Наноструктурированные покрытия 3d-металлов, получаемые методами “зеленой химии”. Анализ неоднородностей статическими и динамическими магнитными методами
- Авторы: Важенина И.Г.1,2, Столяр С.В.2,3, Комогорцев C.В.1,4, Ли О.А.2,3, Исхаков Р.С.1, Великанов Д.А.1, Черемискина Е.В.2, Немцев И.В.1,2,3
-
Учреждения:
- Институт физики им. Л.В. Киренского Сибирского отделения Российской академии наук – обособленное подразделение ФИЦ КНЦ СО РАН
- Сибирский федеральный университет
- Красноярский научный центр Сибирского отделения Российской академии наук
- Сибирский государственный университет науки и технологий им. М.Ф. Решетнева
- Выпуск: Том 125, № 4 (2024)
- Страницы: 403-412
- Раздел: ЭЛЕКТРИЧЕСКИЕ И МАГНИТНЫЕ СВОЙСТВА
- URL: https://medbiosci.ru/0015-3230/article/view/267427
- DOI: https://doi.org/10.31857/S0015323024040046
- EDN: https://elibrary.ru/WRIQNO
- ID: 267427
Цитировать
Полный текст
Аннотация
Исследованы углеродосодержащие покрытия 3d-металлов (Ni, Co, Fe), изготовленные методом химического осаждения с использованием арабиногалактана. Комплексные исследования выполнены с помощью рентгеновской дифракции, ферромагнитного резонанса, магнитометрии М(Н). Измерение М(Н) в плоскости и перпендикулярно плоскости магнитных покрытий позволило определить распределение размагничивающего фактора в изучаемых покрытиях. Полученные распределения размагничивающего фактора использованы для анализа угловых зависимостей поля ферромагнитного резонанса. Оценены значения намагниченности и поля перпендикулярной анизотропии. Демонстрируется влияние текстуры на магнитные параметры.
Полный текст
ВВЕДЕНИЕ
Наряду с применением кристаллических сплавов на основе железа, ведутся интенсивные исследования аморфных и нанокристаллических сплавов [1–5], а также нанокомпозиционных покрытий на основе 3d-металлов [6, 7], которые по совокупности свойств являются более перспективными для защиты от электромагнитного излучения. Несомненным преимуществом композиционных материалов является возможность формировать структуру, способную взаимодействовать как с электрической, так и магнитной компонентной электромагнитного поля.
Выбранные в качестве образцов исследования покрытия на основе Ni, Fe и Co, получаемые методом химического осаждения с использованием полисахаридов [8], являются перспективными благодаря сочетанию высоких магнитных характеристик [9, 10] с простотой и масштабируемостью метода получения. Традиционно в химическом осаждении использовали восстановители, не содержащие углерод. Применение данного восстановителя при получении покрытий химическим осаждением является новым, переводит синтез в область так называемых “зеленых технологий” и требует тщательной характеризации продуктов осаждения.
Покрытия на основе Fe/С, Co/С, Ni/С обычно обладают неоднородным строением (гетерофазность, морфологические особенности включений сплава, характеризующиеся различными размагничивающими факторами). Как следствие, их интегральные магнитные характеристики во многом будут обусловлены типом и распределением неоднородностей. Отметим, что неоднородность магнитного покрытия может быть качественно оценена по ширине линии ферромагнитного резонанса (ФМР). Неоднородное эффективное магнитное поле Heff обусловлено различными вкладами – размагничивающие поля, поле магнитокристаллической анизотропии, поверхностная магнитная анизотропия и т.д. Определение степени влияния каждого вклада позволит управлять неоднородностями на этапе синтеза и, как следствие, прогнозировать свойства покрытий.
Существующие подходы к изучению таких неоднородностей можно разделить на две группы. Первая представлена локальными (сканирующими) техниками [11–13], вторая включает интегральные статические [7, 14–17] и динамические методы оценки. Методы первой группы ограничены пространственным разрешением зонда и характеризацией неоднородности только в плоскости сканирования. Методы второй группы являются косвенными, т.е. существенно определяются совершенством модели, положенной в основу формул, связывающих неоднородность эффективного магнитного поля Heff с измеряемыми характеристиками. Достоверность данных, получаемых в рамках этих подходов, может быть усилена при одновременном использовании различных методов, например, объединяя метод ферромагнитного резонанса (ФМР) и метод магнитометрии (М(Н)), хотя эти методы, как правило, предполагают однородность образца. Развитие такого подхода для изучения неоднородности Heff методами ФМР и М(Н) на примере покрытий Fe/C, Co/C и Ni/C, изготовленных методом химического осаждения в присутствии арабиногалактана является целью данной работы. Предполагаемый комплексный подход позволит уточнить параметры, определяющие спектры ФМР [16, 17] и, как следствие, получить более точное описание угловых зависимостей резонансных полей ФМР.
МАТЕРИАЛЫ И МЕТОДЫ
Ферромагнитные покрытия Fe/C, Ni/C и Co/C толщиной порядка 1–2 мкм на меди были синтезированы методом химического осаждения солей металлов из водного раствора с использованием арабиногалактана в качестве восстановителя. В процессе синтеза поддерживали температуру раствора 85°С, pH на уровне 11 добавлением NH4OH.
Электронно-микроскопическое исследование морфологии неоднородностей и микроструктуры полученных покрытий выполнено на сканирующем электронном микроскопе FE SEM HitachiS-5500 (рис. 1). Значения среднего размера кристаллита D, вычисленные по формуле Шеррера, сведены в табл. 1.
