Магнитное состояние кобальта в слоистом халькогениде Fe4Co3Se8
- Authors: Пискунов Ю.В.1, Оглобличев В.В.1, Садыков А.Ф.1, Акрамов Д.Ф.1,2, Смольников А.Г.1, Геращенко А.П.1, Селезнева Н.В.2, Баранов Н.В.1,2
-
Affiliations:
- Институт физики металлов имени М.Н. Михеева УрО РАН
- Уральский федеральный университет им. первого Президента России Б.Н. Ельцина
- Issue: Vol 125, No 1 (2024)
- Pages: 16-24
- Section: ЭЛЕКТРИЧЕСКИЕ И МАГНИТНЫЕ СВОЙСТВА
- URL: https://medbiosci.ru/0015-3230/article/view/259705
- DOI: https://doi.org/10.31857/S0015323024010035
- EDN: https://elibrary.ru/ZRTIDQ
- ID: 259705
Cite item
Full Text
Abstract
Выполнено исследование структурных и магнитных свойств слоистого халькогенида Fe4Co3Se8, обладающего ферримагнитным порядком ниже 196 K, с помощью рентгеновской дифрактометрии, измерений магнитной восприимчивости и спектроскопии ядерного магнитного резонанса (ЯМР) на ядрах 59Co. Найдено, что эффективный магнитный момент ионов железа составляет µэфф ≈ 5.90(5) µB. Определены значения компонент тензоров магнитного сдвига и градиента электрического поля в месте расположения ядер кобальта. Из температурных зависимостей сдвига и восприимчивости в Fe4Co3Se8 сделана оценка сверхтонкого поля, наводимого на ядра Co от соседних ионов железа. Установлено, что ионы кобальта в Fe4Co3Se8 так же, как и в соединении Co7Se8, не обладают собственным магнитным моментом, но имеют наведенный от соседних ионов железа момент µэффCo ≈ 0.36(4) µB, который при переходе в магнитоупорядоченное состояние уменьшается до значения 0.07(1) µB из-за взаимной компенсации вкладов от соседних ионов железа.
Keywords
Full Text
ВВЕДЕНИЕ
Халькогенид Fe₄Co₃Se₈ относится к классу катион-дефицитных слоистых соединений M₇X₈, где M –атомы переходных металлов, X – двухвалентные анионы VI группы таблицы Менделеева S, Se, Te. Для этих соединений характерно наличие вакансий в металлических слоях, а также образование разных сверхструктур в результате упорядочения вакансий и M атомов в слоях. Вакансии в соединениях M₇X₈ со структурой типа NiAs распределяются в каждом втором базисном слое атомов переходных металлов, что является основным принципом формирования этих сверхструктур (рис. 1). Хорошо известным представителем этого класса соединений является железосодержащий минерал – пирротин Fe₇S₈ [1, 2].
Рис. 1. Элементарная ячейка 3С-сверхструктуры соединения Fe₄Co₃Se₈. Пунктирными линиями показана базисная элементарная ячейка.
Халькогениды, содержащие кобальт, рассматриваются в последние годы в качестве перспективных катализаторов, в частности, для электролиза воды [3]. Изучение причин зарядовой и спиновой нестабильности ионов кобальта в этих соединениях представляется чрезвычайно важным для более глубокого понимания механизмов каталитической активности таких соединений.
Исходное соединение Fe₇Se₈ в системе Fe₇₋ₓCoₓSe₈ является ферримагнетиком с температурой Кюри TC = 450–483 K [4, 5]. Замещение железа кобальтом приводит к монотонному уменьшению температуры Кюри и снижению низкотемпературной намагниченности [6, 7]. Из полученных данных следует, что концентрация кобальта xс ≈ 4.5 является критической, а образцы с большей концентрацией кобальта являются парамагнетиками. Также установлено, что с ростом содержания кобальта параметр решетки c значительно (до 10%) уменьшается, однако параметр решетки а изменяется слабо, что указывает на сильную анизотропию сжимаемости [6].
Рис. 2. Дифрактограмма соединения Fe₄Co₃Se₈. Символы – экспериментальные значения сплошная линия – расчет, внизу – разностная кривая между наблюдаемыми и рассчитанными интенсивностями. Штрихами показано положение рефлексов в структуре, описываемой пространственной группой P3₁21.
Причина такой концентрационной зависимости TC и намагниченности в Fe₇₋ₓCoₓSe₈ до конца не выяснена. Непонятно, связана ли она с коллективизацией 3d-электронов ионов железа вследствие увеличения перекрытия их орбиталей при уменьшении параметра решетки c [6, 8–10]. Или же основной причиной уменьшения TС и намагниченности с увеличением содержания кобальта в Fe₇₋ₓCoₓSe₈ является переход ионов Fe из высокоспинового в низкоспиновое состояние, обусловленный увеличением энергии кристаллического поля при анизотропном изменении параметров решетки a и c [11]. Нельзя также исключить и того, что ионы кобальта, обладая очень маленьким моментом, выступают в качестве разбавителя магнитной подсистемы железа [7].
