STUDY OF LOW-TEMPERATURE THERMOMECHANICAL BEHAVIOR OF THE Ti-18Zr-15Nb SUPERELASTIC ALLOY UNDER DIFFERENT TEMPERATURE-RATE CONDITIONS
- Authors: Derkach M.A.1, Sheremetev V.A.1, Korotitskiy A.V.1, Prokoshkin S.D.1
-
Affiliations:
- National Research Technological University MISiS
- Issue: Vol 124, No 9 (2023)
- Pages: 873-883
- Section: ПРОЧНОСТЬ И ПЛАСТИЧНОСТЬ
- URL: https://medbiosci.ru/0015-3230/article/view/139496
- DOI: https://doi.org/10.31857/S0015323023601216
- EDN: https://elibrary.ru/EDFOTX
- ID: 139496
Cite item
Full Text
Abstract
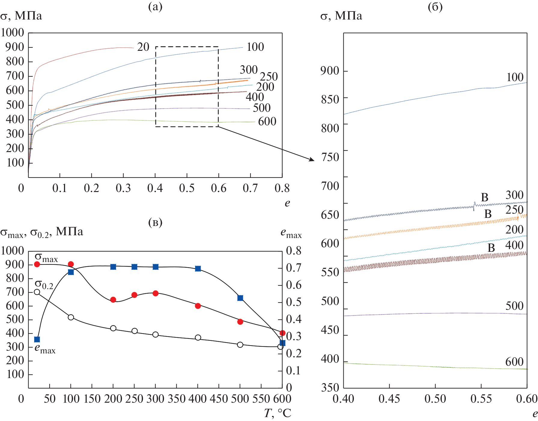
The biomedical alloy Ti-18Zr-15Nb (at.%) with shape memory was subjected to a true deformation e = 0.7 in three different modes: in the temperature range from 20°C to 600°C at deformation rate ξ = 0. 1 s-1; at temperatures 250°C and 300°C with strain rates ξ = 0.1, 1 and 10 s-1; deformation at 300°C and strain rate ξ = 0.1 s-1 after annealing at 300°C (τ = 10, 60, 300, 600 and 1200 s). It is established that with increasing temperature the conditional yield strength σ0.2 continuously decreases, at that in the temperature range of deformation temperatures 250°С-300°С the increase of maximum stress σmax is observed. In the temperature range from 200°С to 400°С fluctuations are observed on the flow curves, the amplitude of which increases with increasing temperature. The change σ0.2 and σmax, as well as the presence of oscillations on the strain diagrams are connected with the course of dynamic strain aging accompanied by the release of excess ω-phase particles at temperatures 200°С - 400°С. Increasing the strain rate at temperatures of 250°С - 300°С has a strong effect on the deformation behavior of the alloy due to a significant increase in temperature during the deformation process. Thus, increasing the strain rate up to ξ = 10 s-1 leads to a stepwise decrease in stress, starting from e ≈ 0.3, after which the plastic flow curve acquires a wave-like form with a low frequency of stress fluctuations. The main phase after all modes of thermomechanical tests is the BCC β-phase. At annealing of 300°С and an exposure of more than 300 s weak ω-phase lines are observed, and at deformation after aging significantly broadened ω-phase lines are observed only after prolonged exposure (1200 s).
About the authors
M. A. Derkach
National Research Technological University MISiS
Email: m144367@edu.misis.ru
Moscow, 119049 Russia
V. A. Sheremetev
National Research Technological University MISiS
Email: m144367@edu.misis.ru
Moscow, 119049 Russia
A. V. Korotitskiy
National Research Technological University MISiS
Email: m144367@edu.misis.ru
Moscow, 119049 Russia
S. D. Prokoshkin
National Research Technological University MISiS
Author for correspondence.
Email: m144367@edu.misis.ru
Moscow, 119049 Russia
References
- Miyazaki S., Kim H.Y., Hosoda H. Development and Characterization of Ni-Free Ti-Base Shape Memory and Superelastic Alloys // Mater. Sci. Eng. A. 2006. V. 438. P. 18–24.
- Biesiekierski A., Wang J., Abdel-Hady Gepreel M., Wen C. A New Look at Biomedical Ti-Based Shape Memory Alloys // Acta Biomater. 2012. V. 8. P. 1661–1669.
- Prokoshkin S., Brailovski V., Dubinskiy S., Zhukova Y., Sheremetyev V., Konopatsky A., Inaekyan K. Manufacturing, Structure Control, and Functional Testing of Ti–Nb-Based SMA for Medical Application // Shape Mem. Superelasticity. 2016. V. 2. P. 130–144.
