Влияние Ni на вклады действующих механизмов сверхпластической деформации сплава Al–Zn–Mg–Cr
- Авторы: Яковцева О.А.1, Постникова М.Н.1, Иржак А.В.2, Рофман О.В.1, Михайловская А.В.1
-
Учреждения:
- Кафедра металловедения цветных металлов, НИТУ МИСИС
- ИПТМ РАН
- Выпуск: Том 124, № 9 (2023)
- Страницы: 884-894
- Раздел: ПРОЧНОСТЬ И ПЛАСТИЧНОСТЬ
- URL: https://medbiosci.ru/0015-3230/article/view/139498
- DOI: https://doi.org/10.31857/S0015323023601125
- EDN: https://elibrary.ru/EDLUTM
- ID: 139498
Цитировать
Полный текст
Аннотация
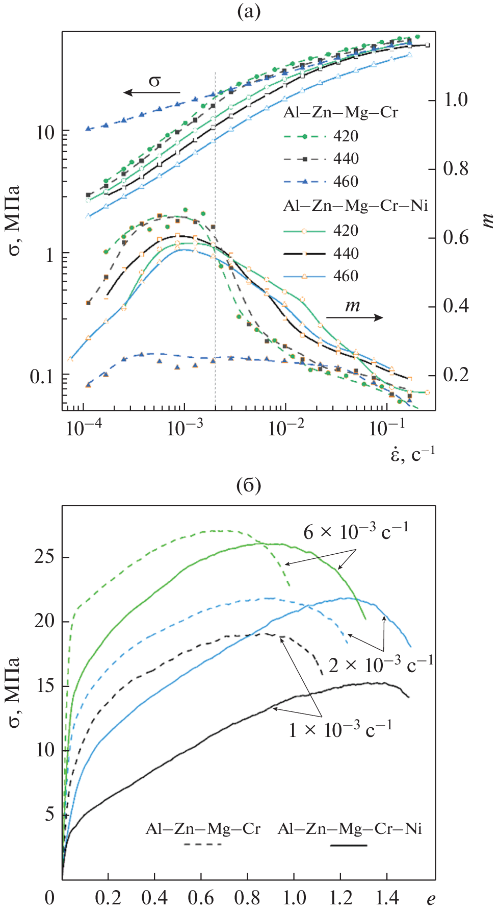
Исследовано влияние никеля на показатели сверхпластичности, эволюцию микроструктуры и соотношение вкладов действующих механизмов сверхпластической деформации в сплавах системы Al–Zn–Mg–Cr. В сплаве Al–Zn–Mg–Cr выделяются только дисперсоиды среднего размера 140 нм, которые содержат кроме алюминия, хрома и магния небольшое количество цинка, а в Al–Zn–Mg–Cr–Ni образуется дополнительно фаза Al3Ni. Алюминид никеля обеспечивает более однородную стабильную зеренную структуру при повышении температуры отжига и во время сверхпластической деформации при 440°С. При добавлении в сплав никеля средний размер зерна уменьшается с 7.7 до 7.3 мкм перед началом деформации и с 10 до 8.6 мкм после деформации 0.69. При этом, после деформации вблизи частиц Al3Ni выявлена повышенная плотность дислокаций. При близких значениях коэффициента скоростной чувствительности m ≈ 0.6 в сплаве, содержащем частицы Al3Ni, в два раза больше вклад зернограничного скольжения, и в три раза меньше вклад внутризеренного дислокационного скольжения, что приводит к сохранению более равноосной микрозеренной структуры и росту относительных удлинений.
Об авторах
О. А. Яковцева
Кафедра металловедения цветных металлов, НИТУ МИСИС
Email: yakovtseva.oa@misis.ru
Россия, 119049, Москва, Ленинский просп., 4, стр. 1
М. Н. Постникова
Кафедра металловедения цветных металлов, НИТУ МИСИС
Email: yakovtseva.oa@misis.ru
Россия, 119049, Москва, Ленинский просп., 4, стр. 1
А. В. Иржак
ИПТМ РАН
Email: yakovtseva.oa@misis.ru
Россия, 142432, Московская обл., Черноголовка, ул. Академика Осипьяна, 6
О. В. Рофман
Кафедра металловедения цветных металлов, НИТУ МИСИС
Email: yakovtseva.oa@misis.ru
Россия, 119049, Москва, Ленинский просп., 4, стр. 1
А. В. Михайловская
Кафедра металловедения цветных металлов, НИТУ МИСИС
Автор, ответственный за переписку.
Email: yakovtseva.oa@misis.ru
Россия, 119049, Москва, Ленинский просп., 4, стр. 1
Список литературы
- Blandin J.J. Superplasticity of metallic alloys: Some current findings and open questions // Materials Science Forum. 2016. V. 838–839. P. 13–22.
