Atomic Ordering in Fe2NiZ (Z = Al, Ga, In, Sn) Alloys: Effects on the Anisotropy and Properties of the Ground State
- Авторлар: Sokolovskiy V.V.1,2, Miroshkina O.N.3, Buchelnikov V.D.1, Gruner M.E.3
-
Мекемелер:
- Chelyabinsk State University
- National Universy of Science and Technology MISiS
- University of Duisburg-Essen
- Шығарылым: Том 124, № 2 (2023)
- Беттер: 146-153
- Бөлім: ЭЛЕКТРИЧЕСКИЕ И МАГНИТНЫЕ СВОЙСТВА
- URL: https://medbiosci.ru/0015-3230/article/view/139397
- DOI: https://doi.org/10.31857/S0015323022601337
- EDN: https://elibrary.ru/KVZXVA
- ID: 139397
Дәйексөз келтіру
Толық мәтін
Аннотация
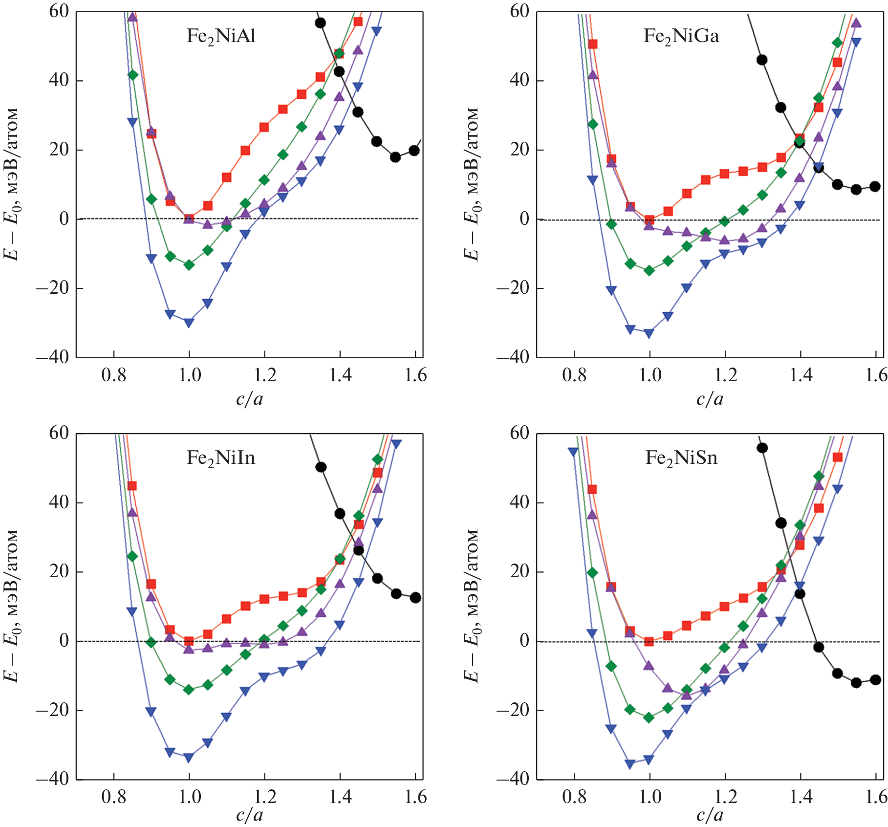
The effect of atomic configurations on the magnetic and structural properties of Fe2NiZ (Z = Al, Ga, In, Sn) Heusler alloys has been studied within the density functional theory. The competition between five structural motifs of the cubic phase due to permutations of Fe and Ni atoms is discussed. A new structure of the cubic phase with layer-by-layer atomic ordering of Fe and Ni atoms in the ground state is predicted. In this structural modification, the considered compounds have high magnetocrystalline anisotropy values that several times exceed the values for the FeNi alloy with tetragonal symmetry.