Таким образом, особую важность для понимания эволюции магнитных свойств соединений Fe₇₋ₓCoₓSe₈ приобретает вопрос о магнитном состоянии кобальта в этой системе. В ряде исследований [6, 12, 13], в том числе и в недавнем нашем [14], было показано, что при полном замещении железа кобальтом халькогенид Co₇Se₈ характеризуется слабой зависимостью от температуры магнитной восприимчивости и сдвига Найта. Это позволило сделать вывод о том, что в Co₇Se₈ кобальт является полностью немагнитным, в нем отсутствует собственный магнитный момент, а само соединение является парамагнетиком Паули. В настоящем исследовании мы попытались ответить на вопрос, сохраняют ли ионы кобальта свое немагнитное состояние в ферримагнетике Fe₄Co₃Se₈.
В данной работе нами было выполнено исследование структурных и магнитных свойств соединения Fe₄Co₃Se₈ посредством рентгенографии, измерения объемной магнитной восприимчивости, намагниченности и использования ядерного магнитного резонанса на ядрах ⁵⁹Co.
ОБРАЗЦЫ И МЕТОДЫ ИССЛЕДОВАНИЯ
Поликристаллический образец Fe₄Co₃Se₈ был получен методом твердофазных реакций в вакуумированной кварцевой ампуле. Исходные материалы: карбонильное железо (чистота 99.98%), селен марки “особо чистый” (чистота 99.999%), электролитический кобальт (чистота 99.9%). Ампулу с навеской медленно нагревали в печи со скоростью около 15 °C/час до температуры 950 °C с промежуточными выдержками при 200 °C, 400 °C и 600 °C (в течение суток при каждой температуре). Время выдержки при 950 °C составляло 1 неделю. Далее следовало три гомогенизационных отжига (каждый в течение недели) в вакуумированной кварцевой ампуле при 900 °C. Перед каждым отжигом образец перетирали и спрессовывали в таблетку. Такой способ позволил получить однородный однофазный материал.
Рентгенографическая аттестация полученного образца проведена на дифрактометре Bruker D8 ADVANCE в CuKα-излучении. Уточнение структуры и определение структурных параметров выполнено в программном пакете FullProf. Экспериментальные и рассчитанные дифрактограммы соединения Fe₄Co₃Se₈ представлены на рис. 2. Рентгеноструктурный анализ показал, что соединение Fe₄Co₃Se₈ имеет слоистую кристаллическую структуру типа NiAs, описывается пространственной группой P3₁21 с параметрами элементарной ячейки а0 = 3.603(7) Å и с0 = 5.281(2) Å. Выяснено, что упорядочение атомов Fe(Co) и вакансий образует сверхструктуру 2a0×3c0.
Параметр а для Fe₄Co₃Se₈ близок к параметру a исходного соединения Fe₇Se₈. В то же время параметр с, характеризующий среднее межслоевое расстояние, для Fe₄Co₃Se₈ существенно (на 7.01%) ниже, чем для Fe₇Se₈. Такое различие свидетельствует о сильном сжатии кристаллической решетки в направлении, перпендикулярном плоскости слоев, что согласуется с ранее опубликованными данными [6, 13].
Температурная зависимость магнитной восприимчивости Fe₄Co₃Se₈ измерена на установке MPMS SQUID XL7 (Quantum Design, США) в интервале температур от 2 K до 350 K в магнитном поле 1 кЭ. ЯМР измерения выполнены на импульсном спектрометре ЯМР в диапазоне температур 20 К ≤ T ≤ 400 K во внешнем магнитном поле H0 = 92.8 кЭ. Сигнал спинового эха Е(2t) формировали последовательностью двух когерентных радиочастотных импульсов (τp)x – tdel – (τp)y – tdel – echo, создающих в резонансной катушке с образцом переменное магнитное поле с амплитудой H1 ≈ 50–200 Э. Для измерения спектров, ширина которых превышала полосу частот, возбуждаемую радиочастотным импульсом, применяли методику суммирования массива фурье-спектров, полученных при изменении частоты спектрометра с шагом Δν = 150 кГц. Времена спин-решеточной релаксации T1 измеряли методом инвертирования и последующего восстановления ядерной намагниченности.
При измерении Т₁ использована импульсная последовательность 2(τp)x – tinv – (τp)x – tdel – (τp)y – tdel – echo.