- Langdon T.G. Seventy-five years of superplasticity: Historic developments and new opportunities // Journal of Materials Science. 2009. V. 44. № 22. P. 5998–6010.
- Wang X.G., Li Q., Wu R., Zhang X., Ma L. A Review on Superplastic Formation Behavior of Al Alloys // Advances in Materials Science and Engineering. 2018. V. 2018. P. 1–17.
- Langdon T.G. Twenty-five years of ultrafine-grained materials: Achieving exceptional properties through grain refinement // Acta Mater. 2013. V. 61. № 19. P. 7035–7059.
- Novikov I.I., Portnoj V.K. Superplastizität von Legierungen // Superplastizität von Legierungen / ed. VEB Deutscher Verlag fur Grundstoffindustrie. Leipzig. 1985. P. 1–185.
- Jin H. Optimization of Aluminum Alloy AA5083 for Superplastic and Quick Plastic Forming // Metall. Mater. Trans. A Phys. Metall. Mater. Sci. Springer US. 2019. V. 50. № 8. P. 3868–3890.
- Chokshi A.H. Grain Boundary Processes in Strengthening, Weakening, and Superplasticity // Adv. Eng. Mater. 2020. V. 22. № 1. P. 1–9.
- Wang T., Hu J., Du L., Sun G., Misra R.D.K. Strain rate and temperature dependence of low temperature superplastic deformation in a nanostructured microalloyed steel // Mater. Lett. 2019. V. 243. P. 165–168.
- Giuliano G. Superplastic forming of advanced metallic materials // Woodhead Publishing Limited, 2011. 384 p.
- Hwang D.Y., Kwon K., Shin D.H., Park K.T., Ko Y.G., Lee C.S. Superplastic behavior of ultrafine grained Al alloys fabricated by severe plastic deformation // Key Eng. Mater. 2007. V. 345–346 I. P. 597–600.
- Пойда В.П., Педун Д.Е., Брюховецкий В.В., Пойда А.В., Сухов Р.В., Самсоник А.Л., Литвиненко В.В. Структурные изменения в ходе сверхпластической деформации высокопрочного сплава 1933 системы Аl–Mg–Zn–Cu–Zr // Физика металлов и металловедение. 2013. Т. 114. № 9. С. 848–858.
- Котов А.Д., Михайловская А.В., Портной В.К. Влияние состава твердого раствора на показатели сверхпластичности сплавов системы Al–Zn–Mg–Cu–Ni–Zr // Физика металлов и металловедение. 2014. Т. 115. № 7. С. 778–784.
- Котов А.Д., Михайловская А.В., Портной В.К. Сверхпластичность сплава Al–11% Zn–3% Mg–0.8% Cu–0.3% Zr с добавками Fe и Ni // Металловедение и термическая обработка металлов. 2013. № 7 (697). С. 22–25.
- Яковцева О.А., Котов А.Д., Ситкина М.Н., Иржак А.В., Михайловская А.В. Механизмы сверхпластической деформации при повышенной скорости в сплаве системы Al–Mg–Zn–Fe–Ni–Zr–Sc // Физика металлов и металловедение. 2019. Т. 120. № 10. С. 1109–1115.
- Yakovtseva O.A., Sitkina M.N., Kotov A.D., Mikhaylovskaya A.V., Rofman O.V. Experimental study of the superplastic deformation mechanisms of high-strength aluminum-based alloy // Mater. Sci. Eng. A. 2020. V. 788. P. 139639.
- Yakovtseva O., Tomas A., Mikhaylovskaya A. Surface and internal structural markers for studying grain boundary sliding and grain rotation // Mater. Lett. 2020. V. 268. P. 127569.
- Mikhaylovskaya A.V., Yakovtseva O.A., Sitkina M.N., Kotov A.D., Irzhak A.V., Krymskiy S.V., Portnoy V.K. Comparison between superplastic deformation mechanisms at primary and steady stages of the fine grain AA7475 aluminium alloy // Mater. Sci. Eng. A. 2018. V. 718. P. 277–286.
- Котов А.Д., Михайловская А.В., Борисов А.А., Яковцева О.А., Портной В.К. Высокоскоростная сверхпластичность сплавов системы Al–Zn–Mg–Cu с добавками Fe и Ni // Физика металлов и металловедение. 2017. Т. 118. № 9. С. 958–966.
- Akopyan T.K., Belov N.A., Aleshchenko A.S., Galkin S.P., Gamin Y.V., Gorshenkov M.V., Cheverikin V.V., Shurkin P.K. Formation of the gradient microstructure of a new Al alloy based on the Al–Zn–Mg–Fe–Ni system processed by radial-shear rolling // Mater. Sci. Eng. A. 2019. V. 746. P. 134–144.
