Исследование распада твердого раствора Al–Sc при отжиге деформированных сплавов Al–0.5% Mg–Sc
- Авторы: Шадрина Я.С.1, Смирнова Е.С.1, Чувильдеев В.Н.1, Копылов В.И.1, Щербак Г.В.1, Шишулин Е.О.1, Крутова О.Г.1, Бобров А.А.1, Нохрин А.В.1, Табачкова Н.Ю.2,3
-
Учреждения:
- Национальный исследовательский Нижегородский государственный университет им. Н.И. Лобачевского
- НИТУ “МИСИС”
- Институт общей физики им. А.М. Прохорова РАН
- Выпуск: Том 124, № 10 (2023)
- Страницы: 923-930
- Раздел: СТРУКТУРА, ФАЗОВЫЕ ПРЕВРАЩЕНИЯ И ДИФФУЗИЯ
- URL: https://medbiosci.ru/0015-3230/article/view/232652
- DOI: https://doi.org/10.31857/S0015323022601714
- EDN: https://elibrary.ru/BOGZOZ
- ID: 232652
Цитировать
Полный текст
Аннотация
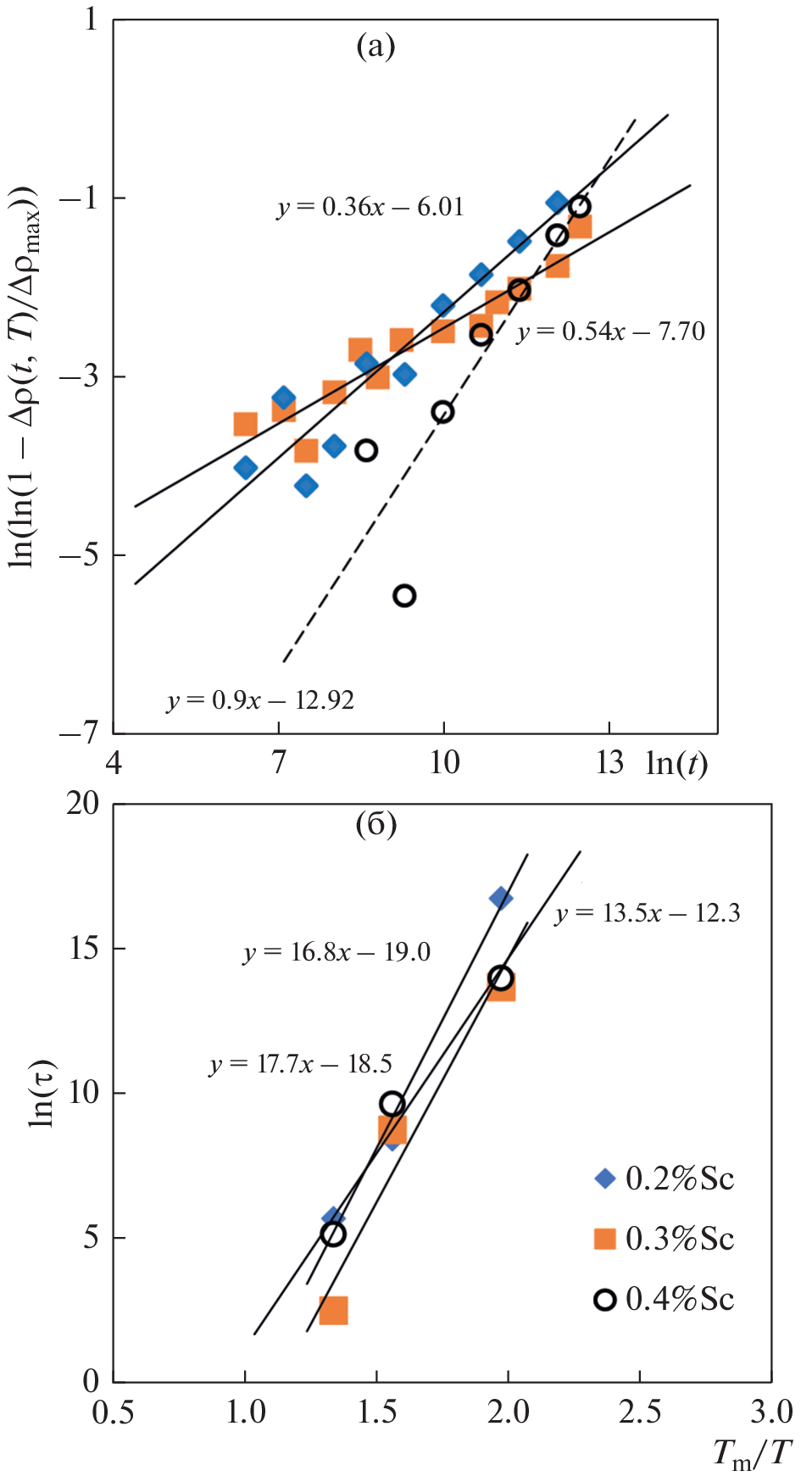
