Study of supersaturated solid solution decomposition during quenching of sheets from Al-Mg-Si aluminum alloy
- Authors: Benarieb I.1, Puchkov Y.A.2, Sbitneva S.V.1, Zaytsev D.V.1
-
Affiliations:
- National Research Center “Kurchatov Institute”
- Bauman Moscow State Technical University
- Issue: Vol 124, No 9 (2023)
- Pages: 838-845
- Section: СТРУКТУРА, ФАЗОВЫЕ ПРЕВРАЩЕНИЯ И ДИФФУЗИЯ
- URL: https://medbiosci.ru/0015-3230/article/view/139488
- DOI: https://doi.org/10.31857/S0015323023600843
- EDN: https://elibrary.ru/YYQCFR
- ID: 139488
Cite item
Full Text
Abstract
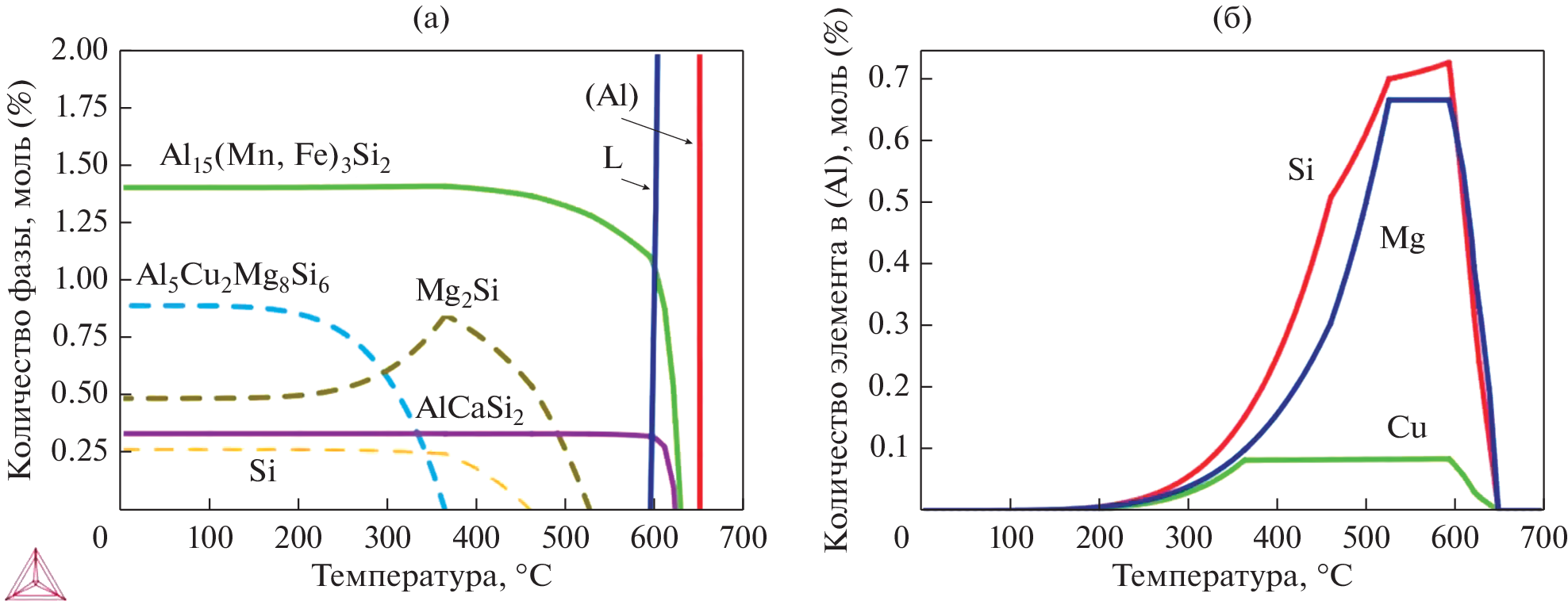
This paper presents the results of a study of the stability of a supersaturated solid solution (SSS) of sheets made of thermally hardened aluminum alloy of the Al-Mg-Si system with a small addition of copper (Al-0.6Mg-1.0Si-0.2Cu) under various quenching modes. The samples were subjected to isothermal or continuous quenching with different quenching cooling rates, after which artificial aging was carried out at a temperature of 170°C. From the results of thermodynamic modeling of the equilibrium phase composition of the alloy, it was found that for the temperature range from 300 to 530°C, the presence of the β-phase (Mg2Si) is most likely. With the use of transmission electron microscopy and X-ray spectral microanalysis, it was found that during quenching, the decomposition of SSS leads to the precipitation of undesirable large particles of metastable β-type phases or equilibrium β-phase. The nucleation of the secretions is realized in the form of rod-shaped particles by a heterogeneous mechanism mainly on the surface of the α-phase dispersoids (Al15(Mn,Fe)3Si2), which thus significantly increase the quenching sensitivity of the alloy. The formation of these secretions at a low quenching rate causes, during subsequent aging, a decrease in the proportion and density of formation of strengthening particles of the β" phase, and also leads to an increase in their size and heterogeneity of distribution in the aluminum matrix, which reduces the potential of dispersion hardening during aging and corrosion resistance of the material.