РЕЗУЛЬТАТЫ И ОБСУЖДЕНИЕ
Температурная зависимость магнитной восприимчивости χ(T) Fe₄Co₃Se₈ представлена на рис. 3. Резкий рост вблизи T = 200 K свидетельствует о переходе соединения в магнитоупорядоченное состояние ниже этой температуры. Температурная зависимость производной dχ/dT (нижняя вставка) позволяет более точно определить температуру Кюри TC = 196 K. Это значение оказалось чуть ниже значения TC = 205 K, полученного для соединения Fe₄Ti₃Se₈, в котором атомы титана не обладают магнитным моментом [13].
Рис. 3. Температурная зависимость магнитной восприимчивости χ(T) в Fe₄Co₃Se₈. Нижняя вставка – зависимость производной dχ/dT от температуры. Верхняя вставка – зависимость χ(T) в парамагнитном состоянии Fe₄Co₃Se₈. Штриховая линия – результат аппроксимация экспериментальных данных выражением χ(T) = C/(T – TC) + χ₀.
Анализ данных магнитных измерений Fe₄Co₃Se₈ позволяет предположить, что ионы Со в этом соединении также не обладают собственным магнитным моментом, как и в соединении Co₇Se₈, которое проявляет парамагнетизм Паули [12–14]. Следует также отметить, что на температурной зависимости магнитной восприимчивости соединения Fe₄Co₃Se₈ не наблюдается никаких аномалий в магнитоупорядоченной области (при T < 196 K), которые указывали бы на спин-переориентационный переход. Такой переход, связанный с резким изменением ориентации магнитных моментов от плоскости слоев в направлении, перпендикулярном плоскости слоев, наблюдается в окрестности T ~ 100–133 K в незамещенном соединении Fe₇Se₈ со структурой типа 3С [15, 16]. Как показано в работе [17], увеличение содержания кобальта в системе (Fe₁₋ₓCoₓx)₇Se₈ приводит к расширению области температур с ориентацией магнитных моментов вдоль гексагональной оси с. Поэтому можно предположить, что в соединении Fe₄Co₃Se₈ магнитные моменты Fe ориентированы перпендикулярно плоскости слоев во всей области температур ниже 196 К.
На верхней вставке рис. 3 показана зависимость χ(T) в парамагнитном состоянии халькогенида. Она описывается законом Кюри–Вейса. Аппроксимация температурной зависимости восприимчивости выражением χ(T) = C/(T – TC) + χ0 (штриховая линия на верхней вставке рис. 3) дает значения для константы Кюри С = 2.24(4)·10–2 эме K/Э моль, температуры Кюри TC = 202(1) K, восприимчивости χ0 = 4.85(1)·10–3 эме/Э моль. Независимая от температуры восприимчивость χ0 включает в себя два основных вклада: орбитальную восприимчивость χорб и парамагнитную спиновую восприимчивость Паули χSp. Эффективный магнитный момент µэфф, рассчитанный из константы Кюри, равен 4.5 µB. Если предполагать, что наблюдаемый магнетизм в Fe₄Co₃Se₈ обусловлен только ионами железа, то в этом случае эффективный магнитный момент этих ионов должен быть равным µэфф = 5.90(5) µB. Последнее значение близко к значению µэфф = 5.80 µB, полученному в работе [6] для исходного состава Fe₇Se₈. Столь большой эффективный момент соответствует высокоспиновому состоянию ионов железа с полным спином S ≈ 2.5.
Рис. 4. Спектры ЯМР ядер ⁵⁹Co в поликристаллическом образце Fe₄Co₃Se₈ в магнитном поле Н0 = 92.8 кЭ при различных температурах в области магнитоупорядоченного и парамагнитного состояний (а). Спектр ЯМР ⁵⁹Co при T = 350 K, штриховая линия – результат моделирования (б).