- Ширинкина И.Г., Бродова И.Г. Структурно-фазовые превращения при отжиге Al–Zn–Mg–Fe–Ni-сплава после кручения при высоком давлении // Физика металлов и металловедение. 2020. Т. 121. № 4. С. 388–395.
- Белов Н.А., Белов В.Д., Чеверикин В.В., Мишуров С.С. Экономно-легированные высокопрочные деформируемые никалины – алюминиевые сплавы нового поколения // Известия высших учебных заведений. Цветная металлургия. 2011. № 2. С. 49–58.
- Brodova I., Rasposienko D., Shirinkina I., Petrova A., Akopyan T., Bobruk E. Effect of Severe Plastic Deformation on Structure Refinement and Mechanical Properties of the Al–Zn–Mg–Fe–Ni Alloy // Metals (Basel). 2021. V. 11. № 2. P. 296.
- Portnoy V.K., Novikov I.I. Evaluation of grain boundary sliding contribution to the total strain during superplastic deformation // Scr. Mater. 1998. V. 40. № 1. P. 39–43.
- Mikhaylovskaya A.V., Yakovtseva O.A., Irzhak A.V. The role of grain boundary sliding and intragranular deformation mechanisms for a steady stage of superplastic flow for Al–Mg-based alloys // Mater. Sci. Eng. A. 2022. V. 833. P. 142524.
- Mondal C., Mukhopadhyay A.K. On the nature of T(Al2Mg3Zn3) and S(Al2CuMg) phases present in as-cast and annealed 7055 aluminum alloy // Mater. Sci. Eng. A. 2005. V. 391. № 1–2. P. 367–376.
- Cong F., Zhao G., Jiang F., Tian N., Li R. Effect of homogenization treatment on microstructure and mechanical properties of DC cast 7X50 aluminum alloy // Trans. Nonferrous Met. Soc. China. 2015. V. 25. № 4. P. 1027–1034.
- Zhao Y., Li H., Liu Y., Huang Y. The microstructures and mechanical properties of a highly alloyed Al–Zn–Mg–Cu alloy: The role of Cu concentration // J. Mater. Res. Technol. 2022. V. 18. P. 122–137.
- Xiao X.L., Liu H.W., Chen W.L., Lin Y.M. Morphology of Dispersoids in an Annealed Al-Mg Alloys // Mater. Sci. Forum. 2021. V. 1035. P. 72–82.
- Sripathi S., Padmanabhan K.A. Universality of the Phenomenology of Structural Superplasticity // Mater. Sci. Forum. 2016. V. 838–839. P. 84–88.
- Lv S., Jia C., He X., Wan Z., Li X., Qu X. Superplastic Deformation and Dynamic Recrystallization of a Novel Disc Superalloy GH4151 // Materials (Basel). 2019. V. 12. № 22. P. 3667.
- Rabinovich M.K., Trifonov V.G. Dynamic grain growth during superplastic deformation // Acta Mater. 1996. V. 44. № 5. P. 2073–2078.
- Bate P.S., Hyde K.B., Court S.A., Humphreys John F. Dynamic Grain Growth in Superplastic and Non-Superplastic Aluminium Alloys // Mater. Sci. Forum. 2004. V. 447–448. P. 61–66.
- Messerschmidt U., Bartsch M. Generation of dislocations during plastic deformation // Mater. Chem. Phys. 2003. V. 81. № 2–3. P. 518–523.
- Chen C.L., Tan M.J. Effect of grain boundary character distribution (GBCD) on the cavitation behaviour during superplastic deformation of Al 7475 // Mater. Sci. Eng. A. 2002. V. 338. № 1–2. P. 243–252.
- Mikhaylovskaya A.V., Yakovtseva O.A., Mochugovskiy A.G., Cifre J., Golovin I.S. Influence of minor Zn additions on grain boundary anelasticity, grain boundary sliding, and superplasticity of Al–Mg-based alloys // J. Alloys Compd. 2022. V. 926. P. 166785.
- Rust M.A., Todd R.I. Surface studies of Region II superplasticity of AA5083 in shear: Confirmation of diffusion creep, grain neighbour switching and absence of dislocation activity // Acta Mater. Acta Materialia. 2011. V. 59. № 13. P. 5159–5170.
- Sotoudeh K., Bate P.S. Diffusion creep and superplasticity in aluminium alloys // Acta Mater. Acta Materialia. 2010. V. 58. № 6. P. 1909–1920.
- Todd R.I. Critical review of mechanism of superplastic deformation in fine grained metallic materials // Mater. Sci. Technol. 2000. V. 16. № 11–12. P. 1287–1294.
Дополнительные файлы









