Phase Transitions in a Frustrated Four-Vertex Potts Model on a Hexagonal Lattice in a Magnetic Field
- Authors: Ramazanov M.K.1, Murtazaev A.K.1, Magomedov M.A.1, Mazagaeva M.K.1
-
Affiliations:
- Institute of Physics, Dagestan Federal Research Center, Russian Academy of Sciences
- Issue: Vol 124, No 5 (2023)
- Pages: 339-346
- Section: ЭЛЕКТРИЧЕСКИЕ И МАГНИТНЫЕ СВОЙСТВА
- URL: https://medbiosci.ru/0015-3230/article/view/139423
- DOI: https://doi.org/10.31857/S0015323022601945
- EDN: https://elibrary.ru/OKIAZB
- ID: 139423
Cite item
Full Text
Abstract
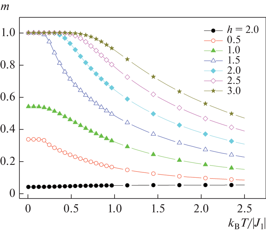
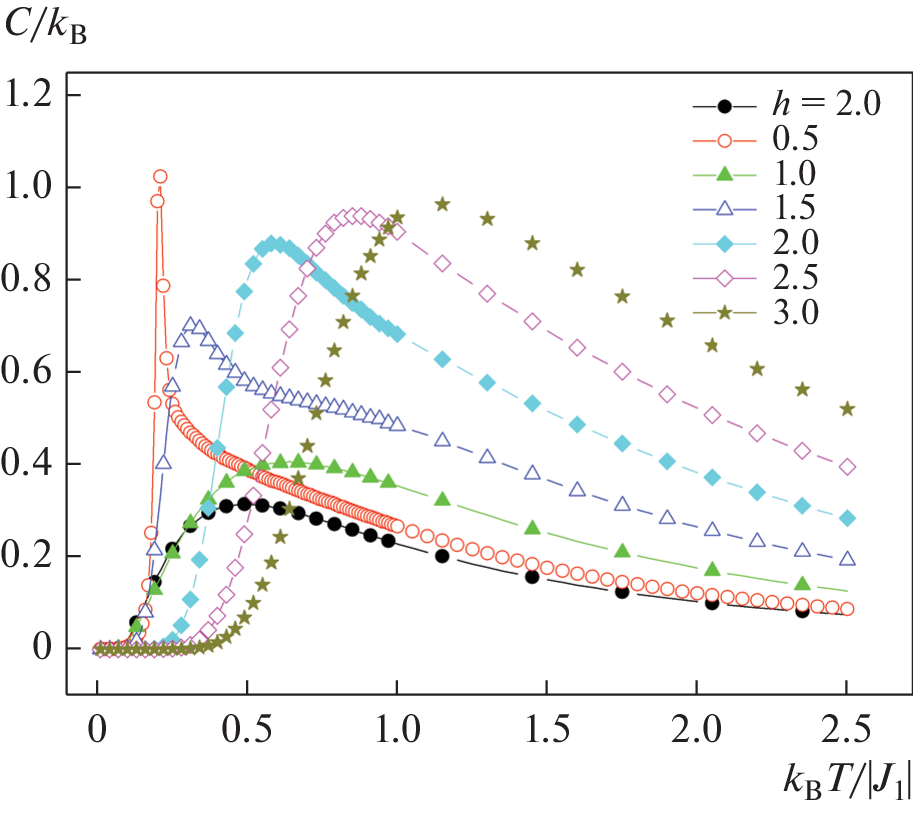
The effect of a magnetic field on the phase transitions of a two-dimensional frustrated Potts model with the number of spin states q = 4 on a hexagonal lattice was studied by the Monte Carlo method. The studies were carried out for a wide range of magnetic field strength. The magnetic structures of the ground state in this range have been obtained. The dependence of the magnetization on the magnetic field has been constructed. It has been found that an external magnetic field leads to a first-order phase transition. It is shown that a strong magnetic field removes the degeneracy of the ground state and suppresses the phase transition in the system
Keywords
About the authors
M. K. Ramazanov
Institute of Physics, Dagestan Federal Research Center, Russian Academy of Sciences
Email: sheikh77@mail.ru
Makhachkala, 367003 Russia
A. K. Murtazaev
Institute of Physics, Dagestan Federal Research Center, Russian Academy of Sciences
Email: sheikh77@mail.ru
Makhachkala, 367003 Russia
M. A. Magomedov
Institute of Physics, Dagestan Federal Research Center, Russian Academy of Sciences
Email: sheikh77@mail.ru
Makhachkala, 367003 Russia
M. K. Mazagaeva
Institute of Physics, Dagestan Federal Research Center, Russian Academy of Sciences
Author for correspondence.
