Magnetostriction and Magnetocaloric Properties of the Mn1 – xFexAs System
- Authors: Gadzhiev A.B.1, Gamzatov A.G.1, Khanov L.N.1, Mityuk V.I.2, Govor G.A.2, Aliev A.M.1
-
Affiliations:
- Amirkhanov Institute of Physics DFRC RAS
- NPC of the National Academy of Sciences of Belarus for Materials Science
- Issue: Vol 124, No 11 (2023)
- Pages: 1117-1121
- Section: ЭЛЕКТРИЧЕСКИЕ И МАГНИТНЫЕ СВОЙСТВА
- URL: https://medbiosci.ru/0015-3230/article/view/232713
- DOI: https://doi.org/10.31857/S001532302360123X
- EDN: https://elibrary.ru/IBPAAT
- ID: 232713
Cite item
Full Text
Abstract
Abstract—
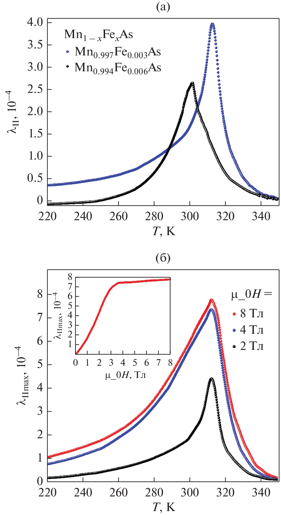
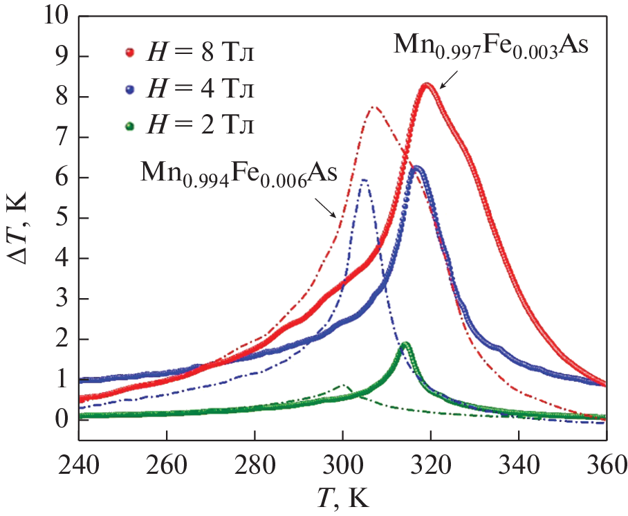
The results of studying the temperature dependence of the magnetocaloric effect (ΔТad), thermal expansion and magnetostriction in the Mn1 – хFexAs (х = 0.003, 0.006) system in magnetic fields up to 8 T are presented. It is shown that an increase in the iron concentration in the Mn1 – xFexAs system leads to a shift in the phase transition temperature towards low temperatures by 15 K. In a field of 8 T, the value ΔTad = 8.3 K for the Mn0.997Fe0.003As sample at the initial temperature T0 = 318 K, and ΔTad = 7.7 K for Mn0.994Fe0.006As at T0 = 307 K. The data on thermal expansion and magnetostriction show that the magnetostriction decreases with increasing iron concentration, which also leads to a decrease in the magnetocaloric effect.
Keywords
About the authors
A. B. Gadzhiev
Amirkhanov Institute of Physics DFRC RAS
Author for correspondence.
Email: mr.gadzhiev.93@mail.ru
Russia, 367015, Republic of Dagestan, Makhachkala
A. G. Gamzatov
Amirkhanov Institute of Physics DFRC RAS
Email: mr.gadzhiev.93@mail.ru
Russia, 367015, Republic of Dagestan, Makhachkala
L. N. Khanov
Amirkhanov Institute of Physics DFRC RAS
Email: mr.gadzhiev.93@mail.ru
Russia, 367015, Republic of Dagestan, Makhachkala
V. I. Mityuk
NPC of the National Academy of Sciences of Belarus for Materials Science
Email: mr.gadzhiev.93@mail.ru
Belarus, 220072, Minsk
G. A. Govor
NPC of the National Academy of Sciences of Belarus for Materials Science
Email: mr.gadzhiev.93@mail.ru
Belarus, 220072, Minsk
A. M. Aliev
Amirkhanov Institute of Physics DFRC RAS
Email: mr.gadzhiev.93@mail.ru
Russia, 367015, Republic of Dagestan, Makhachkala
References
- De Campos A., Rocco D.L., Carvalho A.M.G., Caron L., Coelho A.A., Gama S., da Silva L.M., Gandra F.C. G., dos Santos A.O., Cardoso L.P., von Ranke P.J. & de Oliveira N.A. Ambient pressure colossal magnetocaloric effect tuned by composition in Mn1 – xFexAs // Nature Materials. 2006. V. 5. P. 802–804.
- Gama S., Coelho A.A., de Campos A., Carvalho A.M.G., Gandra F.C.G., von Ranke P.J., de Oliveira N.A. Pressure-Induced Colossal Magnetocaloric Effect in MnAs // Phys. Rev. Lett. 2004. V. 93. P. 237202.
