Атомистическое моделирование самодиффузии и диффузии Со вдоль симметричных границ зерен наклона \(\left[ {2\bar {1}\bar {1}0} \right]\) в α-Ti
- Авторы: Уразалиев М.Г.1, Ступак М.Е.1, Попов В.В.1
-
Учреждения:
- Институт физики металлов им. М.Н. Михеева УрО РАН
- Выпуск: Том 124, № 9 (2023)
- Страницы: 861-872
- Раздел: СТРУКТУРА, ФАЗОВЫЕ ПРЕВРАЩЕНИЯ И ДИФФУЗИЯ
- URL: https://medbiosci.ru/0015-3230/article/view/139493
- DOI: https://doi.org/10.31857/S0015323023601253
- EDN: https://elibrary.ru/EDDYKR
- ID: 139493
Цитировать
Полный текст
Аннотация
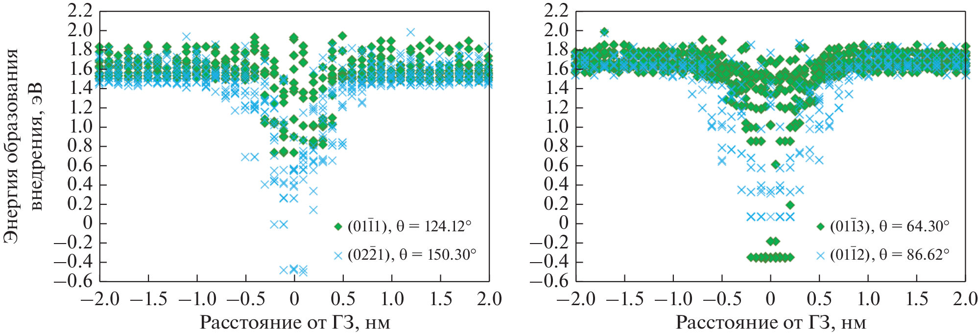
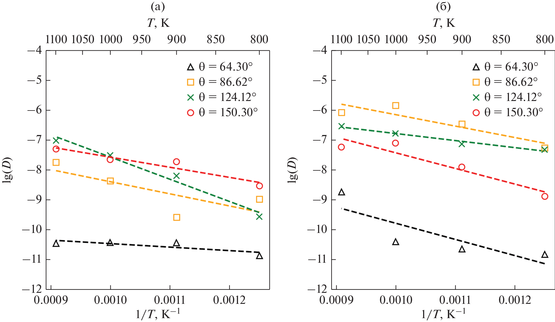
Методами компьютерного моделирования исследованы структура, точечные дефекты, самодиффузия и диффузия Со для четырех энергетически предпочтительных границ зерен (ГЗ) с осью наклона \(\left[ {2\bar {1}\bar {1}0} \right]\) в гексагональном плотноупакованном (ГПУ) Ti. Методом молекулярно-статического моделирования рассчитаны структура и энергии рассматриваемых границ, а также энергии образования точечных дефектов в них. Продемонстрированы зависимости энергий образования точечных дефектов от расстояния от плоскости границы зерна. Методом молекулярной динамики рассчитаны коэффициенты зернограничной самодиффузии для рассматриваемых ГЗ. Результаты моделирования самодиффузии сравниваются с имеющимися экспериментальными данными. Также выполнено моделирование зернограничной диффузии Со в α-Ti. Показано, что структура ГЗ влияет на параметры зернограничной диффузии как в случае самодиффузии, так и в случае примесной диффузии, и коэффициенты зернограничной диффузии могут отличатся на несколько порядков, в зависимости от структуры.
Об авторах
М. Г. Уразалиев
Институт физики металлов им. М.Н. Михеева УрО РАН
Email: urazaliev@imp.uran.ru
Россия, 620108, Екатеринбург, ул. С. Ковалевской, 18
М. Е. Ступак
Институт физики металлов им. М.Н. Михеева УрО РАН
Email: urazaliev@imp.uran.ru
Россия, 620108, Екатеринбург, ул. С. Ковалевской, 18
В. В. Попов
Институт физики металлов им. М.Н. Михеева УрО РАН
Автор, ответственный за переписку.
Email: urazaliev@imp.uran.ru
Россия, 620108, Екатеринбург, ул. С. Ковалевской, 18
Список литературы
- Sutton A.P., Balluffi R.W. Interfaces in Crystalline Materials. Clarendon Press, New York: Oxford University Press, 1995. 819 p.
