The Parameters of the Hyperfine Structure of 57Fe Nuclei in FeBO3 and Fe0.91Ga0.09BO3 Single Crystals
- Autores: Snegirev N.I.1, Starchikov S.S.2, Lyubutin I.S.2, Chuev M.A.3, Yagupov S.V.4, Strugatskii M.B.4
-
Afiliações:
- Shubnikov Institute of Crystallography, Crystallography, and Photonics Federal Research Center, Russian Academy of Sciences
- Shubnikov Institute of Crystallography, Crystallography, and Photonics Federal Research Center, Russian Academy of Sciences
- Valiev Institute of Physics and Technology, Russian Academy of Sciences
- Institute of Physics and Technology, Vernadsky Crimean Federal University
- Edição: Volume 124, Nº 4 (2023)
- Páginas: 368-374
- Seção: ЭЛЕКТРИЧЕСКИЕ И МАГНИТНЫЕ СВОЙСТВА
- URL: https://medbiosci.ru/0015-3230/article/view/139400
- DOI: https://doi.org/10.31857/S001532302260143X
- EDN: https://elibrary.ru/VIBHAW
- ID: 139400
Citar
Texto integral
Resumo
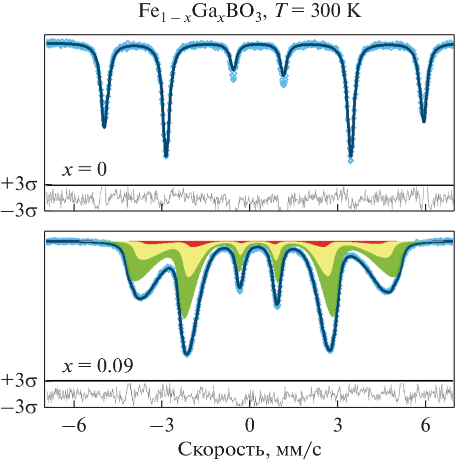
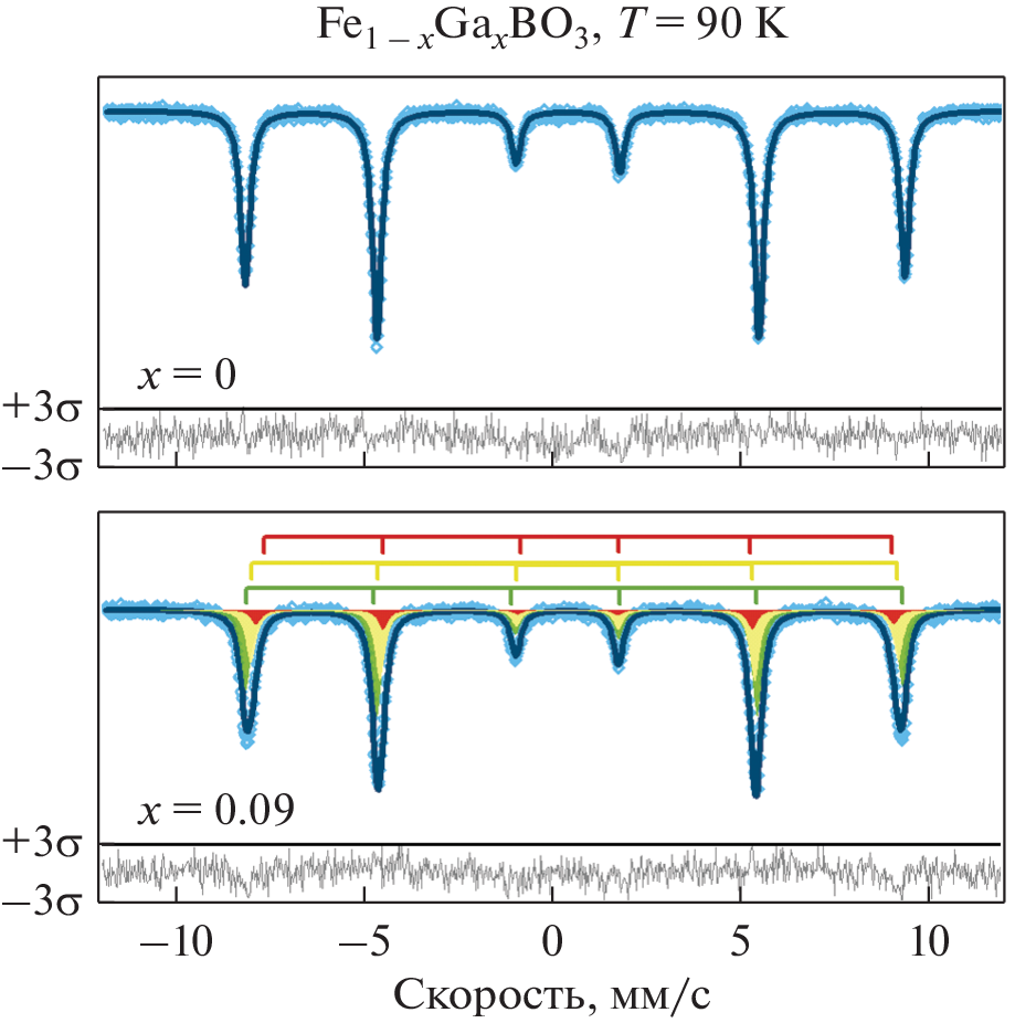
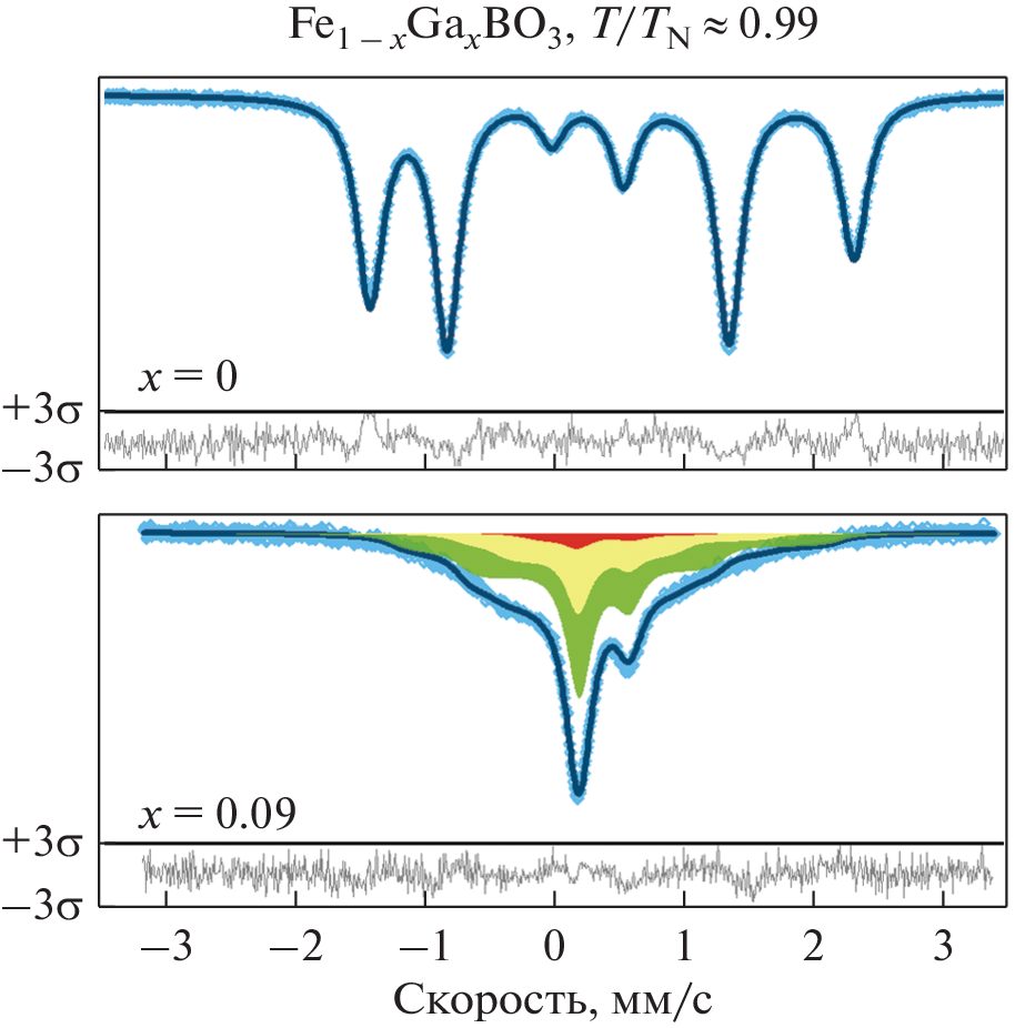
The parameters of the hyperfine interaction of 57Fe nuclei in single crystals of iron borate FeBO3 and its isostructural solid solution Fe0.91Ga0.09BO3 have been determined by Mössbauer spectroscopy. A theoretical model has been developed to describe resonant transitions of iron nuclei in the approximation of a combined magnetic dipole and electric quadrupole hyperfine interaction, taking into account the statistical distribution of Ga and Fe over octahedral positions in the Fe0.91Ga0.09BO3 crystal. It has been established that even a low Ga concentration leads to a significant change in the hyperfine structure of the 57Fe nuclei in