- Sheremetyev V., Petrzhik M., Zhukova Y., Kazakbiev A., Arkhipova A., Moisenovich M., Prokoshkin S., Brailovski V. Structural, Physical, Chemical, and Biological Surface Characterization of Thermomechanically Treated Ti–Nb-Based Alloys for Bone Implants // J. Biomed. Mater. Res. – Part B Appl. Biomater. 2020. V. 108. P. 647–662.
- Kim H.Y., Fu J., Tobe H., Kim J.Il., Miyazaki S. Crystal Structure, Transformation Strain, and Superelastic Property of Ti–Nb–Zr and Ti–Nb–Ta Alloys // Shape Mem. Superelasticity. 2015. V. 1. P. 107–116.
- Kudryashova A., Sheremetyev V., Lukashevich K., Cheverikin V., Inaekyan K., Galkin S., Prokoshkin S., Brailovski V. Effect of a Combined Thermomechanical Treatment on the Microstructure, Texture and Superelastic Properties of Ti–18Zr–14Nb Alloy for Orthopedic Implants // J. Alloys Compd. 2020. V. 843. P. 156066.
- Lukashevich K.E., Sheremetyev V.A., Kudryashova A.A., Derkach M.A., Andreev V.A., Galkin S.P., Prokoshkin S.D., Brailovski V. Effect of Forging Temperature on the Structure, Mechanical and Functional Properties of Superelastic Ti–Zr–Nb Bar Stock for Biomedical Applications // Lett. Mater. 2022. V. 12. P. 54–58.
- Sheremetyev V., Dubinskiy S., Kudryashova A., Prokoshkin S., Brailovski V. In Situ XRD Study of Stress- and Cooling-Induced Martensitic Transformations in Ultrafine- and Nano-Grained Superelastic Ti–18Zr–14Nb Alloy // J. Alloys Compd. 2022. V. 902. P. 163704.
- Lukashevich K., Sheremetyev V., Komissarov A., Cheveri-kin V., Andreev V., Prokoshkin S., Brailovski V. Effect of Cooling and Annealing Conditions on the Microstructure, Mechanical and Superelastic Behavior of a Rotary Forged Ti–18Zr–15Nb (at %) Bar Stock for Spinal Implants // J. Funct. Biomater. 2022. V. 13. P. 259.
- Sheremetyev V., Lukashevich K., Kreitcberg A., Kudryashova A., Tsaturyants M., Galkin S., Andreev V., Prokoshkin S., Brailovski V. Optimization of a Thermomechanical Treatment of Superelastic Ti–Zr–Nb Alloys for the Production of Bar Stock for Orthopedic Implants // J. Alloys Compd. 2022. V. 928. P. 167143.
- Hickman B.S. The Formation of Omega Phase in Titanium and Zirconium Alloys: A Review // J. Mater. Sci. 1969. V. 4. P. 554–563.
- Ng H.P., Douguet E., Bettles C.J., Muddle B.C. Age-Hardening Behaviour of Two Metastable Beta-Titanium Alloys // Mater. Sci. Eng. A. 2010. V. 527. P. 7017–7026.
- Ballor J., Li T., Prima F., Boehlert C.J., Devaraj A. A Review of the Metastable Omega Phase in Beta Titanium Alloys: The Phase Transformation Mechanisms and Its Effect on Mechanical Properties // Int. Mater. Rev. 2022. V. 68. P. 1–20.
- Lee C.M., Ju C.P., Lin J.H.C. Structure – Property Relationship of Cast Ti–Nb Alloys // J. Oral Rehabil. 2002. V. 29. P. 314–322.
- Hon Y.-H., Wang J.-Y., Pan Y.-N. Composition/Phase Structure and Properties of Titanium–Niobium Alloys // Mater. Trans. 2003. V. 44. P. 2384–2390.
- Niinomi M. Improvement in Mechanical Performance of Low-Modulus β-Ti–Nb–Ta–Zr System Alloys by Microstructural Control via Thermomechanical Processing // Int. J. Mod. Phys. B. 2008. V. 22. P. 2787–2795.
- Niinomi M. Fatigue Performance and Cyto-Toxicity of Low Rigidity Titanium Alloy, Ti–29Nb–13Ta–4.6Zr // Biomaterials. 2003. V. 24. P. 2673–2683.
- Málek J., Hnilica F., Veselý J., Smola B., Bartáková S., Vaněk J. The Influence of Chemical Composition and Thermo-Mechanical Treatment on Ti–Nb–Ta–Zr Alloys // Mater. Des. 2012. V. 35. P. 731–740.
- Al-Zain Y., Kim H.Y., Koyano T., Hosoda H., Miyazaki S. A Comparative Study on the Effects of the ω and α Phases on the Temperature Dependence of Shape Memory Behavior of a Ti–27Nb Alloy // Scr. Mater. 2015. V. 103. P. 37–40.
