Crystallization and Decomposition of Compounds with the Aurivillius Crystal Structure in the Bi2GeO5–Bi2SiO5 Pseudobinary Metastable System
- Authors: Bermeshev T.V.1, Podshibyakina E.Y.1, Bundin M.P.1, Mazurova E.V.2, Samoilo A.S.1, Yasinskii A.S.1,3, Yushkova O.V.1, Voroshilov D.S.1, Bespalov V.M.1, Zaloga A.N.1, Yur’ev P.O.1
-
Affiliations:
- Siberian Federal University
- Institute of Chemistry and Chemical Technology, Siberian Branch, Russian Academy of Sciences
- Russia c Institute for Process Metallurgy and Metal Recycling (IME), RWTH Aachen University
- Issue: Vol 124, No 2 (2023)
- Pages: 214-225
- Section: СТРУКТУРА, ФАЗОВЫЕ ПРЕВРАЩЕНИЯ И ДИФФУЗИЯ
- URL: https://medbiosci.ru/0015-3230/article/view/139419
- DOI: https://doi.org/10.31857/S0015323022601258
- EDN: https://elibrary.ru/HKJPNJ
- ID: 139419
Cite item
Full Text
Abstract
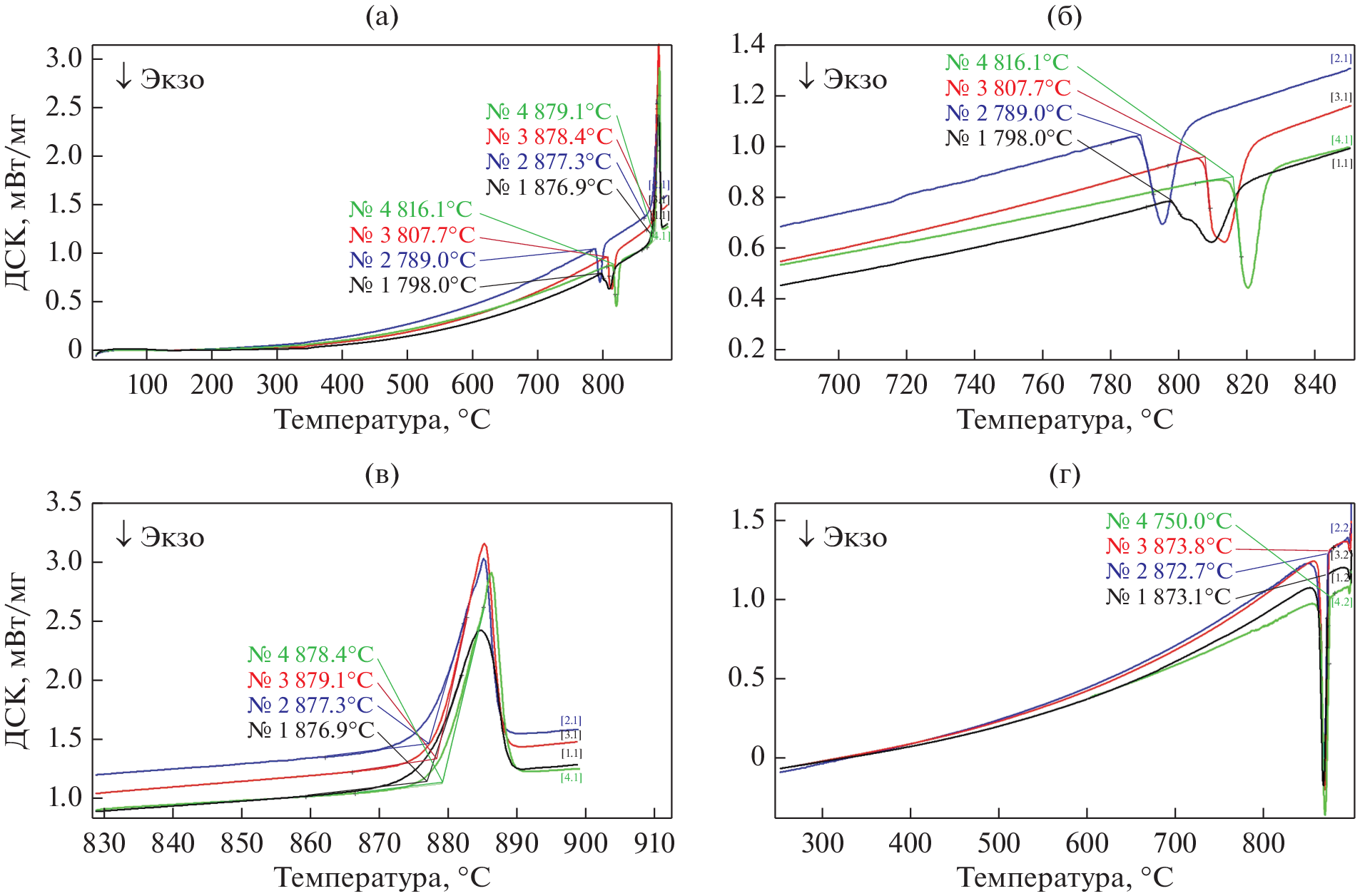
The possibility of partial substitution of Si for Ge in the structure of Bi2GeO5 during synthesis from the melt and the effect of the substitution on the structure of the synthesized material have been studied. The microstructure of the synthesized compounds after their complete decomposition has been investigated. Using the phase powder X-ray diffraction- and optical microscopy methods, it has been found that metasta-ble phases of bismuth silicate and germanate with structures of the Aurivillius type form a continuous series
of solid solutions. It is shown that a mixed structure composed of large Bi4Si(Ge)3O12 crystals and the Bi12Si(Ge)O20 + Bi4Si(Ge)3O12 point eutectic is obtained after the decomposition of compounds of the Bi2SiO5–Bi2GeO5 quasi-binary system, regardless of the percentage of substitution of Si for Ge. Upon slow heating up to annealing temperatures (at a rate of 13.5°C/min), a structure of decomposition that is more finely dispersed and uniform than the structure obtained upon rapid heating (when charg the material into an already preheated furnace), which is more coarsely grained and inhomogeneous. Moreover, regions with a large structure similar to a dendritic one can appear in the material when the contents of silicon and germa-nium oxides in the alloy are close to each other (20/30–30/20 mol %). Such regions differ slightly in chemical composition from the surrounding material and appear during both slow and rapid heating of the material to annealing temperatures.