- Korneva M.A., Starikov S.V., Zhilyaev A.P., Akhatov I.S., Zhilyaev P.A. Atomistic Modeling of Grain Boundary Migration in Nickel // Adv. Eng. Mater. 2020. V. 22. P. 2000115. https://doi.org/10.1002/adem.202000115
- He H., Ma S., Wang S. Survey of Grain Boundary Energies in Tungsten and Beta-Titanium at High Temperature // Materials. 2022. V. 15. P. 156. https://doi.org/10.3390/ma15010156
- He H., Ma S., Wang S. Molecular dynamics investigation on tilt grain boundary energies of beta-titanium and tungsten at high temperature // Mater. Res. Express. 2021. V. 8. P. 116509. https://doi.org/10.1088/2053-1591/ac3606
- Tschopp M.A., McDowell D.L. Structures and energies of Σ3 asymmetric tilt grain boundaries in copper and aluminium // Phil. Mag. 2007. V. 87. № 22. P. 3147–3173. https://doi.org/10.1080/14786430701255895
- Frolov T., Olmsted D.L., Asta M., Mishin Y. Structural phase transformations in metallic grain boundaries // NATURE COMMUNICATIONS. 2013. V. 4. P. 1899. https://doi.org/10.1038/ncomms2919
- Zhang L., Lu C., Tieu. K. A review on atomistic simulation of grain boundary behaviors in face-centered cubic metals // Comp. Mater. Sci. 2016. V. 118. P. 180–191. https://doi.org/10.1016/j.commatsci.2016.03.021
- Liu Z.-H., Feng Y.-X., Shang J.-X Characterizing twist grain boundaries in BCC Nb by molecular simulation: Structure and shear deformation // Applied Surface Science. 2016. V. 370 P. 19–24. https://doi.org/10.1016/j.apsusc.2016.02.097
- Frolov T., Setyawan W., Kurtz R.J., Marian J., Oganov A.R., Rudd R.E., Zhu Q. Grain boundary phases in bcc metals // Nanoscale. 2018. V. 10(17). P. 8253–8268. https://doi.org/10.1039/C8NR00271A
- Wang J., Beyerlein I.J. Atomic Structures of [010] Symmetric Tilt Grain Boundaries in Hexagonal Close-Packed (hcp) Crystals // Metall. Mater. Trans. A. 2012. V. 43. P. 3556–3569. https://doi.org/10.1007/s11661-012-1177-610.1007/s11661-012-1177-6
- Liu P., Xie J., Wang A., Ma D., Mao Z. Molecular dynamics simulation on the deformation mechanism of monocrystalline and nano-twinned TiN under nanoindentation // Mater. Chem. Phys. 2020. V. 252. P. 123263. https://doi.org/10.1016/j.matchemphys.2020.123263
- Barrett C., Martinez J., Nitol M. Faceting and Twin–Twin Interactions in {1121} and {1122} Twins in titanium // Metals. 2022. V. 12. P. 895. https://doi.org/10.3390/met12060895
- Wang J., Beyerlein. I.J. Atomic structures of symmetric tilt grain boundaries in hexagonal close packed (hcp) crystals // Modelling Simul. Mater. Sci. Eng. 2012. V. 20. P. 024002. https://doi.org/10.1088/0965-0393/20/2/024002
- Bhatia M.A., Solanki K.N. Energetics of vacancy segregation to symmetric tilt grain boundaries in hexagonal closed pack materials // J. Appl. Phys. 2013. V. 114. P. 244309. https://doi.org/10.1063/1.4858401
- Wang J., Yadav S.K., Hirth J.P., Tomé C.N., Beyerlein I.J. Pure-Shuffle Nucleation of Deformation Twins in Hexagonal-Close-Packed Metals// Materials Research Letters. 2013. V. 1. № 3. P. 126–132. https://doi.org/10.1080/21663831.2013.792019
- Ma Shang-Yi, Wang Shao-Qing. The formation and anisotropic/isotropic diffusion behaviors of vacancy in typical twin boundaries of α-Ti: An ab initio study// Comp. Mater. Sci. 2019. V. 159. P. 257–264. https://doi.org/10.1016/j.commatsci.2018.12.030
- Уразалиев М.Г., Ступак М.Е., Попов В.В. Атомистическое моделирование специальных границ наклона в α-Ti: структура, энергия, точечные дефекты, зернограничная самодиффузия // ФММ. 2022. Т. 123. № 6. С. 614–620.
- Urazaliev M.G., Stupak M.E., Popov V.V. Energetically favorable configurations of symmetric tilt grain boundaries in HCP titanium // AIP Conference Proceedings. 2022. V. 2466. P. 030047.