FeBO3, which manifests itself in the appearance of additional components in the Mössbauer spectra of the Fe0.91Ga0.09BO3 single crystal.
Palavras-chave
Sobre autores
N. Snegirev
Shubnikov Institute of Crystallography, Crystallography, and Photonics Federal Research Center, Russian Academy of Sciences
Email: niksnegir@yandex.ru
Moscow, 119333 Russia
S. Starchikov
Shubnikov Institute of Crystallography, Crystallography, and Photonics Federal Research Center,Russian Academy of Sciences
Email: niksnegir@yandex.ru
Moscow, 119333 Russia
I. Lyubutin
Shubnikov Institute of Crystallography, Crystallography, and Photonics Federal Research Center,Russian Academy of Sciences
Email: niksnegir@yandex.ru
Moscow, 119333 Russia
M. Chuev
Valiev Institute of Physics and Technology, Russian Academy of Sciences
Email: niksnegir@yandex.ru
Moscow, 117218 Russia
S. Yagupov
Institute of Physics and Technology, Vernadsky Crimean Federal University
Email: niksnegir@yandex.ru
Simferopol, 295007 Russia
M. Strugatskii
Institute of Physics and Technology, Vernadsky Crimean Federal University
Autor responsável pela correspondência
Email: niksnegir@yandex.ru
Simferopol, 295007 Russia
Bibliografia
- Pernet M., Elmale D., Joubert J.C., Structure Magnetique Du Metaborate de Fer FeBO3 // Solid State Commun. 1970. V. 8. P. 1583–1587.