About the authors
T. V. Bermeshev
Siberian Federal University
Email: irbis_btv@mail.ru
Krasnoyarsk, 660041 Russia
E. Yu. Podshibyakina
Siberian Federal University
Email: irbis_btv@mail.ru
Krasnoyarsk, 660041 Russia
M. P. Bundin
Siberian Federal University
Email: irbis_btv@mail.ru
Krasnoyarsk, 660041 Russia
E. V. Mazurova
Institute of Chemistry and Chemical Technology, Siberian Branch, Russian Academy of Sciences
Email: irbis_btv@mail.ru
Krasnoyarsk, 660036
A. S. Samoilo
Siberian Federal University
Email: irbis_btv@mail.ru
Krasnoyarsk, 660041 Russia
A. S. Yasinskii
Siberian Federal University; Russia c Institute for Process Metallurgy and Metal Recycling (IME), RWTH Aachen University
Email: irbis_btv@mail.ru
Krasnoyarsk, 660041 Russia; Aachen, 52056 Germany
O. V. Yushkova
Siberian Federal University
Email: irbis_btv@mail.ru
Krasnoyarsk, 660041 Russia
D. S. Voroshilov
Siberian Federal University
Email: irbis_btv@mail.ru
Krasnoyarsk, 660041 Russia
V. M. Bespalov
Siberian Federal University
Email: irbis_btv@mail.ru
Krasnoyarsk, 660041 Russia
A. N. Zaloga
Siberian Federal University
Email: irbis_btv@mail.ru
Krasnoyarsk, 660041 Russia
P. O. Yur’ev
Siberian Federal University
Author for correspondence.
Email: irbis_btv@mail.ru
Krasnoyarsk, 660041 Russia
References
- Aurivillius B., Lindblom C.J., Stenson P. The crystal structure of Bi2GeO5 // Acta Chem. Scand. 1964. V. 8. № 6. P. 1555–1557.
- Фирсов А.В., Скороходов Н.Е., Астафьев А.В., Буш А.А., Стефанович С.Ю., Веневцев Ю.Н. Выращивание и некоторые свойства монокристаллов Bi2GeO5 и Bi2SiO5 // Кристаллография. 1984. Т. 29. № 3. С. 509–517.
- Venevtsev Yu.N., Bush A.A., Politova E.D., Stefanovich S.Yu., Firsov A.V., Danilenko I.N., Kosse L.I., Astaf’iev A.V., Skorohodov N.E., Schashkov A.Yu., Medvedev B.S., Mirkin A.E., Reiman S.I., Rannev N.V., Efremov V.A., Trunov V.K. New Ferroelectric Oxides: Synthesis, Crystal Structures, Phase Transitions and Properties // Ferroelectrics. 1985. V. 63. P. 217–226.