На рис. 4 представлен спектр ЯМР ядер ⁵⁹Co в поликристаллическом образце Fe₄Co₃Se₈, полученный при T = 350 K во внешнем магнитном поле H0 = 92.8 кЭ. Ядро изотопа ⁵⁹Co обладает спином 59I = 7/2 и электрическим квадрупольным моментом e⁵⁹Q = 0.42·10–24 см². В этом случае ЯМР‑спектр представляет собой набор из 2I = 7 линий, одна из которых соответствует центральному переходу (m = –½ ↔ +½), 6 других – сателлитным переходам (m = ±³/₂ ↔ ± ½), (m = ±⁵/₂ ↔ ± ³/₂) и (m = ±⁷/₂ ↔ ± ⁵/₂). В данной работе для расчета формы линий ЯМР использована специальная программа моделирования спектров “Simul” [18], численно рассчитывающая энергетические уровни и вероятности переходов на основе диагонализации матричных элементов гамильтониана (квадрупольного и зеемановского) ядерной системы. Программа позволяет определять компоненты магнитного сдвига Kα (α = x, y, z – главные оси тензора градиента электрического поля (ГЭП)), а также значения квадрупольной частоты νQ и параметра асимметрии ГЭП η. Величины νQ и η связаны с компонентами ГЭП Vii следующим образом [19]:
(1)
Моделирование спектров ⁵⁹Co в парамагнитном состоянии Fe₄Co₃Se₈ показало, что полные экспериментальные спектры ЯМР могут быть описаны одной неоднородно уширенной резонансной линией, как это показано на рис. 4б. К сильному уширению спектра ⁵⁹Co приводит наличие в Fe₄Co₃Se₈ кристаллографически и магнитно неэквивалентных позиций кобальта. Как упоминали ранее, в системе (Fe, Co)₇Se₈ имеются вакансии атомов металла в решетке. Причем эти вакансии не распределены статистически равномерно по веществу, а являются упорядоченными, что и приводит к возникновению 3С- или 4С‑сверхструктуры в этом классе соединений. Кроме того, в каждом из катионных слоев халькогенида Fe₄Co₃Se₈ имеет место беспорядок Fe–Co. Все это приводит к различию параметров Kα, νQ и η для отдельных групп ионов Co и проявляется в значительном неоднородном уширении суммарного спектра ЯМР ⁵⁹Co.
Отметим некоторое различие интенсивности экспериментальных и теоретических линий ЯМР на отдельных участках полных спектров ⁵⁹Co. Дело в том, что теоретический расчет формы и интенсивности линий ЯМР не учитывает некоторых экспериментальных деталей измерений спектров (например, зависимость добротности колебательного контура от резонансной частоты). Вследствие этого при измерениях спектров в широком диапазоне частот могут возникать достаточно значительные расхождения в интенсивностях экспериментальных и теоретических линий ЯМР. Однако выводы, сделанные в данной работе, основываются на данных о положении пиков в спектрах ЯМР, а не на их интенсивностях.
При анализе спектров ЯМР в поликристаллических образцах часто удобно перейти от компонент Kα к изотропной Kiso = ⅓ · (Kx+Ky+Kz), аксиальной Kax = ⅓ · (Kz – ½(Kx + Ky)) и анизотропной Kaniso = ½(Ky – Kx) частям тензора магнитного сдвига линии ЯМР. Моделирование спектров в программе “Simul” показало, что значения Kax, Kaniso и η в области температур выше TC = 196 K близки к нулю, νQ = 2.2(1) МГц не изменяется с температурой. Что касается Kiso, его температурная эволюция представлена на рис. 5. При T > TC она имеет вид прямой y = a – b/(T – c), где a, b, c – константы, т. е. содержит Кюри–Вейсовский вклад.
В общем случае изотропный магнитный сдвиг линии ЯМР Kiso(T) в магнитных переходных металлах можно записать в виде четырех наибольших вкладов [20]:
(2)
Первый член обусловлен контактным сверхтонким полем (СТП) Hc, создаваемым на ядре валентными s-электронами, и пропорционален спиновой восприимчивости Паули , , которая, в свою очередь, определяется плотностью состояний s-электронов на уровне Ферми . Второе слагаемое – это вклад d-электронов проводимости в сдвиг. Он появляется вследствие поляризации d-электронами внутренних s-оболочек и также пропорционален спиновой восприимчивости свободных d-электронов :
,
где Hcp – поле поляризации остова. Магнитные поля Hc и Hcp имеют разные знаки: Hc > 0, Hcp < 0, при этом, как правило, |Hc| ≫ |Hcp| [21]. Однако, поскольку d-зона более узкая и обычно Nd(EF) ≫ Ns(EF), вклады |Ks| и |Kd| сравнимы по величине, а их сумма Ks + Kd может принимать как положительное, так и отрицательное значение. Третий вклад, орбитальный, в сдвиг Korb, iso обусловлен ван-флековским парамагнетизмом валентных d-электронов иона. Он возникает вследствие частичного размораживания орбитального момента во внешнем магнитном поле, не зависит от температуры и является положительным.
Наконец, четвертое слагаемое в (2) обусловлено локализованными магнитными моментами (ЛММ) d-электронов. ЛММ на ионах кобальта и железа могут давать два вида вкладов в сдвиг резонансной линии ядер ⁵⁹Co. Первый – это вклад от собственных ЛММ ионов Co, равный , где Hcp – уже упоминавшееся выше поле поляризации остова, – кюри–вейсовская восприимчивость ЛММ на ионах Co. Второй вклад обусловлен магнитным полем, наводимым на ядра кобальта от ЛММ соседних ионов Fe и Co. Данный вклад можно записать в виде:
,
где и – наведенные СТП от соседних ионов железа и кобальта соответственно. Они определяются главным образом степенью перекрытия d-орбиталей соседних ионов переходных металлов. Поскольку в Fe₄Co₃Se₈ расстояния Co–Co и Co–Fe примерно равны [7], то можно полагать, что .