Email: sheikh77@mail.ru
Makhachkala, 367003 Russia
References
- Dotsenko V.S. Critical phenomena and quenched disorder // Phys. Usp. 1995. V. 38. P. 457–496.
- Korshunov S.E. Phase transitions in two-dimensional systems with continuous degeneracy // Phys. Usp. 2006. V. 49. P. 225–262.
- Diep H.T. Frustrated Spin Systems. World Scientific Publishing Co. Pte. Ltd., Singapore. 2004. P. 624.
- Ramazanov M.K., Murtazaev A.K. Phase transitions and critical characteristics in the layered antiferromagnetic Ising model with next-nearest-neighbor intralayer interactions // JETP Lett. 2015. V. 101. P. 714–718.
- Malakis A., Kalozoumis P., Tyraskis N. Monte Carlo studies of the square Ising model with next-nearest-neighbor interactions // Eur. Phys. J. B. 2006. V. 50. P. 63–67.
- Сосин С.С., Прозорова Л.А., Смирнов А.И. Новые магнитные состояния в кристаллах // УФН. 2005. Т. 175. С. 92–99.
- Kassan-Ogly F.A., Proshkin A.I. Frustrations and Ordering in Magnetic Systems of Various Dimensions // Phys. Solid State. 2018. V. 60. P. 1090–1097.
- Kazuaki M., Yukiyasu O. Dynamical scaling analysis of symmetry breaking for the antiferromagnetic triangular Heisenberg model in a uniform magnetic field // Phys. Rev. B. 2020. V. 101. P. 184427-1–184427-7.
- Гехт Р.С. Магнитные состояния и фазовые переходы во фрустрированных антиферромагнетиках с треугольной решеткой // УФН. 1989. Т. 159. С. 261–296.
- Муртазаев А.К., Мазагаева М.К., Рамазанов М.К., Магомедов М.А., Муртазаева А.А. Фазовая диаграмма модели Поттса с числом состояний спина q = 4 на гексагональной решетке // ФТТ. 2021. Т. 63. Вып. 5. С. 622–627.
- Schreiber N., Cohen R., Haber S. Ferromagnetic Potts models with multisite interaction // Phys. Rev. E. 2018. V. 97. P. 032 106.
- Foster D.P., Gérard C. Critical behavior of the fully frustrated q-state Potts piled-up-domino model // Phys. Rev. B. 2004. V. 70. P. 014411.
- Puha I., Diep H.T. Phase transition of Potts model on a frustrated 3D lattice // J. Appl. Phys. 2000. V. 87. P. 5905.
- Nauenberg. M, Scalapino D.J. Singularities and Scaling Functions at the Potts-Model Multicritical Point // Phys. Rev. Lett. 1980. V. 44. P.837–840.
- Cardy J.L., Nauenberg M., Scalapino D.J. Scaling theory of the Potts-model multicritical point // Phys. Rev. B. 1980. V. 22. P. 2560–2568.
- Ramazanov M.K., Murtazaev A.K., Magomedov M.A. Phase diagrams and ground-state structures of the Potts model on a triangular lattice // Physica A. 2019. V. 521. P. 543–550.
- Wu F.Y. The Potts model // Rev. Mod. Phys.1982. V. 54. P. 235–268.
- Feldmann H., Guttmann A.J., Jensen I., Shrock R., Tsai S.-H. Study of the Potts model on the honeycomb and triangular lattices: Low-temperature series and partition function zeros // J. Phys. A. 1998. V. 31. P. 2287–2310.
- Рамазанов М.К., Муртазаев А.К., Магомедов М.А., Мазагаева М.К. Фазовые переходы и магнитные свойства модели Поттса с числом состояний спина q = 4 на гексагональной решетке в слабых магнитных полях // Письма в ЖЭТФ. 2021. Т. 114. Вып. 11–12. С. 762–767.
- Рамазанов М.К., Муртазаев А.К. Фазовые переходы и критические свойства в антиферромагнитной модели Гейзенберга на слоистой кубической решетке // Письма в ЖЭТФ. 2017. Т. 106. Вып. 2. С. 72–77.