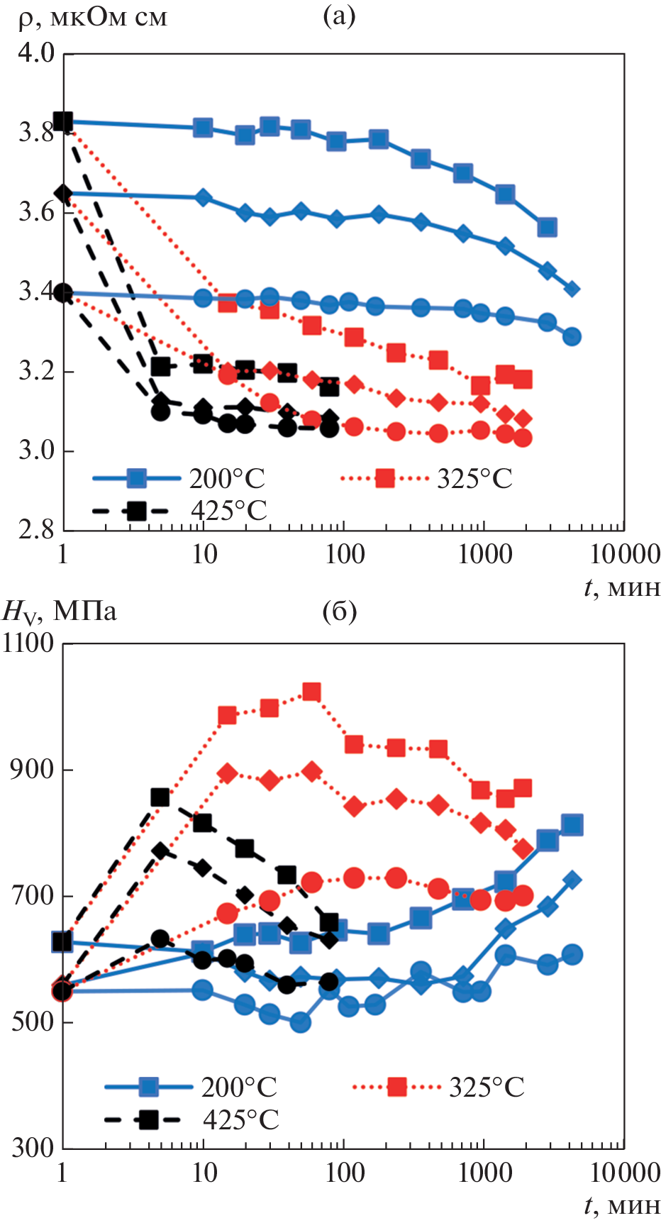
Представлены результаты исследований кинетики распада твердого раствора при отжиге мелкозернистых (МЗ) проводниковых сплавов Al–0.5% Mg–Sc с различным содержанием скандия. Сплавы получены методом индукционного литья, а МЗ микроструктура сформирована с помощью равноканального углового прессования. Кинетика распада твердого раствора изучена с использованием методик измерения удельного электросопротивления и микротвердости. Анализ результатов проведен с использованием уравнения Джонсона–Мела–Аврами–Колмогорова. Показано, что при отжиге МЗ-сплавов наблюдается выделение частиц Al3Sc по ядрам решеточных дислокаций, а также происходит прерывистый распад твердого раствора скандия в алюминии.