Строго говоря, второе слагаемое в (2) может также иметь температурную зависимость. Это является следствием заметной изменяемости функции Nd(EF) в узком диапазоне энергий [20]. Однако эта зависимость столь слаба, что на фоне сильной кюри–вейсовской зависимости четвертого слагаемого ей можно пренебречь. Таким образом, мы можем представить сдвиг Kiso(T) в виде зависящей и независящей от температуры частей:
(3)
В свою очередь, магнитная восприимчивость χ(T) также состоит из трех основных слагаемых: зависящих от температуры по закону Кюри–Вейса спиновых восприимчивостей и независящей от температуры :
(4)
Используя выражения (3) и (4), можно получить зависимость сдвига Kiso от χ с температурой в качестве параметра:
. (5)
Рис. 5. Температурная зависимость магнитного сдвига ядер ⁵⁹Co Kiso в Fe₄Co₃Se₈; на вставке показана зависимость Kiso(χ) с температурой в качестве параметра, аппроксимированная прямой линией.
Такая параметрическая зависимость ⁵⁹Kiso(χ) для Fe₄Co₃Se₈ представлена на вставке рис. 5. Как видим, данная зависимость хорошо описывается прямой линией. Это возможно только в случае, когда имеющее кюри–вейсовскую температурную зависимость второе слагаемое в (5) очень мало, и им можно пренебречь. Поле поляризации остова неспаренными 3d-электронами весьма велико Hcp = –125 кЭ/µB [21], это означает, что , следовательно, ионы кобальта не имеют собственных локальных магнитных моментов. Аппроксимируя данные параметрической зависимости Kiso(χ) прямой (5), находим значение СТП = –9.1(1) кЭ/µB – суммарное магнитное поле, наводимое на ядро кобальта от одного неспаренного 3d-электрона каждого из ближайших ионов железа. А поскольку таких электронов в 3d-оболочке железа 5, то полное наведенное поле будет равно » –45 кЭ. Кроме того, это поле не что иное, как поле поляризации остова, создаваемое наведенным от железа эффективным магнитным моментом в 3d-оболочке кобальта . Поскольку момент 1 µB создает поле поляризации Hcp = –125 кЭ/µB [21], то .
В парамагнитной области магнитные моменты всех ионов Fe, окружающих кобальт, направлены в одну и ту же сторону, вдоль внешнего магнитного поля. В магнитоупорядоченном состоянии Fe₄Co₃Se₈ при T < 196 K суммарное наведенное поле на ядрах кобальта может по абсолютной величине быть значительно меньше 45 кЭ. Это происходит, если внутри одного слоя Fe(Co) магнитные моменты железа сонаправлены (упорядочены ферромагнитно), то в соседних слоях Fe(Co) они антипараллельны магнитным моментам рассматриваемого слоя. Это должно приводить к взаимной компенсации внутриплоскостного и межплоскостного вкладов в локальное магнитное поле на ядрах Co. Мы можем оценить степень этой компенсации по спектрам ЯМР ⁵⁹Co, полученным во внешнем магнитном поле в магнитоупорядоченном состоянии Fe₄Co₃Se₈. Действительно, в поликристалле во внешнем магнитном поле, меньшем поля анизотропии (H0 < HA), направление локального поля на ядрах кобальта hloc относительно H0 будет равномерно распределено внутри образца по телесному углу Ω = 180°. Это приводит к тому, что резонансные частоты ядер ⁵⁹Co будут распределены внутри интервала частот от ⁵⁹γn(H0 – |hloc|) до ⁵⁹γn(H0 + |hloc|), т. е. полная ширина спектра ЯМР будет Δ⁵⁹ν ⁓ ⁵⁹γn·2·|hloc|. Воспользовавшись экспериментальными данными о величине Δ⁵⁹ν ≈ 18 МГц (рис. 4a), мы оценили |hloc| ≈ 9 кЭ, что соответствует суммарному , что в 5 раз меньше в парамагнитном состоянии. Это свидетельствует о существенной компенсации наведенного магнитного момента на ионах Co при переходе соединения в магнитоупорядоченное состояние.
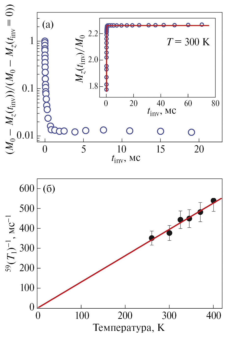
Результаты измерений скорости спин-решеточной релаксации (СРР) ядерной намагниченности Mz = ⁵⁹γnħ<Iz(t)> ионов кобальта в парамагнитном состоянии соединения Fe₄Co₃Se₈ представлены на рис. 6.
