia; St. Petersburg, 191002 Russia
L. N. But’ko
Chelyabinsk State University Named after the Kashiriny Brothers
Email: anzul@list.ru
Chelyabinsk 452500 Russia
V. A. Tolkachev
Chelyabinsk State University Named after the Kashiriny Brothers
Email: anzul@list.ru
Chelyabinsk 452500 Russia
L. Yu. Kovalenko
Chelyabinsk State University Named after the Kashiriny Brothers
Email: anzul@list.ru
Chelyabinsk 452500 Russia
Z. Peng
Central South University, School of Minerals Processing and Bioengineering
Author for correspondence.
Email: anzul@list.ru
Hunan, Changsha, 410083 China
References
- Паньшин А.М., Шакирзянов Р.М., Избрехт П.А. Основные направления совершенствования производства цинка на ОАО Челябинский цинковый завод // Цветные металлы. 2015. Т. 5. С. 19–21.
- Симонян Л.М., Демидова Н.В. Исследование процесса безуглеродного селективного извлечения цинка и свинца из пыли ДСП // Изв. Вузов. Черная металлургия. 2020. Т. 63. С. 631–638.
- Любов В.К., Попова Е.И., Попов А.Н. Торрефакция гидролизного лигнина // Химия твердого топлива. 2018. Т. 4. С. 24–33.
- Ye Q., Li G., Peng Z., Augustine R., Pérez M.D., Liu Y., Liu M., Rao M., Zhang Y., Jiang T. Microwave-assisted self-reduction of EAF dust-biochar composite briquettes for production of direct reduced iron // Powder Techn. 2020. V. 362. P. 781–789.
- Ryazanov A.G., Mikhailov G.G., Khmeleva O.V., Savi-na Y.D., Galimov D.M., Senin A.V. Investigation of dielectric heating method of zinc-containing materials for chlorides removal // IOP Conference Series: Earth and Environmental. 2021. V. 938. P. 012003.
- Xue Y., Hao X., Liu X., Zhang N. Recovery of Zinc and Iron from Steel Mill Dust–An Overview of Available Technologies // Materials. 2022. V. 15. P. 4127.
- Ye L., Peng Z., Ye Q., Wang L., Augustine R., Pe-rez M., Liu Y., Liu M., Tang H., Rao M., Li G. Toward environmentally friendly direct reduced iron production: A novel route of comprehensive utilization of blast furnace dust and electric arc furnace dust // Waste Management. 2021. V. 135. P. 389–396.
- Anzulevich A., Butko L., Kalganov D., Pav-lov D., Tolkachev V., Fedii A., Buchelnikov V., Peng Z. Optimization of the Microwave-Assisted Carbothermical Reduction Process for Metals from Electric Arc Furnace Dust with Biochar // Metals. 2021. V. 11. P. 1765.
- Hotta M., Hayashi M., Nishikata A., Nagata K. Complex permittivity and permeability of SiO2 and Fe3O4 powders in microwave frequency range between 0.2 and 13.5 GHz // J. Iron Steel Institute. 2009. V. 49. P. 1443–1448.
- Huang J., Liu Y., Li Y., Liu X. Microwave electromagentic and absorption properties of AFe2O4 (A = Ni, Mn, Zn) ferrites // In Proceedings of the International Conference on Manufacturing Construction and Energy Engineering (MCEE). 2016. V. 1. P. 17–18.
- Torsello D., Bartoli M., Giorcelli M., Rovere M., Arrigo R., Malucelli G., Tagliaferro A., Ghigo G. High frequency electromagnetic shielding by biochar-based composites // Nanomaterials. 2021. V. 11. P. 2383.
- Omran M., Fabritius T., Yu Y., Heikkinen E.P., Chen G., Kacar Y. Improving zinc recovery from steelmaking dust by switching from conventional heating to microwave heating // J. Sustain. Metal. 2021. V. 7. P. 15–26.
- Ye L., Peng Z., Wang L., Anzulevich A., Bychkov I., Kalganov D., Tang H., Rao M., Li G., Jiang T. Use of biochar for sustainable ferrous metallurgy // The J. Miner. Met. Mater. Soc. (TMS). 2019. V. 71. P. 3931–3940.
