Modification of Fе/Gd Superlattices Crystal Structure by Hydrogenation
- Authors: Likhachev I.A.1, Kravtsov E.A.2,3, Vasilev A.L.1, Milyaev M.A.2,3, Salamatov Y.A.2, Ryzhova A.A.2, Kondratev O.A.1, Devyaterikov D.I.2, Chesnokov Y.M.1, Subbotin I.A.1, Pashaev E.M.1
-
Affiliations:
- National Research Center “Kurchatov Institute”
- Mikheev Institute of Metal Physics, Ural Branch of Russian Academy of Sciences
- Ural Federal University Named after the First President of Russia B.N. Yeltsin
- Issue: Vol 124, No 12 (2023)
- Pages: 1186-1195
- Section: ЭЛЕКТРИЧЕСКИЕ И МАГНИТНЫЕ СВОЙСТВА
- URL: https://medbiosci.ru/0015-3230/article/view/232728
- DOI: https://doi.org/10.31857/S0015323023601745
- EDN: https://elibrary.ru/CJKMKH
- ID: 232728
Cite item
Full Text
Abstract
Abstract—
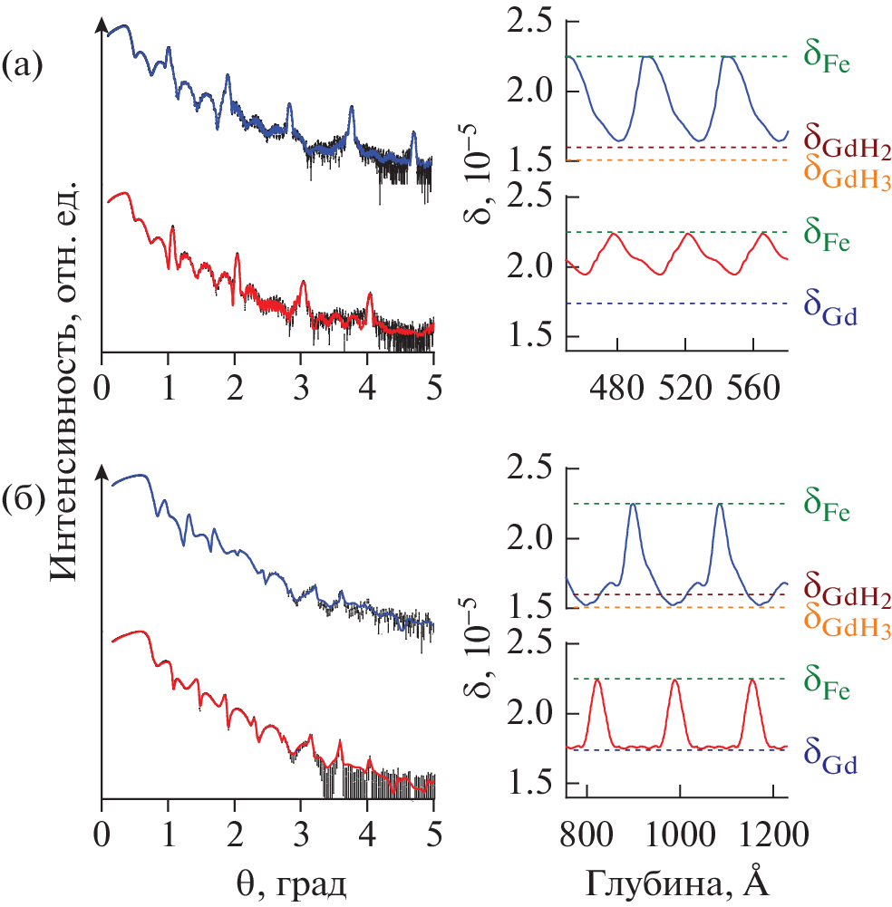
Structural studies of multilayer magnetic nanostructures formed by alternating layers of transition (Fe) and rare earth (Gd) metals placed in a hydrogen atmosphere at a temperature of 100°C have been carried out. When hydrogen is absorbed by rare earth metals, crystalline phases GdHx arise (form), the microstructural features of which were studied by X-ray diagnostics and electron microscopy.
About the authors
I. A. Likhachev
National Research Center “Kurchatov Institute”
Author for correspondence.