Рис. 6. Зависимость величин (M₀ – Mz(tᵢₙᵥ))/(M₀ – Mz(tᵢₙᵥ = 0)) и Mz(tᵢₙᵥ)/M₀ (на вставке) от tᵢₙᵥ в соединении Fe₄Co₃Se₈ при Т = 300 К, сплошные линии – результат аппроксимации данных выражением (а). Температурная зависимость скорости ядерной спин-решеточной релаксации Т₁⁻¹. Прямая линия – аппроксимация данных прямой линией (б).
Спин-решеточная релаксация макроскопической ядерной намагниченности Mz(t) к термодинамически равновесному значению M0 происходит за характерное время Т₁. В случае квадрупольно расщепленного спектра и инвертирования населенностей энергетических уровней, соответствующих квантовым числам m = +½ и m = –½ (центральный переход) кривая восстановления ядерной намагниченности для спина I = 7/2 определяется следующим выражением [22]:
(6)
На рис. 6a показан пример аппроксимации экспериментальной кривой намагниченности выражением (6).
В приближении свободного электронного газа в металлах величина Т₁⁻¹ растет пропорционально температуре. При этом выполняется так называемое соотношение Корринги [23]:
. (7)
где γe и γn – электронное и ядерное гиромагнитные отношения. Данное соотношение является следствием того, что релаксация и сдвиг в металле определяются соответственно флуктуирующей и статической частями локального поля, обусловленного сверхтонким взаимодействием ядер с электронами проводимости. Кроме того, в 3d-металлах может быть значительным так называемый орбитальный вклад в СРР , вызываемый флуктуациями орбитальных токов d-электронов. В отличие от орбитального вклада в магнитный сдвиг, слагаемое никак не связано с орбитальной восприимчивостью χorb и потому не может быть выражено через сдвиг Korb. Этот вклад определяется непосредственно плотностью d- электронных состояний на уровне Ферми и так же как пропорционален температуре [24]. Таким образом, в 3d-металлах температурная зависимость скорости СРР может иметь корринговский тип, т. е. 1/T₁ µ T. Флуктуации локальных магнитных моментов также могут приводить к ядерной спин-решеточной релаксации. Данный вклад в парамагнитной области является независящим от температуры, [25].
Рис. 6б демонстрирует, что в парамагнитном состоянии Fe₄Co₃Se₈ скорость СРР пропорциональна температуре, т. е. имеет коррингоподобный характер. Кроме того, экстраполяция зависимости (T) в область низких температур приводит к нулевому значению скорости СРР. Это свидетельствует о том, что СРР ядерных магнитных моментов кобальта определяется в основном электронами проводимости, а также является дополнительным подтверждением малости эффективного момента на ионах кобальта. Практически полное отсутствие вклада в релаксацию от ЛММ может также свидетельствовать о том, что спиновые флуктуации в соседних слоях Fe(Co) остаются антиферромагнитно коррелированными в парамагнитном состоянии Fe₄Co₃Se₈.
ЗАКЛЮЧЕНИЕ
Выполнено исследование структурных и магнитных свойств соединения Fe₄Co₃Se₈ посредством рентгенографии, измерения объемной магнитной восприимчивости и методом ядерного магнитного резонанса ядер ⁵⁹Co.
Обнаружено, что температурная зависимость магнитной восприимчивости не демонстрирует никаких аномалий в магнитоупорядоченной области (при T < 196 K), которые указывали бы на спин-переориентационный переход. Это позволяет предположить, что в соединении Fe₄Co₃Se₈ магнитные моменты Fe ориентированы перпендикулярно плоскости слоев во всей области температур ниже 196 К. Из температурной зависимости восприимчивости в парамагнитном состоянии Fe₄Co₃Se₈ определено среднее по образцу значение эффективного магнитного момента µэфф = 4.5 µB, которое в пересчете только на атомы Fe составляет µэфф = 5.90(5) µB. Последнее значение близко к µэфф = 5.80 µB, полученному в работе [6] для исходного состава Fe₇Se₈ и соответствует расчетному значению для высокоспинового состояния иона Fe³⁺.