- Herzig C., Willecke R., Vieregge K. Self-diffusion and fast cobalt impurity diffusion in the bulk and in grain boundaries of hexagonal titanium // Phil. Mag. A. 1991. V. 63. № 5. P. 949–958. https://doi.org/10.1080/01418619108213927
- Herzig C., Wilger T., Przeorski T., Hisker F., Divinski S. Titanium tracer diffusion in grain boundaries of α-Ti. α2-Ti3Al. and γ-TiAl and in α2/γ interphase boundaries // Intermetallics. 2001. V. 9. P. 431–442. https://doi.org/10.1016/S0966-9795(01)00022-X
- Fiebig J., Divinski S., Rösner H., Estrin Y., Wilde G. Diffusion of Ag and Co in ultrafine-grained α-Ti deformed by equal channel angular pressing // J. Appl. Phys. 2011. V. 110. P. 083514. https://doi.org/10.1063/1.3650230
- Fernández J.R., Monti A.M., Pasianott R.C., Vitek V. An atomistic study of formation and migration of vacancies in (1121) twin boundaries in Ti and Zr // Phil. Mag. A. 2000. V. 80. № 6. P. 1349–1364. https://doi.org/10.1080/01418610008212123
- Oh S.-H., Seol D., Lee B.-J. Second nearest-neighbor modified embedded-atom method interatomic potentials for the Co-M (M = Ti, V) binary systems // Calphad. 2020. V. 70. P. 101791. https://doi.org/10.1016/j.calphad.2020.101791
- NIST Interatomic Potentials Repository: https:// www.ctcms.nist.gov/potentials.
- Kittel C., McEuen P. Introduction to Solid State Physics. V. 8. Wiley. New York, 1996.
- Fisher E.S., Renken C.J. Single-Crystal Elastic Moduli and the hcp → bcc Transformation in Ti, Zr, and Hf // Phys. Rev. 1964. V. 135. I.2A. P. 482. https://doi.org/10.1103/PhysRev.135.A482
- Hashimoto E., Smirnov E.A., Kino T. Temperature dependence of the Doppler-broadened lineshape of positron annihilation in α-Ti // J. Phys. F: Met. Phys. 1984. V. 14. P L215. https://doi.org/10.1088/0305-4608/14/10/004
- Tyson W.R., Miller W.A. Surface free energies of solid metals. Estimation from liquid surface tension measurements // Surf. Sci. 1977. V. 62. I. 1. P. 267–276. https://doi.org/10.1016/0039-6028(77)90442-3
- Plimpton S. Fast Parallel Algorithms for Short-Range Molecular Dynamics // J. Comp. Phys. 1995. V. 117. № 1. P. 1–19.https://doi.org/10.1006/jcph.1995.1039
- Hirel P. Atomsk: A tool for manipulating and converting atomic data files // Comput. Phys. Comm. 2015. V. 197. P. 212–219. https://doi.org/10.1016/j.cpc.2015.07.012
- Stukowski. A. Visualization and analysis of atomistic simulation data with OVITO – the Open Visualization Tool // Modelling Simul. Mater. Sci. Eng. 2010. V. 18. P. 015012. https://doi.org/10.1088/0965-0393/18/1/015012
- Suzudo T., Yamaguchi M., Hasegawa A. Stability and mobility of rhenium and osmium in tungsten: first principles study // Modelling Simul. Mater. Sci. Eng. 2014. V. 22. P. 075006. https://doi.org/10.1088/0965-0393/22/7/075006
- Nosé S. A unified formulation of the constant temperature molecular dynamics methods // J. Chem. Phys. 1984. V. 81. P. 511. https://doi.org/10.1063/1.447334
- Faken D., Jónsson H. Systematic Analysis of Local Atomic Structure Combined with 3D Computer Graphics // Comput. Mater. Sci. 1994. V. 2. P. 279–286. https://doi.org/10.1016/0927-0256(94)90109-0
- Suzuki A., Mishin Y. Atomistic Modeling of Point Defects and Diffusion in Copper Grain Boundaries // Interface Sci. 2003. V. 11. P. 131–148. https://doi.org/10.1023/A:1021599310093
- Starikov S., Mrovec M., Drautz R. Study of grain boundary self-diffusion in iron with different atomistic models // Acta Mater. 2020. V. 188. P. 560–569. https://doi.org/10.1016/j.actamat.2020.02.027
- Popov V.V. Mossbauer spectroscopy of interfaces in metals // Phys. Met. Metal. 2012. V. 113. № 13. P. 1257–1289. https://doi.org/10.1134/S0031918X12130029
- Grigoriev I.S., Meilikhov E.Z. Handbook of Physical Values. Energoatomizdat, Moscow, 1991.
- Ступак М.Е., Уразалиев М.Г., Попов В.В. Структура и энергия симметричных границ наклона 〈110〉 в поликристаллическом W // ФММ. 2020. Т. 121. № 8. С. 877–883. https://doi.org/10.31857/S0015323020080112
- Уразалиев М.Г., Ступак М.Е, Попов В.В. Структура и энергия симметричных границ наклона с осью 〈110〉 в Ni и энергии образования вакансий в границах зерен // ФММ. 2021. Т. 122. № 7. С. 713–720. https://doi.org/10.1134/S0031918X21070139
- Hallil A., Metsu A., Bouhattate J., Feaugas X. Correlation between vacancy formation and Σ3 grain boundary structures in nickel from atomistic simulations // Phil. Mag. 2016. V. 96. № 20. P. 2088–2114. https://doi.org/10.1080/14786435.2016.1189616
Дополнительные файлы