- Bush A.A., Koshelayeva V.G., Venevtsev Y.N. Crystals of the Bi2GeO5–Bi4V2O11 System // Jpn. J. Appl. Phys. 1985. V. 24. № 24-2. P. 625–627.
- Харитонова Е.П., Воронкова В.И. Синтез и электрические свойства твердых растворов Bi2V1–xGexO5 + y // Неорган. материалы. 2007. Т. 43. № 1. С. 60–65.
- Жереб В.П. Метастабильные состояния в оксидных висмутсодержащих системах. М.: МАКС Пресс, 2003. 162 с.
- Panyata S., Eitssayeam S., Rujijanagul G., Tunkasiri T., Munpakdee A., Pengpat K. Electrical properties of bismuth germanate (Bi2GeO5) ferroelectric glass-ceramics prepared by two different methods // J. Integrated Ferroelectrics. 2019. V. 195. P. 187–195.
- Liu W., Jin R., Hu L., Zhong H., Ren L., Hu1 S. Facile fabrication of Ag–Bi2GeO5 microflowers and the high photodegradable performance on RhB // J. Mater. Sci.: Materials in Electronics. 2019. V. 30. P. 10912–10922.
- Li X., Zhang W., Cui W., Li J., Sun Y., Jiang G., Huang H., Zhang Y., Dong F. Reactant activation and photocatalysis mechanisms on Bi-metal@Bi2GeO5 with oxygen vacancies: A combined experimental and theoretical investigation // Chemic. Eng. J. 2019. V. 370. P. 1366–1375.
- Dou L., Xiang Y., Zhong J., Li J., Huang S. Ionic liquid-assisted preparation of thin Bi2SiO5 nanosheets for effective photocatalytic degradation of RhB // Mater. Letters. 2020. V. 261. P. 127117.
- Feng X., Qi X., Li J., Yang L., Qiu M., Yin J., Lu F., Zhong J. Preparation, structure and photo-catalytic performances of hybrid Bi2SiO5 modified Si nanowire arrays // Appl. Surface Sci. 2011. V. 257. P. 5571–5575.
- Dou L., Jin X., Chen J., Zhong J., Li J., Zeng Y., Duan R. One-pot solvothermal fabrication of S-scheme OVs-Bi2O3/Bi2SiO5 microsphere heterojunctions with enhanced photocatalytic performance toward decontamination of organic pollutants // Applied Surface Science. 2020 V. 527. P. 146775.
- Zou C., Liang M., Yang Z., Zhou X., Yang Y., Yang S. Flower-like Bi2SiO5/Bi4MoO9 heterostructures for enhanced photocatalytic degradation of ciprofloxacin // Nanotechnology. 2020. V. 31. P. 345604.
- Guan X., Zhang X., Zhang C., Li R., Wang Y., Fan C. One-step synthesis of novel Bi/Bi2SiO5 flower-like composites with highly-efficient CO2 photoreduction performance // Comp. Comm. 2020. V. 20. P. 100366.
- Tanimu G., Aitani A.M., Asaoka S., Alasiri H. Oxidative dehydrogenation of n-butane to butadiene catalyzed by new mesoporous mixed oxides NiO-(beta-Bi2O3)-Bi2SiO5/SBA-15 system // Molecular Catalysis. 2020. V. 488. P. 110893.
- Hala R. Mahmoud. Eu3+ ions doped Bi2SiO5 as a novel solid acid catalyst for methyl oleate production: Ultrasonic hydrothermal synthesis, characterization, catalytic activity and kinetics // Fuel. 2020. V. 280. P. 118 596.
- Cheng G., Xiong J., Yang H., Lu Z., Chen R. Facile solvothermal synthesis of uniform sponge-like Bi2SiO5 hierarchical nanostructure and its application in Cr(VI) removal // Mater. Letters. 2012. V. 77. P. 25–28.
- Back M., Casagrande E., Brondin C.A., Ambrosi E., Cristofori D., Ueda J., Tanabe S., Trave E., Riello P. Lanthanide-Doped Bi2SiO5@SiO2 Core–Shell Upconverting Nanoparticles for Stable Ratiometric Optical Thermometry // ACS Appl. Nano Mater. 2020. V. 3. № 3. P. 2594–2604.
- Yamaguchi M., Hiraki K., Nagatomo T., Masuda Y. Preparation and Properties of Bi2SiO5/Si Structures // Jpn. J. Appl. Phys. 2000. V. 39. P. 5512–5516.