Анализ спектров ЯМР ⁵⁹Co позволил определить значения компонент тензоров магнитного сдвига и градиента электрического поля в месте расположения ядер кобальта. Из температурных зависимостей сдвига и восприимчивости Fe₄Co₃Se₈ сделана оценка сверхтонкого поля, наводимого на ядра Co от соседних ионов железа. Установлено, что ионы кобальта в Fe₄Co₃Se₈ так же, как и в полностью замещенном Co₇Se₈, не имеют собственных магнитных моментов. Однако, вследствие перекрытия 3d-оболочек ионов кобальта и железа, часть магнитного моментов Fe может переноситься на ион Co, приводя к появлению на кобальте наведенного эффективного магнитного момента µeffCo ≈ 0.36(4) µB. При переходе в магнитоупорядоченное состояние магнитный момент значительно уменьшается до µCoэфф = 0.07(1) µB из-за взаимной компенсации вкладов в этот наведенный момент от ионов железа, расположенных внутри плоскости и в двух соседних. О малом значении µCoэфф косвенно свидетельствуют также данные по температурной зависимости спин-решеточной релаксации ядерных моментов ⁵⁹Co, которая демонстрирует коррингоподобное поведение и отсутствие вклада от локализованных магнитных моментов ионов кобальта.
Таким образом, данное исследование показало, что в халькогенидах Fe₇₋ₓCoₓSe₈ ионы кобальта, не имея собственного магнитного момента, выступают в основном качестве разбавителя магнитной подсистемы железа.
Исследование выполнено за счет гранта Российского научного фонда (проект № 22–12–00220, https://rscf.ru/project/22–12–00220/, ИФМ УрО РАН). Работа выполнена с использованием оборудования ЦКП “Испытательный центр нанотехнологий и перспективных материалов” ИФМ УрО РАН.
Авторы данной работы заявляют, что у них нет конфликта интересов.
About the authors
Ю. В. Пискунов
Институт физики металлов имени М.Н. Михеева УрО РАН
Author for correspondence.
Email: piskunov@imp.uran.ru
Russian Federation, ул. С. Ковалевской, 18, Екатеринбург, 620108
В. В. Оглобличев
Институт физики металлов имени М.Н. Михеева УрО РАН
Email: piskunov@imp.uran.ru
Russian Federation, ул. С. Ковалевской, 18, Екатеринбург, 620108
А. Ф. Садыков
Институт физики металлов имени М.Н. Михеева УрО РАН
Email: piskunov@imp.uran.ru
Russian Federation, ул. С. Ковалевской, 18, Екатеринбург, 620108
Д. Ф. Акрамов
Институт физики металлов имени М.Н. Михеева УрО РАН; Уральский федеральный университет им. первого Президента России Б.Н. Ельцина
Email: piskunov@imp.uran.ru
Russian Federation, ул. С. Ковалевской, 18, Екатеринбург, 620108; ул. Мира, 19, Екатеринбург, 620002
А. Г. Смольников
Институт физики металлов имени М.Н. Михеева УрО РАН
Email: piskunov@imp.uran.ru
Russian Federation, ул. С. Ковалевской, 18, Екатеринбург, 620108
А. П. Геращенко
Институт физики металлов имени М.Н. Михеева УрО РАН
Email: piskunov@imp.uran.ru
Russian Federation, ул. С. Ковалевской, 18, Екатеринбург, 620108
Н. В. Селезнева
Уральский федеральный университет им. первого Президента России Б.Н. Ельцина
Email: piskunov@imp.uran.ru
Russian Federation, ул. Мира, 19, Екатеринбург, 620002
Н. В. Баранов
Институт физики металлов имени М.Н. Михеева УрО РАН; Уральский федеральный университет им. первого Президента России Б.Н. Ельцина
Email: piskunov@imp.uran.ru
Russian Federation, ул. С. Ковалевской, 18, Екатеринбург, 620108; ул. Мира, 19, Екатеринбург, 620002
References
- Pearce C.I., Pattrick R.A.D., Vaughan D.J. Electrical and Magnetic Properties of Sulfides // Rev. Mineral. Geochem. 2006. V. 61(1). P. 127–180.
- Wang H., Salveson I. A review on the mineral chemistry of the non-stoichiometric iron sulphide, Fe1–xS (0 ≤ x ≤ 0.125): polymorphs, phase relations and transitions, electronic and magnetic structures // Phase Transition. 2005. V. 78. P. 547–567.
- Wang J., Cui W., Liu Q., Xing Z., Asiri A.M., Sun X. Recent Progress in Cobalt-Based Heterogeneous Catalysts for Electrochemical Water Splitting // Adv. Mater. 2016. V. 28. P. 215–230.
- Kawaminami M., Okazaki A. Neutron diffraction study of Fe7Se8 // Journal of the Physical Society of Japan. 1967. V. 22. Р. 925. Kawaminami M., Okazaki A. Neutron diffraction study of Fe7Se8 II // J. Phys. Soc. Japan. 1970. V. 29. Iss. 3. P. 649–655.
- Andresen A.F., Leciejewicz J. A neutron diffraction study of Fe7Se8 // J. Phys. 1964. V. 25. Р. 574–578.