Негізгі сөздер
Авторлар туралы
V. Sokolovskiy
Chelyabinsk State University; National Universy of Science and Technology MISiS
Email: vsokolovsky84@mail.ru
Chelyabinsk, 454001 Russia; Moscow, 119049 Russia
O. Miroshkina
University of Duisburg-Essen
Email: vsokolovsky84@mail.ru
Duisburg, 47057 Germany
V. Buchelnikov
Chelyabinsk State University
Email: vsokolovsky84@mail.ru
Chelyabinsk, 454001 Russia
M. Gruner
University of Duisburg-Essen
Хат алмасуға жауапты Автор.
Email: vsokolovsky84@mail.ru
Duisburg, 47057 Germany
Әдебиет тізімі
- Kuz’min M.D., Skokov K.P., Jian H., Radulov I., Gutfleisch O. Towards high-performance permanent magnets without rare earths // J. Phys. Condens. Matter. 2014. V. 26. № 6. P. 064205.
- McCallum R.W., Lewis L.H., Skomski R., Kramer M.J., Anderson I.E. Practical aspects of modern and future permanent magnets // Annu. Rev. Mater. Res. 2014. V. 44. P. 451–477.
- Niarchos D., Giannopoulos G., Gjoka M., Sarafidis C., Psycharis V., Rusz J., Edström A.A., Eriksson O., Toson P., Fidler J., Anagnostopoulou E., Sanyal U., Ott F., Lacroix L.M., Viau G., Bran C., Vazquez M., Reichel L., Schultz L., Fähler S. Toward rare-earth-free permanent magnets: a combinatorial approach exploiting the possibilities of modeling, shape anisotropy in elongated nanoparticles, and combinatorial thin-film approach // JOM. 2015. V. 67. № 6. P. 1318–1328.
- Hirosawa S. Current status of research and develop- ment toward permanent magnets free from critical elements // J. Magn. Soc. Jpn. 2015. V. 39. № 3. P. 85–95.
- Skomski R., Coey J.M.D. Magnetic anisotropy–How much is enough for a permanent magnet? // Scr. Mater. 2016. V. 112. P. 3–8.
- Li D., Pan D., Li S., Zhang Z. Recent developments of rare-earth-free hard-magnetic materials // Sci. China Phys. Mech. Astron. 2016. V. 59. № 1. P. 617501.
- Skokov K.P., Gutfleisch O. Heavy rare earth free, free rare earth and rare earth free magnets-Vision and reality // Scr. Mater. 2018. V. 154. P. 289–294.
- Edström A., Chico J., Jakobsson A., Bergman A., Rusz J. Electronic structure and magnetic properties of L10 binary alloys // Phys. Rev. B. 2014. V. 90 № 1. P. 014402.
- Werwin’ski M., Marciniak W. Ab initio study of magnetocrystalline anisotropy, magnetostriction, and Fermi surface of L10 FeNi (tetrataenite) // J. Phys. D: Appl. Phys. 2017. V. 50. № 49. P. 495008.
- Tian L.-Y., Levamäki H., Eriksson O., Kokko K., Nagy Á., D’elczeg-Czirjak E.K., Vitos L. Density Functional Theory description of the order-disorder transformation in Fe- Ni // Sci. Rep. 2019. V. 9. № 1. P. 1–7.
- Bhattacharjee S., Lee S.-C. First-principles study of the complex magnetism in Fe16N2 // Sci. Rep. 2019. V. 9. № 1. P. 1–9.
- Reichel L., Schultz L., Pohl D., Oswald S., Fahler S., Werwin’ski M., Edström A., Delczeg-Czirjak E.K., Rusz J. From soft to hard magnetic Fe–Co–B by spontaneous strain: a combined first principles and thin film study // J. Condens. Matter Phys. 2015. V. 27. № 47. P. 476002.
- Delczeg-Czirjak E.K., Edström A., Werwin’ski M., Rusz J., Skorodumova N.V., Vitos L., Eriksson O. Stabilization of the tetragonal distortion of FexCo1 – x alloys by C impurities: A potential new permanent magnet // Phys. Rev. B. 2014. V. 89. № 14. P. 144403.