- Yagupov S., Strugatsky M., Seleznyova K., Mogilenec K.Y., Snegirev N., Marchenkov N.V., Kulikov A.G., Eliovich Y.A., Frolov K.V., Ogarkova Y.L., Lyubutin I.S. Development of a Synthesis Technique and Characterization of High-Quality Iron Borate FeBO3 Single Crystals for Applications in Synchrotron Technologies of a New Generation // Cryst. Growth Des. 2018. V. 18. P. 7435–7435.
- Smirnova E.S., Snegirev N.I., Lyubutin I.S., Starchikov S.S., Artemov V.V., Lyubutina M.V., Yagupov S.V., Strugatsky M.B., Mogilenec Y.A., Seleznyova K.A., Alekseeva O.A. Flux growth, structure refinement and Mössbauer studies of Fe1 – xGaxBO3 single crystals. // Acta Crystallogr. B: Structural Science, Crystal Engineering and Materials. 2020. V. 76. № 6. P. 1100–1108.
- Lyubutin I.S., Snegirev N.I., Chuev M.A., Starchikov S.S., Smirnova E.S., Lyubutina M.V., Yagupov S.V., Strugatsky M.B., Alekseeva O.A. Magnetic and electric hyperfine parameters of antiferromagnet FeBO3 intended for monochromatization of synchrotron radiation // J. Alloys and Compd. 2022. V. 906. P. 164348.
- Snegirev N., Smirnova E., Lyubutin I., Kiiamov A., Starchikov S., Yagupov S., Strugatsky M., Alekseeva O. Mutual orientation of electric intracrystalline and magnetic fields in iron borate single crystals // IEEE Magn. Lett. 2022. V. 13. P. 2501004.
- Potapkin V., Chumakov A.I., Smirnov G.V., Rüffer R., McCammon C., Dubrovinsky L. Angular, spectral, and temporal properties of nuclear radiation from a 57Fe synchrotron Mössbauer source // Phys. Rev. A. 2012. V. 86. № 5. P. 053808.
- Seleznyova K., Strugatsky M., Yagupov S., Mogilenec Y., Drovosekov A., Kreines N., Rosa P., Kliava J. Electron magnetic resonance of iron-gallium borate single crystals // J. Appl. Physics. 2019. V. 125. P. 223905.
- Snegirev N., Lyubutin I., Kulikov A., Zolotov D., Vasiliev A., Lyubutina M., Yagupov S., Mogilenec Y., Seleznyova K., Strugatsky M. Structural perfection of Fe1 – xGaxBO3 single crystals designed for nuclear resonant synchrotron experiments // J. Alloys and Compd. 2021. V. 889. P. 161 702.
- Лабушкин В.Г. Дифракция рентгеновского и мёссбауэровского излучения на магнитоупорядоченных кристаллах / Дис. на соискание степени доктора физ.-мат. наук, ВНИИФТРИ, Москва, 1986.
- Kamzin A.S., Ol’khovik L.P., Snetkova E.V. Preparation and investigation of weakly ferromagnetic Fe1 – xGaxBO3 single crystals // Phys. Solid State. 2003. V. 45. № 11. P. 2128–2130.
- Dmitrienko V.E., Ovchinnikova E.N., Collins S., Nisbet G., Beutier G., Kvashnin Y.O., Mazurenko V.V., Lichtenstein A.I., Katsnelson M.I. Measuring the Dzya-loshinskii–Moriya interaction in a weak ferromagnet // Nat. Phys. 2014. V. 10. № 3. P. 202–206.
- Coey J.M.D., Sawatzky G.A. The mössbauer spectra of substituted systems local molecular field theory // Phys. Status Solidi B. 1971. V. 44. № 2. P. 673–680.
- Lyubutin I.S., Chuev M.A., Starchikov S.S., Funtov K.O., Lyubutina M.V. Spiral magnetic structures with various helix parameters in langasite family compounds tested by Mössbauer spectroscopy // J. Magn. Magn. Mater. 2020. V. 504. P. 166 665.
- Снегирёв Н.И., Богач А.В., Любутин И.С., Чуев М.А., Ягупов С.В., Могиленец Ю.А., Селезнева К.А., Стругацкий М.Б. Эволюция магнитных свойств монокристаллов бората железа при допировании галлием // ФММ. 2023. Т. 124. № 2. С. 141–145.
- Вайнштейн Б.К. Современная кристаллография. М.: Наука, 1979.
Arquivos suplementares