- Li S., Choi M.-Seon, Nam T.-Hyun. Role of Fine Nano-Scaled Isothermal Omega Phase on the Mechanical and Superelastic Properties of a High Zr-Containing Ti–Zr–Nb–Sn Shape Memory Alloy // Mater. Sci. Eng. A. 2020. V. 782. P. 139278.
- Lin Z., Wang L., Xue X., Lu W., Qin J., Zhang D. Microstructure Evolution and Mechanical Properties of a Ti–35Nb–3Zr–2Ta Biomedical Alloy Processed by Equal Channel Angular Pressing (ECAP) // Mater. Sci. Eng. C. 2013. V. 33. P. 4551–4561.
- Gunderov D., Prokoshkin S., Churakova A., Sheremetyev V., Ramazanov I. Effect of HPT and Accumulative HPT on Structure Formation and Microhardness of the Novel Ti18Zr15Nb Alloy // Mater. Lett. 2021. V. 283. P. 128819.
- Sheremetyev V., Churakova A., Derkach M., Gunderov D., Raab G., Prokoshkin S. Effect of ECAP and Annealing on Structure and Mechanical Properties of Metastable Beta Ti–18Zr–15Nb (at. %) Alloy // Mater. Lett. 2021. V. 305. P. 130760.
- Singh A.K., Mohan M., Divakar C. Pressure-Induced Alpha-Omega Transformation in Titanium: Features of the Kinetics Data // J. Appl. Phys. 1983. V. 54. P. 5721–5726.
- Errandonea D., Meng Y., Somayazulu M., Häusermann D. Pressure-Induced → ω Transition in Titanium Metal: A Systematic Study of the Effects of Uniaxial Stress // Phys. B. Condens. Matter. 2005. V. 355. P. 116–125.
- Ivanisenko Y., Kilmametov A., Rösner H., Valiev R.Z. Evidence of α → ω Phase Transition in Titanium after High Pressure Torsion. Int // J. Mater. Res. 2008. V. 99. P. 36–41.
- Wang Y.B., Zhao Y.H., Lian Q., Liao X.Z., Valiev R.Z., Ringer S.P., Zhu Y.T., Lavernia E.J. Grain Size and Reversible Beta-to-Omega Phase Transformation in a Ti Alloy // Scr. Mater. 2010. V. 63. P. 613–616.
- Xie K.Y., Wang Y., Zhao Y., Chang L., Wang G., Chen Z., Cao Y., Liao X., Lavernia E.J., Valiev R.Z., Sarrafpour B., Zoellner H., Ringer S.P. Nanocrystalline β-Ti Alloy with High Hardness, Low Young’s Modulus and Excellent in Vitro Biocompatibility for Biomedical Applications // Mater. Sci. Eng. C. 2013. V. 33. P. 3530–3536.
- Cottrell A.H. Theory of Dislocations // Prog. Met. Phys. 1949. V. 1. P. 77–126.
- Caillard D. Dynamic Strain Ageing in Iron Alloys: The Shielding Effect of Carbon // Acta Mater. 2016. V. 112. P. 273–284.
- Banerjee S., Naik U.M. Plastic Instability in an Omega Forming Ti–15% Mo Alloy // Acta Mater. 1996. V. 44. P. 3667–3677.
- Gunderov D., Kim K., Gunderova S., Churakova A., Lebedev Y., Nafikov R., Derkach M., Lukashevich K., Sheremetyev V., Prokoshkin S. Effect of High-Pressure Torsion and Annealing on the Structure, Phase Composition, and Microhardness of the Ti–18Zr–15Nb (at %) Alloy // Mater. 2023. V. 16. P. 1754.
- Humphreys F.J., Hatherly M. Recrystallization and Related Annealing Phenomena // Elsevier. 2012. 520 p.
- Rodriguez P. Serrated Plastic Flow // Bull. Mater. Sci. 1984. V. 6. P. 653–663.
- Avalos M., Alvarez-Armas I., Armas A.F. Dynamic Strain Aging Effects on Low-Cycle Fatigue of AISI 430F // Mater. Sci. Eng. A. 2009. V. 513–514. P. 1–7.
- Tjong S.C., Zhu S.M. Tensile Deformation Behavior and Work Hardening Mechanism of Fe–28Mn–9Al–0.4C and Fe–28Mn–9Al–1C Alloys // Mater. Trans. JIM. 1997. V. 38. P. 112–118.
- Choudhary B.K., Samuel E.I., Sainath G., Christopher J., Mathew M.D. Influence of Temperature and Strain Rate on Tensile Deformation and Fracture Behavior of P92 Ferritic Steel // Metall. Mater. Trans. A. Phys. Metall. Mater. Sci. 2013. V. 44. P. 4979–4992.
Supplementary files