- Werwin’ski M., Edström A., Rusz J., Hedlund D., Gunnarsson K., Svedlindh P., Cedervall J., Sahlberg M. Magnetocrystalline anisotropy of Fe5PB2 and its alloys with Co and 5d elements: A combined first-principles and experimental study // Phys. Rev. B. 2018. V. 98. № 21. P. 214431.
- Werwin’ski M., Kontos S., Gunnarsson K., Svedlindh P., Cedervall J., Höglin V., Sahlberg M., Edström A., Eriksson O., Rusz J. Magnetic properties of Fe5SiB2 and its alloys with P, S, and Co // Phys. Rev. B. 2016. V. 93. № 17. P. 174412.
- Edström A., Werwiński M., Iuşan D., Rusz J., Eriksson O., Skokov K.P., Radulov I.A., Ener S., Kuz’min M.D., Hong J. et al. Magnetic properties of (Fe1 – xCox)2B alloys and the effect of doping by 5d elements // Phys. Rev. B. 2015. V. 92. № 17. P. 174413.
- Herper H.C. Ni-based Heusler compounds: How to tune the magnetocrystalline anisotropy // Phys. Rev. B. 2018. V. 98. № 1. P. 014 411.
- Gao Q., Opahle I., Gutfleisch O., Zhang H. Designing rare-earth free permanent magnets in Heusler alloys via interstitial doping // Acta Mater. 2020. V. 186. P. 355–362.
- Matsushita Y.I., Madjarova G., Dewhurst J.K., Shallcross S., Felser C., Sharma S., Gross E.K.U. Large magnetocrystalline anisotropy in tetragonally distorted Heuslers: a systematic study // J. Phys. D: Appl. Phys. 2017. V. 50. № 9. P. 095002.
- Sokolovskiy V.V., Miroshkina O.N., Buchelnikov V.D., Gruner M.E. Impact of local arrangement of Fe and Ni on the phase stability and magnetocrystalline anisotropy in Fe–Ni–Al Heusler alloys // Phys. Rev. Mater. 2022. V. 6. № 2. P. 025402.
- Kresse G., Furthmüller J. Efficient iterative schemes for ab initio total-energy calculations using a plane- wave basis set // Phys. Rev. B. 1996. Oct. V. 54. P. 11 169–11 186.
- Kresse G., Joubert D. From ultrasoft pseudopotentials to the projector augmented-wave method // Phys. Rev. B. 1999. V. 59. P. 1758.
- Perdew J. P., Burke K., Ernzerhof M. Generalized Gradient Approximation Made Simple // Phys. Rev. Lett. 1996. V. 77. P. 3865.
- Neibecker P., Gruner M.E., Xu X., Kainuma R., Petry W., Pentcheva R., Leitner M. Ordering tendencies and electronic properties in quaternary Heusler derivatives // Phys. Rev. B. 2017. V. 96. № 16. P. 165131.
- Wu R., Freeman A.J. Spin-orbit induced magnetic phenomena in bulk metals and their surfaces and interfaces // J. Magn. Magn. Mater. 1999. V. 200. № 1. P. 498–514.
- Bruno P. Tight-binding approach to the orbital magnetic moment and magnetocrystalline anisotropy of transition-metal monolayers // Phys. Rev. B. 1989. V. 39. № 1. P. 865.
- Paulevé J., Chamberod A., Krebs K., Bourret A. Magnetization curves of Fe–Ni (50–50) single crystals ordered by neutron irradiation with an applied magnetic field // J. Appl. Phys. 1968. V. 39. № 2. P. 989–990.
- Poirier E., Pinkerton F.E., Kubic R., Mishra R.K., Bordeaux N., Mubarok A., Lewis L.H., Goldstein J.I., Skomski R., Barmak K. Intrinsic magnetic properties of L10 FeNi obtained from meteorite NWA 6259 // J. Appl. Phys. 2015. V. 117. № 17. P. 17E318.
- Lewis L.H., Pinkerton F.E., Bordeaux N., Mubarok A., Poirier E., Goldstein J.I., Skomski R., Barmak K. De Magnete et Meteorite: Cosmically Motivated Materials // IEEE Magn. Lett. 2014. V. 5. P. 1–4.
Қосымша файлдар