Email: likhachev82@mail.ru
Russia, 123182, Moscow
E. A. Kravtsov
Mikheev Institute of Metal Physics, Ural Branch of Russian Academy of Sciences; Ural Federal University Named after the First President of Russia B.N. Yeltsin
Email: likhachev82@mail.ru
Russia, 620108, Ekaterinburg; Russia, 620102, Ekaterinburg
A. L. Vasilev
National Research Center “Kurchatov Institute”
Email: likhachev82@mail.ru
Russia, 123182, Moscow
M. A. Milyaev
Mikheev Institute of Metal Physics, Ural Branch of Russian Academy of Sciences; Ural Federal University Named after the First President of Russia B.N. Yeltsin
Email: likhachev82@mail.ru
Russia, 620108, Ekaterinburg; Russia, 620102, Ekaterinburg
Yu. A. Salamatov
Mikheev Institute of Metal Physics, Ural Branch of Russian Academy of Sciences
Email: likhachev82@mail.ru
Russia, 620108, Ekaterinburg
A. A. Ryzhova
Mikheev Institute of Metal Physics, Ural Branch of Russian Academy of Sciences
Email: likhachev82@mail.ru
Russia, 620108, Ekaterinburg
O. A. Kondratev
National Research Center “Kurchatov Institute”
Email: likhachev82@mail.ru
Russia, 123182, Moscow
D. I. Devyaterikov
Mikheev Institute of Metal Physics, Ural Branch of Russian Academy of Sciences
Email: likhachev82@mail.ru
Russia, 620108, Ekaterinburg
Yu. M. Chesnokov
National Research Center “Kurchatov Institute”
Email: likhachev82@mail.ru
Russia, 123182, Moscow
I. A. Subbotin
National Research Center “Kurchatov Institute”
Email: likhachev82@mail.ru
Russia, 123182, Moscow
E. M. Pashaev
National Research Center “Kurchatov Institute”
Email: likhachev82@mail.ru
Russia, 123182, Moscow
References
- Wiesinger G., Hilscher G. Magnetism of Hydrides / in Handbook series Magnetic Materials. 2007. V. 18. P. 293–456.
- Drovosekov A.B., Savitsky A.O., Kholin D.I., Kreines N.M., Proglyado V.V., Makarova M.V., Kravtsov E.A., Ustinov V.V. Twisted magnetization states and inhomogeneous resonance modes in a Fe/Gd ferrimagnetic multilayer // J. Magn. Magn. Mater. 2019. V. 475. P. 668–674.
- Hjörvarsson B., Dura J.A., Isberg P., Watanabe T., Udovic T.J., Andersson G., Majkrzak C.F. Reversible tuning of the magnetic exchange coupling in Fe/V(001) superlattices using hydrogen // Phys. Rev. Lett. 1997. V. 79. P. 901–904.
- Klose F., Rehm C., Nagengast D., Maletta H., Weidinger A. Continuous and reversible change of the magnetic coupling in an Fe/Nb multilayer induced by hydrogen charging // Phys. Rev. Lett. 1997. V. 78. P. 1150–1153.
- Vincent Leiner, Murat Ay, Hartmut Zabel. Hydrogen and the magnetic interlayer exchange coupling: Variable magnetic interlayer correlation in Ho/Y(00.1) superlattices // Phys. Rev. B. 2004. V. 70. P. 104429.
- Ik Jae Leea, Jae-Yong Kim, Chungjong Yu, Chang-Hwan Chang, Man-Kil Joo, Young Pak Lee, Tae-Bong Hur, Hyung-Kook Kim. Morphological and structural characterization of epitaxial α-Fe2O3 (0001) deposited on Al2O3 (0001) by dc sputter deposition // J. Vacuum Science & Technology. 2005. V. A 23. P. 1450–1455.
- Andreeva M., Baulin R., Nosov A., Gribov I., Izyurov V., Kondratev O., Subbotin I., Pashaev E. Mössbauer Synchrotron and X-ray Studies of Ultrathin YFeO3 Film // Magnetism. 2022. V. 2. № 4. P. 328–339.
- Grier E.J., Kolosov O., Petford-Long A.K., Ward R.C.C., Wells M.R., Hjörvarsson B. Structural changes to epitaxial (0001) holmium layers during hydrogen loading // J. Phys. D: Appl. Phys. 2000. V. 33. P. 894.
- Sutter C., Labergerie D., Remhof A., Zabel H., Detlefs C., Grübel G. X-ray magnetic-scattering study of magnetism in hydrogenated thin holmium films // Europhysics Letters. 2001. V. 53. P. 257.