Ключевые слова
Об авторах
Я. С. Шадрина
Национальный исследовательский Нижегородский государственный университет им. Н.И. Лобачевского
Email: nokhrin@nifti.unn.ru
Россия, 603022, Нижний Новгород, просп. Гагарина, 23
Е. С. Смирнова
Национальный исследовательский Нижегородский государственный университет им. Н.И. Лобачевского
Email: nokhrin@nifti.unn.ru
Россия, 603022, Нижний Новгород, просп. Гагарина, 23
В. Н. Чувильдеев
Национальный исследовательский Нижегородский государственный университет им. Н.И. Лобачевского
Email: nokhrin@nifti.unn.ru
Россия, 603022, Нижний Новгород, просп. Гагарина, 23
В. И. Копылов
Национальный исследовательский Нижегородский государственный университет им. Н.И. Лобачевского
Email: nokhrin@nifti.unn.ru
Россия, 603022, Нижний Новгород, просп. Гагарина, 23
Г. В. Щербак
Национальный исследовательский Нижегородский государственный университет им. Н.И. Лобачевского
Email: nokhrin@nifti.unn.ru
Россия, 603022, Нижний Новгород, просп. Гагарина, 23
Е. О. Шишулин
Национальный исследовательский Нижегородский государственный университет им. Н.И. Лобачевского
Email: nokhrin@nifti.unn.ru
Россия, 603022, Нижний Новгород, просп. Гагарина, 23
О. Г. Крутова
Национальный исследовательский Нижегородский государственный университет им. Н.И. Лобачевского
Email: nokhrin@nifti.unn.ru
Россия, 603022, Нижний Новгород, просп. Гагарина, 23
А. А. Бобров
Национальный исследовательский Нижегородский государственный университет им. Н.И. Лобачевского
Email: nokhrin@nifti.unn.ru
Россия, 603022, Нижний Новгород, просп. Гагарина, 23
А. В. Нохрин
Национальный исследовательский Нижегородский государственный университет им. Н.И. Лобачевского
Автор, ответственный за переписку.
Email: nokhrin@nifti.unn.ru
Россия, 603022, Нижний Новгород, просп. Гагарина, 23
Н. Ю. Табачкова
НИТУ “МИСИС”; Институт общей физики им. А.М. Прохорова РАН
Email: nokhrin@nifti.unn.ru
Россия, 119049, Москва, Ленинский просп., 7; Россия, 119991, Москва, ул. Вавилова, 38
Список литературы
- Матвеев Ю.А., Гаврилова В.П., Баранов В.В. Легкие проводниковые материалы для авиапроводов // Кабели и провода. 2006. № 5(300). С. 22–24.
- Телешов В.В., Захаров В.В., Запольская В.В. Развитие алюминиевых сплавов для термостойких проводов с повышенной прочностью и высокой удельной электропроводимостью // Технология легких сплавов. 2018. № 1. С. 15–27.
- Барков Р.Ю., Яковцева О.А., Мамзурина О.И., Логинова И.С., Медведева С.В., Просвиряков А.С., Михайловская А.В., Поздняков А.В. Влияние Yb на структуру и свойства электропроводного сплава Al–Y–Sc // ФММ. 2020. Т. 121. Вып. 6. С. 667–672.
- Поздняков А.В., Осипенкова А.А., Попов Д.А., Махов С.В., Напалков В.И. Влияние малых добавок Y, Sm, Gd, Hf и Er на структуру и твердость сплава Al–0.2% Zr–0.1% Sc // МИТОМ. 2016. № 9(735). С. 25–30.