- Рамазанов М.К., Муртазаев А.К., Магомедов М.А., Мазагаева М.К. Исследование фазовых переходов и термодинамических свойств модели Поттса с q = 4 на гексагональной решетке с взаимодействиями вторых ближайших соседей // ФТТ. 2020. Т. 62. Вып. 3. С. 442–446.
- Муртазаев А.К., Магомедов М.А., Рамазанов М.К. Фазовая диаграмма и структура основного состояния антиферромагнитной модели Изинга на объемно-центрированной кубической решетке // Письма в ЖЭТФ. 2018. Т. 107. Вып. 4. С. 265–269.
- Муртазаев А.К., Рамазанов М.К., Мазагаева М.К., Магомедов М.А. Фазовая диаграмма антиферромагнитной модели Поттса с числом состояний спина q = 4 на гексагональной решетке // ФММ. 2021. Т. 122. № 5. С. 460–465.
- Рамазанов М.К., Муртазаев А.К., Магомедов М.А., Мазагаева М.К., Муртазаева А.А. Исследование влияния сильных магнитных полей на фазовые переходы фрустрированной модели Поттса с числом состояний спина q = 4 // ФММ. 2022. Т. 123. № 3. С. 313–319.
- Gangat A.A., Kao Y.-J. Phase boundary location with information-theoretic entropy in tensor renormalization group flows // Phys. Rev. B. 2019. V. 100. P. 094 430.
- Муртазаев А.К., Кассан-Оглы Ф.А., Рамазанов М.К., Муртазаев К.Ш. Исследование фазовых переходов в антиферромагнитной модели Гейзенберга на объемно-центрированной кубической решетке методом Монте-Карло // ФММ. 2020. Т. 121. № 4. С. 346–351.
- Рамазанов М.К., Муртазаев А.К. Фазовая диаграмма антиферромагнитной модели Гейзенберга на кубической решетке // Письма в ЖЭТФ. 2019. Т. 109. Вып. 9. С. 610–614.
- Муртазаев А.К., Рамазанов М.К., Мазагаева М.К., Магомедов М.А. Фазовые переходы и термодинамические свойства модели Поттса с числом состояний спина q = 4 на гексагональной решетке // ЖЭТФ. 2019. Т. 156. Вып. 3. С. 502–506.
- Муртазаев А.К., Кассан-Оглы Ф.А., Рамазанов М.К., Муртазаев К.Ш. Исследование фазовых переходов в антиферромагнитной модели Гейзенберга на объемно-центрированной кубической решетке методом Монте-Карло // ФММ. 2020. Т. 121. № 4. С. 346–351.
- Mitsutake A., Sugita Y., Okamoto Y. Generalized-ensemble algorithms for molecular simulations of biopolymers // Biopolymers (Peptide Science). 2001. V. 60. P. 96–123.
- Wang F., Landau D.P. Determining the density of states for classical statistical models: a random walk algorithm to produce a flat histogram // Phys. Rev. E. 2001. V. 64. P. 056101-1–056101-16.
- Wang F., Landau D.P. Efficient, Multiple-Range Random Walk Algorithm to Calculate the Density of States // Phys. Rev. Lett. 2001. V. 86. P. 2050–2053.
- Курбанова Д.Р., Муртазаев А.К., Рамазанов М.К., Магомедов М.А. Фазовая диаграмма четырехвершинной модели Поттса с конкурирующими обменными взаимодействиями // Письма в ЖЭТФ. 2022. Т. 115. Вып. 8. С. 505–511.
- Kassan-Ogly F.A., Filippov B.N., Murtazaev A.K., Ramazanov M.K., Badiev M.K. Influence of field on frustrations in low-dimensional magnets // J. Mag. Mag. Mater. 2012. V. 24. P. 3418–3421.
- Kassan-Ogly F.A., Murtazaev A.K., Zhuravlev A.K., Ramazanov M.K., Proshkin A.I. Ising model on a square lattice with second-neighbor and third-neighbor interactions // J. Mag. Mag. Mater. 2015. V. 384. P. 247–254.
- Proshkin A.I., Kassan-Ogly F.A. Frustration and Phase Transitions in Ising Model on Decorated Square Lattice // Phys. Met. Metal. 2019. V. 120. P. 1366–1372.
- Kassan-Ogly F.A., Proshkin A.I. Ising Model on Planar Decorated Lattices. Frustrations and Their Influence on Phase Transitions // Phys. Met. Metal. 2019. V. 120. P. 1359–1365.
Supplementary files








