An Effective Method of Magnetic Hyperthermia Based on the Ferromagnetic Resonance Phenomenon
- Authors: Stolyar S.V.1,2, Li O.A.1,2, Nikolaeva E.D.1, Vorotynov A.M.3, Velikanov D.A.3, Knyazev Y.V.3, Bayukov O.A.3, Iskhakov R.S.3, P’yankov V.F.3, Volochaev M.N.3
-
Affiliations:
- Federal Research Center, Siberian Branch, Russian Academy of Sciences
- Siberian Federal University
- Institute of Physics, Siberian Branch, Russian Academy of Sciences
- Issue: Vol 124, No 2 (2023)
- Pages: 182-189
- Section: ЭЛЕКТРИЧЕСКИЕ И МАГНИТНЫЕ СВОЙСТВА
- URL: https://medbiosci.ru/0015-3230/article/view/139411
- DOI: https://doi.org/10.31857/S0015323022601490
- EDN: https://elibrary.ru/KWGISB
- ID: 139411
Cite item
Full Text
Abstract
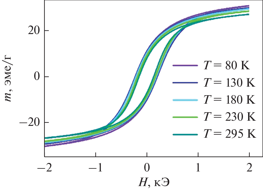
Nickel and cobalt ferrite nanoparticles have been synthesized using the chemical precipitation method; the nanoparticle sizes were found to be 63 ± 22 and 26 ± 4 nm, respectively. The static hysteresis loops and Mössbauer spectra have been measured. It is shown that cobalt ferrite powders are magnetically harder than nickel ferrite powders. Ferromagnetic resonance (FMR) curves have been studied. It is found that the FMR absorption for cobalt ferrite is observed at room temperature and above. The time dependences of the nanoparticle warm-up under FMR conditions have been measured. The maximum temperature changes for nickel ferrite and cobalt ferrite particles are 8 and 11 K, respectively. Using the example of cobalt ferrite powder, the possibility of effectively heating of particles in the FMR mode in their own field without using a DC magnetic field source is shown. The observed effect can be used in magnetic hyperthermia.
About the authors
S. V. Stolyar
Federal Research Center, Siberian Branch, Russian Academy of Sciences; Siberian Federal University
Email: stol@iph.krasn.ru
Krasnoyarsk, 660036 Russia; Krasnoyarsk, 660041 Russia
O. A. Li
Federal Research Center, Siberian Branch, Russian Academy of Sciences; Siberian Federal University
Email: stol@iph.krasn.ru
Krasnoyarsk, 660036 Russia; Krasnoyarsk, 660041 Russia
E. D. Nikolaeva
Federal Research Center, Siberian Branch, Russian Academy of Sciences
Email: stol@iph.krasn.ru
Krasnoyarsk, 660036 Russia
A. M. Vorotynov
Institute of Physics, Siberian Branch, Russian Academy of Sciences
Email: stol@iph.krasn.ru
Krasnoyarsk, 660036 Russia
D. A. Velikanov
Institute of Physics, Siberian Branch, Russian Academy of Sciences
Email: stol@iph.krasn.ru
Krasnoyarsk, 660036 Russia
Yu. V. Knyazev
Institute of Physics, Siberian Branch, Russian Academy of Sciences
Email: stol@iph.krasn.ru
Krasnoyarsk, 660036 Russia
O. A. Bayukov
Institute of Physics, Siberian Branch, Russian Academy of Sciences
Email: stol@iph.krasn.ru
Krasnoyarsk, 660036 Russia
R. S. Iskhakov
Institute of Physics, Siberian Branch, Russian Academy of Sciences
Email: stol@iph.krasn.ru
Krasnoyarsk, 660036 Russia
V. F. P’yankov
Institute of Physics, Siberian Branch, Russian Academy of Sciences
Email: stol@iph.krasn.ru
Krasnoyarsk, 660036 Russia
M. N. Volochaev
Institute of Physics, Siberian Branch, Russian Academy of Sciences
Author for correspondence.
Email: stol@iph.krasn.ru
Krasnoyarsk, 660036 Russia
References
- Peiravi M., Eslami H., Ansari M., Zare-Zardini H. Magnetic hyperthermia: Potentials and limitations // J. Indian Chem. Soc. 2022. V. 99. № 1. P. 100269.
- Ho D., Sun X., Sun S. Monodisperse Magnetic Nanoparticles for Theranostic Applications // Acc Chem Res. 2011. V. 44. № 10. P. 875–882.
- Brezovich I.A., Atkinson W.J., Lilly M.B. Local hyperthermia with interstitial techniques // Cancer Res. 1984. V. 44. № 10 Suppl. P. 4752s–4756s.
- Lee J.-H., Kim B., Kim Y., Kim S.-K. Ultra-high rate of temperature increment from superparamagnetic nanoparticles for highly efficient hyperthermia // Sci Rep. 2021. V. 11. № 1. P. 4969.
- Камзин А.С., Nikam D.S., Pawar S.H. Исследованиe наночастиц Co0.5Zn0.5Fe2O4 для магнитной гипертермии // ФТТ. 2017. V. 59. № 1. P. 149.
- Liu X., Zhang Y., Wang Y., Zhu W., Li G., Ma X., Zhang Y., Chen S., Tiwari S., Shi K., Zhang S., Fan H.M., Zhao Y.X., Liang X.-J. Comprehensive understanding of magnetic hyperthermia for improving antitumor therapeutic efficacy // Theranostics. 2020. V. 10. № 8. P. 3793–3815.
- Ферромагнитный резонанс. Явление резонансного поглощения высокочастотного электромагнитного поля в ферромагнитных веществах / Под. ред. С.В. Вонсовского. М.: Физматлит., 1961. 343 с.
- Khmelinskii I., Makarov V.I. EPR hyperthermia of S. cerevisiae using superparamagnetic Fe3O4 nanoparticles // J. Therm. Biol. 2018. V. 77. P. 55–61.
- Lee J.-H., Kim Y., Kim S.-K. Highly efficient heat-dissipation power driven by ferromagnetic resonance in MFe2O4 (M = Fe, Mn, Ni) ferrite nanoparticles // Sci. Rep. 2022. V. 12. № 1. P. 5232.
- Акулов Н.С. Ферромагнетизм. М.–Л.: Государственное издательство технико-теоретической литературы, 1939. 1–188 с.
- Akulov N.S. Über den Verlauf der Magnetisierungskurve in starken Feldern // Zeitschrift für Physik. 1931. V. 69. № 11–12. P. 822–831.
- Ignatchenko V.A., Iskhakov R.S. Stochastic magnetic structure and spin waves in amorphous ferromagnetic substance // Изв. Академии наук СССР. Сер. физическая. 1980. V. 44. № 7. P. 1434–1437.
- Чеканова Л.А., Денисова Е.А., Гончарова О.А., Комогорцев С.В., Исхаков Р.С. Анализ фазового состава порошков сплава Со–P на основе магнитометрических измерений // ФММ. 2013. V. 114. № 2. P. 136–143.
- Menil F. Systematic trends of the 57Fe Mössbauer isomer shifts in (FeOn) and (FeFn) polyhedra. Evidence of a new correlation between the isomer shift and the inductive effect of the competing bond T–X (→ Fe) (where X is O or F and T any element with a formal positive charge) // J. Phys. Chem. Solids. 1985. V. 46. № 7. P. 763–789.
- Крупичка С. Физика ферритов и родственных им магнитных окислов. М.: Мир, 1976. Т. 1. 353 с
Supplementary files