- Yu B.F., Gao Q., Zhang B., Meng X.Z., Chen Z. Review on research of room temperature magnetic refrigerationRecherches sur les systèmes frigorifiques magnétiques à température ambiante: la littérature passée en revue // Int. J. Refrigeration. 2003. V. 26. P. 622.
- Tocado L., Palacios E., Burriel R. Adiabatic measurement of the giant magnetocaloric effect in MnAs // Journal of Thermal Analysis and Calorimetry. 2003. V. 84. P. 213–217.
- Aliev A.M., Khanov L.N., Gamzatov A.G., Batdalov A.B., Kurbanova D.R., Yanushkevich K.I., Govor G.A. Giant magnetocaloric effect in MnAs1 − xPx in a cyclic magnetic field: Lattice and magnetic contributions and degradation of the effect // Appl. Phys. Lett. 2021. V. 118. P. 072404.
- Соколовский В.В., Мирошкина О.Н., Бучельников В.Д. Обзор современных теоретических методов исследования магнитокалорических материалов // ФММ. 2022. Т. 123. С. 344–402.
- Zarkevich N.A., Zverev V.I. Viable Materials with a Giant Magnetocaloric Effect // Crystals. 2020. V. 10. P. 815–845.
- Wada H., Tanabe Y. Giant magnetocaloric effect of MnAs1 – xSbx // Appl. Phys. Lett. 2001. V. 79. P. 3302–3304.
- Соколовский В.В., Мирошкина О.Н., Бучельников В.Д., Марченков В.В. Магнитокалорический эффект в металлах и сплавах // ФММ. 2022. Т. 123. С. 339–343.
- Krenke T., Duman E., Acet M., Wassermann E.F., Moya X., Manosa L., Planes A. Inverse magnetocaloric effect in ferromagnetic Ni–Mn–Sn alloys // Nat. Mater. 2005. V. 4. P. 450–454.
- Sandeman K.G., Daou R., Ozcan S., Durrell J.H., Mathur N.D., Fray D.J. Negative magnetocaloric effect from highly sensitive metamagnetism in CoMnSi1 – xGex // Phys. Rev. B. 2006. V. 74. P. 224 436–224 442.
- Алиев А.М., Батдалов А.Б., Калитка В.С. Магнитокалорические свойства манганитов в переменных магнитных полях // Письма в ЖТФ. 2009. Т. 90. С. 736–739.
- Yu B., Liu M., Egolf P.W., Kitanovski A. A review of magnetic refrigerator and heat pump prototypes built before the year 2010 // Intern. J. Refrigeration. 2010. V. 33. P. 1029–1060.
- Phan M.H., Yu S.C. Review of the magnetocaloric effect in manganite materials // J. Magn. Magn. Mater. 2007. V. 308. P. 325–340.
- Rocco D.L., de Campos A., Carvalho A.M.G., Caron L., Coelho A.A., Gama S., Gandra F.C.G., dos Santos A. O., Cardoso L.P., von Ranke P.J., de Oliveira N.A. Ambient Pressure Colossal Magnetocaloric Effect in Mn1 − xCuxAs compounds // Appl. Phys. Lett. 2007. V. 90. P. 242 507–242 510.
- Balli M., Fruchart D., Gignoux D., Dupuis C., Kedous-Lebouc A., Zach R. Giant magnetocaloric effect in Mn1 − x(Ti0.5V0.5)xAs: Experiments and calculations // J. Appl. Phys. 2008. V. 103. P. 103908–103911.
- Selte K., Kjekshus A., Andresen A.F., Zieba A. On the magnetic properties of transition metal substituted MnAs // J. Phys. Chem. of Solids. 1977. V. 38. P. 719–725.
- Ziba A., Zach R., Fjellvag H., Kjekshus A. Effect of external pressure and chemical substitution on the phase transitions in MnAs // Journal of Physics and Chemistry of Solids. 1987. V. 48. P. 79–89.
- Новикова С.И. Тепловое расширение твердых тел // М.: Наука, 1974. С. 294.
- Ханов Л.Н., Батдалов А.Б., Маширов А.В., Каманцев А.П., Алиев А.М. Магнитокалорический эффект и магнитострикция в сплаве Гейслера Ni49.3Mn40.4In10.3 в переменных магнитных полях // ФТТ. 2018. Т. 60. С. 1099–1102.
- Ido H., Yasuda S., Kido G. Magnetization and magnetostriction of MnAs0.7Sb0.3 in the paramagnetic temperature region // J. Appl. Phys. 1991. V. 69. P. 4621–4623.
- Rocco D.L., de Campos A., Carvalho M.A.G., dos Santos A.O., da Silva L.M., Gama S., da Luz M.S., von Ranke P., de Oliveira N.A., Coelho A.A., Cardoso L.P., Souza J.A. Influence of chemical doping and hydrostatic pressure on the magnetic properties of Mn1 − xFexAs magnetocaloric compounds // Phys. Rev. B. 2016. V. 93. P. 054431–054440.
Supplementary files