- Sato M., Kamimura T., Iwata T. Magnetic properties and anisotropy of (Fe1–xCox)7Se8 // J. Appl. Phys. 1985. V. 57. P. 3244–3246.
- Ибрахим П.Н.Г. Влияние катионного и анионного замещения на структуру и физические свойства слоистых халькогенидов переходных металлов типа M7X8 / Дис... канд. физ.-мат. наук. Екатеринбург: УрФУ, 2015.
- Sato M., Kamimura T., Shinohora T., Sato T. Magnetic phase diagram of (Fe, Co)7S8 and (Mn, Ti)Sb // J. Magn. Magn. Mater. 1990. V. 90–91. P. 179–180.
- Kamimura T. Correlation between magnetism and lattice spacing c in compounds with NiAs-type structures // J. Phys. 1988. V. 49. P. C8–191–C8–192.
- Sato M., Kamimura T., Shinohora T., Sato T. NMR study of 59Co in (Fe1-xCox)7S8 // J. Magn. Magn. Materi. 1992. V. 104–107. P. 1961–1962.
- Rueff J.P., Kao C.C., Struzhkin V.V., Badro J., Shu J., Hemley R.J., Mao H.K. Pressure-Induced High-Spin to Low-Spin Transition in FeS Evidenced by X-Ray Emission Spectroscopy // Phys. Rev. Letters. 1999. V. 82. P. 3284–3287.
- Miller V.L., Lee W.L., Lawes G., Ong N.-P., Cava R.J. Synthesis and properties of the Co7Se8-xSx and Ni7Se8-xSx solid solutions // J. Solid State Chemistry. 2005. V. 178. P. 1508–1512.
- Baranov N.V., Ibrahim P.N.G., Selezneva N.V., Gubkin A.F., Volegov A.S., Shishkin D.A., Keller L., Sheptyakov D., Sherstobitova E.A. Layer-preferential substitutions and magnetic properties of pyrrhotite-type Fe7-yMyX8 chalcogenides (X = S, Se; M = Ti, Co) // J. Phys. Condensed Matter. 2015. V. 27. P. 286003(12).
- Piskunov Yu.V., Ogloblichev V.V., Sadykov A.F., Akramov D.F., Smol’nikov A.G., Gerashchenko A.P., Selezneva N.V., Baranov N.V. Magnetic State of Layered Cobalt Chalcogenides Co7Se8 and Co7Te8 // JETP Letters 2023. V. 117. P. 54–60.
- Kamimura T. On the Spin Axis Transition in Fe7Se8(3c) // J. Phys. Soc. Japan. 1977. V. 43. P. 1594–1599.
- Li G., Zhang B., Baluyan T., Rao J., Wu J., Novakova A.A., Rudolf P., Blake G.R., Groot R.A.D., Palstra T.T.M. Metal-Insulator Transition Induced by Spin Reorientation in Fe7Se8 Grain Boundaries // Inorganic Chemistry. 2016. V. 55. P. 12912–12922.
- Kamimura T., Iwata T. On the Nature of the Easy-Axis Transition in (Fe1-xCox)7Se8 // J. Phys. Soc. Japan. 1982. V. 51. P. 691–692.
- Геращенко А.П., Верховский С.В., Садыков А.Ф., Смольников А.Г., Пискунов Ю.В., Михалев К.Н. Свидетельство о государственной регистрации программы для ЭВМ #2018663091. Simul 2018. Зарегистрировано в Реестре программ для ЭВМ 22.10.2018 г.
- Абрагам А. Ядерный магнетизм. Пер. с англ. Под ред. Г.В. Скроцкого. М.: Изд. И. Л., 1963. 551 с.
- Винтер Ж. Магнитный резонанс в металлах: Пер. с англ. Под ред. А.П. Степанова. М.: Мир, 1976. 288 с.
- Carter G.C., Bennett L.H., Kahan D.J. Metallic shifts in NMR-review of theory and comprehensive critical data compilation of metallic materials. 1. Review chapters NMR tables, evaluated knight-shifts in metals together with other solid-state and nuclear properties //Progress Mater. Sci. 1977. V. 20. P. 1–378.
- Narath A. Nuclear Spin-Lattice Relaxation in Hexagonal Transition Metals: Titanium // Phys. Rev. 1967. V. 162. P. 320–332.
- Korringa J. Nuclear magnetic relaxation and resonnance line shift in metals // Physica. 1950. V. 16. P. 601–610.
- Obata Y. Nuclear Magnetic Relaxation in Transition Metals // J. the Phys. Soc. Japan. 1963. V. 18. P. 1020–1024.
- Moriya T. Nuclear Magnetic Relaxation in Antiferromagnetics // Progress Theoret. Phys. 1956. V. 16. P. 23–44.
Supplementary files