- Yang C., Masquellier N., Gandiolle C., Sauvage X. Multifunctional properties of composition graded Al wires // Scripta Mater. 2020. V. 189. P. 21–24.
- Sauvage X., Nasedkina Y., Bobruk E.V., Murashkin M.Y., Enikeev N.A., Valiev R.Z. Optimization of electrical conductivity and strength combination by structure design at the nanoscale in Al–Mg–Si alloys // Acta Mater. 2015. V. 98. P. 355–366.
- Захаров В.В., Фисенко И.А. Влияние небольших добавок переходных металлов на структуру и свойства малолегированного сплава Al–Sc // Технология легких сплавов. 2020. № 3. С. 11–19.
- Захаров В.В. Перспективы создания экономнолегированных скандием алюминиевых сплавов // МИТОМ. 2018. № 3(753). С. 40–44.
- Segal V.M., Beyerlein I.J., Tome C.N., Chuvil’deev V.N., Kopylov V.I. Fundamentals and Engineering of Severe Plastic Deformation. N.Y.: Nova Science Publishers, 2010. 542 p.
- Сегал В.М., Резников В.И., Копылов В.И., Павлик Д.А., Малышев В.Ф. Процессы пластического структурообразования металлов. Минск: Наука и техника, 1994. 230 с.
- Орлова Т.С., Латынина Т.А., Мурашкин М.Ю., Казыханов В.У. Влияние дополнительной интенсивной пластической деформации при повышенных температурах на микроструктуру и функциональные свойства ультрамелкозернистого сплава Al–0.4Zr // ФТТ. 2019. Т. 61. № 12. С. 2477–2487.
- Чувильдеев В.Н., Шадрина Я.С., Нохрин А.В., Копылов В.И., Бобров А.А., Грязнов М.Ю., Шотин С.В., Табачкова Н.Ю., Пискунов А.В., Чегуров М.К., Мелехин Н.В. Исследование термической стабильности структуры и механических свойств субмикрокристаллических алюминиевых сплавов Al–0.5% Mg–Sc // Металлы. 2021. № 1. С. 10–28.
- Gryaznov M., Shotin S., Nokhrin A., Chuvil’deev V., Likhnitskii C., Kopylov V., Chegurov M., Tabachkova N., Shadrina I., Smirnova E., Pirozhnikova O. Investigation of effect of preliminary annealing on superplasticity of ultrafine-grained conductor aluminum alloys Al–0.5% Mg–Sc // Materials. 2022. V. 15. № 1. P. 176.
- Чувильдеев В.Н., Нохрин А.В., Шадрина Я.С., Пискунов А.В., Копылов В.И., Берендеев Н.Н., Чепеленко В.Н. Исследование термической стабильности структуры и механических свойств мелкозернистых проводниковых алюминиевых сплавов Al–Mg–Zr–Sc(Yb) // Металлы. 2020. № 5. С. 64–76.
- Чувильдеев В.Н., Нохрин А.В., Смирнова Е.С., Копылов В.И. Исследование механизмов распада твердого раствора в литых и микрокристаллических сплавах системы Al–Sc. III. Анализ экспериментальных данных // Металлы. 2012. № 6. С. 82–91.
- Шматко О.А., Усов Ю.В. Структура и свойства металлов и сплавов. Электрические и магнитные свойства металлов. Киев: Наукова думка, 1987. 325 с.
- Чувильдеев В.Н., Смирнова Е.С., Копылов В.И. Исследование механизмов распада твердого раствора в литых и микрокристаллических сплавах системы Al–Sc. II. Модель распада твердого раствора при образовании когерентных частиц второй фазы // Металлы. 2012. № 4. С. 70–84.
- Чувильдеев В.Н., Нохрин А.В., Смирнова Е.С., Копылов В.И. Исследование механизмов распада твердого раствора в литых и микрокристаллических сплавах системы Al–Sc. IV. Влияние распада твердого раствора на механические свойства сплавов // Металлы. 2013. № 5. С. 52–67.
Дополнительные файлы