- Xiong L., Peng Z., Mao X., Wang J., Rao M., Zhang Y., Li G. Efficient Utilization of Carbon-Bearing Dusts in Composite Agglomeration Process for Iron Ore Sintering // J. Sustainable Metal. 2022. V. 8. P. 1065–1077.
- Omran M., Fabritius T. Effect of steelmaking dust characteristics on suitable recycling process determining: Ferrochrome converter (CRC) and electric arc furnace (EAF) dusts // Powder Techn. 2017. V. 308. P. 47–60.
- Anzulevich A.P., Butko L.N., Bychkov I.V., Buchelnikov V.D., Kalganov D.A., Pavlov D.A., Fediy A.A., Kharitonova O.G., Moiseev S.G. Dynamic magnetic losses in powders consisting of metallized dielectric particles at microwaves // J. Magn. Magn. Mater. 2017. V. 444. P. 307–312.
- Ye L., Peng Z., Wang L., Anzulevich A., Bychkov I., Tang H., Rao M., Zhang Y., Li G., Jiang T. Preparation of core-shell iron ore-biochar composite pellets for microwave reduction // Powder Techn. 2018. V. 338. P. 365–375.
- Пархоменко М.П., Каленов Д.С., Федосеев Н.А., Еремин И.С., Колесникова В.М., Ковтыков Д.А. Улучшенный резонаторный метод для измерения комплексной диэлектрической проницаемости материалов // Радиотехника и электроника. 2017. V. 62. P. 651–656.
- Peng Z., Hwang J.Y., Andriese M. Absorber impedance matching in microwave heating // Appl. Phys. Express. 2012. V. 5. P. 077301.
- Button K., Lax B. Theory of ferrites in rectangular waveguides // IRE Trans. Antennas and Propagation. 1956. V. 4. P. 531–537.
- Enders A. An accurate measurement technique for line properties, junction effects, and dielectric and magnetic material parameters // IEEE Trans. Microwave theory Techniques. 1989. V. 37. P. 598–605.
- Hasar U.C. A new microwave method based on transmission scattering parameter measurements for simultaneous broadband and stable permittivity and permeability determination // Progress In Electromagnetics Research. 2009. V. 93. P. 161–176.
- Hasar U.C. Accurate complex permittivity inversion from measurements of a sample partially filling a waveguide aperture // IEEE Trans. Microwave Theory Techniques. 2010. V. 58. P. 451–457.
- Huang J., Liu Y., Li Y., Liu X. Microwave electromagentic and absorption properties of AFe2O4 (A = Ni, Mn, Zn) ferrites // In Proceedings of the International Conference on Manufacturing Construction and Energy Engineering (MCEE). Hong Kong, China. 2016. P. 17–18.
- Rybakov K.I., Semenov V.E., Egorov S.V., Eremeev A.G., Plotnikov I.V., Bykov Y.V. Microwave heating of conductive powder materials // J. Appl. Phys. 2006. V. 99. P. 023506.
- Курушин А.А. Использование каналов Флоке для моделирования периодической наноструктуры // Журнал радиоэлектроники. 2010. V. 11. P. 1–22.
- Wang L., Peng Z., Lin X., Ye Q., Ye L., Zhang J., Liu Y., Liu M., Rao M., Li G., Jiang T. Microwave-intensified treatment of low-zinc EAF dust: A route toward high-grade metallized product with a focus on multiple elements // Powder Technology. 2021. V. 383. P. 509–521.
- Buschow K.H.J. Concise Encyclopedia of Magnetic and Superconducting Materials. Elsevier Ltd., Kidlington, Oxford. 2001. p. 1339.
- Mazanek E., Wyderko M. Kinetics and Phase Transitions During Reduction of Low-Porous Iron Ores // Polska Akademia Nauk Prace Kommunika Metalurgia. 1974. V. 22. P. 55–64.
Supplementary files