- Haldar T., Kumar U., Yadav B.C., Ravi Kanth Kumar V.V. Effect of direct–current biasing on the adjustable radio-frequency negative permittivity characteristics of Bi2SiO5/multiwall carbon nanotube metacomposites // Ceramics International. 2021. V. 47. P. 1389–1398.
- Ke Y., Huang W., Thatikonda S.K., Chen R., Yao C., Qin N., Bao D. Highly frequency-, temperature-, and bias-stable dielectric properties of 500°C processed Bi2SiO5 thin films with low dielectric loss // Current Appl. Phys. 2020. V. 20. P. 751–754.
- Жереб В.П., Бермешев Т.В., Каргин Ю.Ф., Мазурова Е.В., Денисов В.М. Фазовый состав и микроструктура продуктов кристаллизации расплава Bi2O3∙GeO2 при различных условиях охлаждения // Неорганич. материалы. 2019. Т. 55. № 7. С. 782–797. (Zhereb V.P., Bermeshev T.V., Kargin Yu.F., Mazurova E.V., Denisov V.M. Phase Composition and Microstructure of Crystallization Products of Molten Bi2O3∙GeO2 under Various Cooling Conditions // Inorganic Mater. 2019. V. 55. Р. 737–747).
- Бермешев Т.В., Жереб В.П., Тас-Оол Р.Н., Мазурова Е.В., Метелица С.И. Расслаивание в системе Bi2O3–SiO2. Влияние условий охлаждения расплава на фазовый состав и микроструктуру продуктов затвердевания // Изв. РАН. Сер. химическая. 2021. № 8. С. 1462–1470. (Bermeshev T.V., Zhereb V.P., Tas-Ool R.N., Mazurova E.V., Metelitsa S.I. Phase separation in the Bi2O3–SiO2 system. Effect of cooling conditions on the phase composition and microstructure of solidifi cation products // Russian Chemical Bulletin, International Edition. 2021. V. 70. № 8. Р. 1462–1470).
- Бермешев Т.В., Жереб В.П., Бундин М.П., Юшкова О.В., Ясинский А.С., Ворошилов Д.С., Беспалов В.М., Залога А.Н., Подшибякина Е.Ю., Якивьюк О.В., Мазурова Е.В. Особенности затвердевания расплава 2Bi2O3·3GeO2 при различных условиях охлаждения // Неорганич. материалы. 2022. Т. 58. № 4. С. 451–463. (Bermeshev T.V., Zhereb V.P., Bundin M.P., Yushkova O.V., Yasinsky A.S., Voroshilov D.S., Bespalov V.M., Zaloga A.N., Podshibyakina E.Yu., Yakivyuk O.V., Mazurova E.V. Features of Solidification of the 2Bi2O3·3GeO2 Melt under Different Cooling Conditions // Inorganic Materials. 2022. V. 58. № 4. Р. 433–445).
- Бермешев Т.В., Жереб В.П., Губанов И.Ю., Набиулин А.Б., Ченцов В.П., Рябов В.В., Ясинский А.С., Мердак Н.В., Юшкова О.В., Бундин М.П., Беспалов В.М., Мазурова Е.В., Ворошилов Д.С., Подшибякина Е.Ю. Моделирование условий охлаждения германата висмута Bi2GeO5 // Письма в ЖТФ. 2021. Т. 47. № 15. Р. 27–30. (Bermeshev T.V., Zhereb V.P., Gubanov I.Yu., Nabiulin A.B., Chentsov V.P., Ryabov V.V., Yasinskii A.S., Merdak N.V., Yushkova O.V., Bundin M.P., Bespalov V.M., Mazurova E.V., Voroshilov D.S., Podshibyakina E.Yu. Simulating the Conditions for Cooling Bismuth Germanate Bi2GeO5 // Techn. Phys. Letters. 2021. V. 47. № 8. Р. 765–768).
- Bermeshev T.V., Zhereb V.P., Bazhutov M. Synthesis of metastable bismuth germanates and bismuth silicates and their solid solutions // EICC-5 5th Euchems Inorganic Chemistry conference. Moscow. Russia. 24–28 June 2019. Book of Abstracts. Posters – P15. P. 201.
- Бермешев Т.В., Тас-оол Р.Н. Метастабильное равновесие в системе Bi2GeO5–Bi2SiO5 // Проспект Свободный-2016: материалы науч. конф., посвященной Году образования в Содружестве Независимых Государств (15–25 апреля 2016 г.) [Электронный ресурс] отв. ред. А.Н. Тамаровская. Красноярск: Сиб. федер. унт., 2016. С. 11–12.
Supplementary files