About the authors
I. Benarieb
National Research Center “Kurchatov Institute”
Email: benar1294@gmail.com
Moscow, 123182 Russia
Yu. A. Puchkov
Bauman Moscow State Technical University
Email: benar1294@gmail.com
Moscow, 105005 Russia
S. V. Sbitneva
National Research Center “Kurchatov Institute”
Email: benar1294@gmail.com
Moscow, 123182 Russia
D. V. Zaytsev
National Research Center “Kurchatov Institute”
Author for correspondence.
Email: benar1294@gmail.com
Moscow, 123182 Russia
References
- Бенариеб И., Бер Л.Б., Антипов К.В., Сбитнева С.В. Тенденции развития деформируемых сплавов системы Al–Mg–Si–(Cu). Часть 1 (обзор) // Авиационные материалы и технологии. 2019. № 3. С. 14–22. https://doi.org/10.18577/2071-9140-2019-0-3-14-22
- Кузнецов А.О., Оглодков М.С., Климкина А.А. Влияние химического состава на структуру и свойства сплава системы Al–Mg–Si // Труды ВИАМ: электрон. науч.-технич. журн. 2018. № 7 (67). Ст. 01. http://www.viam-works.ru (дата обращения: 15.07.2018). https://doi.org/10.18577/2307-6046-2018-0-7-3-9
- Колобнев Н.И., Бер Л.Б., Цукров С.Л. Термическая обработка деформируемых алюминиевых сплавов / Под ред. акад. РАН профессора Е.Н. Каблова. М.: НП “АПРАЛ”, 2020. С. 552.
- Захаров В.В. Устойчивость твердого раствора в алюминиевых сплавах // Цветные металлы. 2007. № 11. С. 100–107.
- Захаров Е.Д., Давыдов В.Г., Егорова Л.С., Сорокин Н.А., Гусев В.П., Антонова Р.Н. Исследование устойчивости твердых растворов сплавов системы Al–Mg–Si // Технология легких сплавов. 1967. № 2. С. 12–17.
- Milkereit B., Starink M., Rometsch P., Schick C., Kessler O. Review of the Quench Sensitivity of Aluminium Alloys: Analysis of the Kinetics and Nature of Quench-Induced Precipitation // Materials. 2019. V. 12. P. 4083. https://doi.org/10.3390/ma12244083
- Pogatscher S., Antrekowitsch H., Leitner H. Influence of interrupted quenching on artificial aging of Al–Mg–Si alloys // Acta Mater. 2012. V. 60. P. 4496–4505. https://doi.org/10.1016/j.actamat.2012.04.026
- Yang Z., Jiang X., Zhang X., Liu M., Liang Z., Leyvraz D., Banhart J. Natural ageing clustering under different quenching conditions in an Al–Mg–Si alloy // Scripta Mater. 2021. V. 190. P. 179–182.
- Strobel K., Easton M., Sweet L., Couper M.J., Nie J.-F. Relating Quench Sensitivity to Microstructure in 6000 Series Aluminium Alloys // Mater. Trans. 2011. V. 52. № 5. P. 914–919.
- Andersen S.J., Zandbergen H.W., Jansen J., Træholt C., Tundal U., Reiso O. The crystal structure of the β''-phase in Al–Mg–Si alloys // Acta Mater. 1998. V. 46. P. 3283–3298.
- Saito T., Mortsell E.A., Wenner S., Marioara C.D., Andersen S.J., Friis J., Matsuda K., Holmestad R. Atomic structures of precipitates in Al–Mg–Si alloys with small additions of other elements //Advanced Eng. Mater. 2018. V. 20. № 7. P. 1800125.
- Телешов В.В. Активационные явления при термической обработке алюминиевых сплавов // Технология легких сплавов. 2017. № 4. С. 49–61.
- Колобнев Н.И., Бер Л.Б., Хохлатова Л.Б., Рябов Д.К. Структура, свойства и применение сплавов системы Al–Mg–Si–(Cu) // Металловедение и термическая обр. металлов. 2011. № 9. С. 40–45.
- Каблов Е.Н., Лукина Е.А., Сбитнева С.В., Хохлатова Л.Б., Зайцев Д.В. Формирование метастабильных фаз при распаде твердого раствора в процессе искусственного старения Al-сплавов // Технология легких сплавов. 2016. № 3. С. 7–17.
Supplementary files