- Manassen Y., Realpe H., Schweke D. Dynamics of H in a Thin Gd Film: Evidence of Spinodal Decomposition // J. Phys. Chem. C. 2019. V. 123. P. 11933–11938.
- Yasuhiro Kamada, Akihiro Itoh, Daisuke Takama, Masahiko Yamamoto. Effects of Hydrogenation on the Structure, Transport, and Magnetic Properties of Multilayers Composed of Transition Metals and Rare-Earth Metals // Trans. Magn. Soc. Japan. 2002. V. 2. P. 69–75.
- Aronzon B.A., Kovalchuk M.V., Pashaev E.M., Chuev M.A., Kvardakov V.V., Subbotin I.A., Rylkov V.V., Pankov M.A., Likhachev I.A., Zvonkov B.N., Danilov Yu.A., Vihrova O.V., Lashkul A.V., Laiho R. Structural and transport properties of GaAs/δ-Mn/GaAs/InxGa1 – xAs/ GaAs quantum well // J. Phys.: Condensed Matter. 2008. V. 20. № 145207. 9 p.
- Пашаев Э.М., Васильев А.Л., Субботин И.А., Пруцков Г.В., Чесноков Ю.М., Ковальчук М.В., Антропов Н.О., Кравцов Е.А., Проглядо В.В., Устинов В.В. Анализ структурных особенностей периодических многослойных систем Fe/Pd/Gd/Pd // Кристаллография. 2020. Т. 65. № 6. С. 943–952.
- Anubhav Jain, Shyue Ping Ong, Geoffroy Hautier, Wei Chen, William Davidson Richards, Stephen Dacek, Shreyas Cholia, Dan Gunter, David Skinner, Gerbrand Ceder, Kristin A. Persson Commentary: The Materials Project: A materials genome approach to accelerating materials innovation // APL Mater. 2013. V. 1. P. 011002.
- Roberge R. Lattice parameter of niobium between 4.2 and 300 K // J. the Less-Common Metals. 1975. V. 40. P. 161–164.
- Wyckoff R.W.G. Sample at T = 293 K Hexagonal closest packed, hcp, structure / Crystal Structures. Second edition. Interscience Publishers, New York, 1963. V. 1. P. 7–83.
- Mordechai Brill, Itzhak Halevy, Giora Kimmel, Moshe H. Mintz, Joseph Bloch The initial stage of the hydriding of gadolinium metal at 1008C and sub-ambient pressure // J. Alloys Compounds. 2002. V. 330–332. P. 93–98.
- Wanjelik S., Stolboushkina O., Königshofen S., Getzlaff M. Initial step of hydride formation in single crystalline gadolinium thin films and islands studied on the nm-scale // J. Alloys Compounds. 2015. V. 645. P. S221–S224.
- Chesnokov Yu.M., Vasiliev A.L., Prutskov G.V., Pashaev E.M., Subbotin I.A., Kravtsov E.A., Ustinov V.V. Microstructure of periodic metallic magnetic multilayer systems // Thin Solid Films. 2017. V. 632. P. 79–87.
- Subbotin I.A., Pashaev E.M., Vasilev A.L., Chesnokov Yu.M., Prutskov G.V., Kravtsov E.A., Makarova M.V., Proglyado V.V., Ustinov V.V. The Influence of Microstructure on Perpendicular Magnetic Anisotropy in Co/Dy Periodic Multilayer Systems // Physica B: Condensed Matter. 2019. V. 573. P. 28–35.
- Born M., Wolf E. Principles of optics: electromagnetic theory of propagation, interference and diffraction of light. Oxford: Pergamon Press, 1964.
- Florin Abel`es. La theorie g’en’erale des couches minces // J. Phys. Radium. 1950. V. 11. № 7. P. 307–309.
- Dalliant J., Gibaud A. X-Ray and Neutron Reflectivity. Berlin: Springer, 2009.
- Yakunin S.N., Makhotkin I.A., Nikolaev K.V., van de Kruijs R.W.E., Chuev M.A., Bijkerk F. Combined EUV reflectance and X-ray reflectivity data analysis of periodic multilayer structures // Optics express. 2014. V. 22. № 17. P. 20076–20086.
- Pearson W.B. Handbook of Lattice Spacings and Structures of Metal and Alloys. V. 2. Oxford: Pergamon Press, 1967.
- Moshe P. Dariel Diffusion in rare earth metals / Handbook on the Physics and Chemistry of Rare Earths, 1978. V. 1. P. 847–875.
Supplementary files