Рис. 1. Данные рентгеновской дифракции покрытий Fe/С (а), Ni/С (б), Co/С (в) и карточки элементов из базы данных ICDD под каждой дифрактограммой. У каждого пика перед символом химического элемента представлена величина межплоскостного расстояния в Å, в скобках указаны индексы Миллера
Таблица 1. Параметры покрытий
Параметры | Fe | Co (ГЦК/ГПУ) | Ni |
Из анализа рентгеновского спектра | |||
Средний размер кристаллита D, нм | 15.4 | 25.6 | 11.0 |
Из анализа кривой намагничивания | |||
Намагниченность насыщения MS, Гс | 1190 | 1050 | 430 |
Поле локальной магнитной анизотропии Ha, кЭ | 2.1 | 5.8 | 2.2 |
Обменное поле HR, кЭ | 3.0 | 6.8 | 1.9 |
Корреляционный радиус Rc, нм | 8.9 | 7.9 | 13.0 |
Из анализа кривых ФМР | |||
Эффективная намагниченность Mэфф, Гс | 1315 | 1270 | 400 |
Поле анизотропии в плоскости, Э | 0 | 280 | 230 |
Поле перпендикулярной анизотропии Han, кЭ | 6.5 | 5.6 | 0.35 |
Ширина линии ΔH, кЭ | 0.37 | 2.1 | 1.1 |
По данным рентгеновской дифракции Fe и Ni в покрытиях обладают ОЦК- и ГЦК-структурой соответственно, Co характеризуется двухфазной ГЦК–ГПУ-структурой. Межплоскостные расстояния, определенные для отдельных отражений, указаны на дифрактограмме каждого покрытия, рис. 1. Углероду соответствует отражение на интервале 25°–30°, остальные отражения были отнесены либо к элементам покрытия (Fe, Co, Ni), либо к Cu подложке. Сопоставление измеренных дифрактограмм покрытий с карточками элементов из базы данных ICDD свидетельствуют об образовании композита металл–углерод.
СЭМ-изображения покрытий (рис. 2) демонстрируют неоднородность структуры, ее зернистость и пористость. Использование природных полисахаридов при производстве металлических покрытий, помимо очевидного следования принципам “зеленой химии” [19], имеет ряд особенностей, среди которых формирующаяся текстура оказывает существенное влияние на магнитные характеристики. Следовательно, используемые экспериментатором методы должны быть способны идентифицировать изменение магнитных параметров на разных масштабах. Указанные морфологические особенности должны проявиться в величине и неоднородности распределения эффективного внутреннего поля (в том числе в величине размагничивающего фактора), что можно оценить статическими методами магнитометрии.
Рис. 2. СЭМ-изображение покрытий Fe/С (а) и Ni–С (б). На вставке СЭМ-изображения Fe/C представлено рентгеновское картирование поверхности
Статические магнитные измерения выполнены на вибрационном магнетометре. Кривые намагничивания покрытий измерены как в параллельном, так и в перпендикулярном направлении относительно плоскости покрытия.
Приближение намагниченности к насыщению описано с помощью формулы, полученной в модели случайной магнитной анизотропии [25]:
, (1)
где MS и Ha – намагниченность насыщения и поле локальной магнитной анизотропии; – обменное поле, связанное с намагниченностью, константой обмена A и корреляционный радиусом локальной оси легкого намагничивания(в нанокристаллических сплавах этот масштаб обычно связывают с размером кристаллита).
Согласно модели Стонера–Вольфарта [20], поле насыщения в направлении, перпендикулярном оси легкого намагничивания, равно полю магнитной анизотропии. Форма петли в данном направлении в рамках модели представляет линейную безгистерезисную зависимость намагниченности в диапазоне от – HS до HS, вне этого интервала образец однородно намагничен до насыщения (M = ± MS) [21]. На экспериментальной петле гистерезиса однородного образца поле насыщения определяется размагничивающим полем HS = N × MS (N – размагничивающий фактор), при котором должен наблюдаться резкий излом. Морфологические особенности материала “размывают” излом на M(H) вблизи HS.
Мы использовали изложенные выше соображения для количественной оценки распределения размагничивающих полей (рис. 5). Описание нисходящей части экспериментальной петли гистерезиса выполнено суммой кривых, характеризующихся специфическими величинами HS:
, (2)
где MS – намагниченность насыщения, HSi – парциальное эффективное размагничивающее поле, fi – соответствующий ему статистический вес.
Динамические измерения выполнены на спектрометре ELEXSYS E580, Bruker, Германия при частоте накачки резонатора f = 9.48 ГГц. Спектры ферромагнитного резонанса измерены при двух вариантах проведения эксперимента – при изменении направления постоянного магнитного поля по углу θH (out-of-plane) и по углу φH (in-plane), геометрия проведения эксперимента представлена на рис. 3.
Рис. 3. Схема, иллюстрирующая геометрию эксперимента
Система уравнений, позволяющая выразить зависимость резонансного поля от угла в сферической системе координат, была получена с учетом уравнения Ландау–Лифшица для движения намагниченности M и минимизацией полной энергии магнитной системы Е [22–24], представленной выражением:
(3)
а также условия равновесия положение вектора намагниченности М, заданного соотношением:
, (4)
где θ и φ – полярный и азимутальный угол М, Kn – константа перпендикулярной одноосной анизотропии; Ku – константа одноосной анизотропии в плоскости. Неоднородное распределение эффективного поля определяет форму кривой СВЧ поглощения и значение резонансного поля при out-of-plane измерениях и было учтено в (3) членом . В случае однородной тонкой пленки c размагничивающим фактором N=4π.
Оборудование для исследования предоставлено Красноярским региональным центром коллективного пользования ФИЦ КНЦ СО РАН.
РЕЗУЛЬТАТЫ И ОБСУЖДЕНИЕ
В наноструктурированных ферромагнитных материалах информацию о неоднородности локальной магнитной анизотропии на масштабах 10–100 нм можно получать, исследуя поведение намагниченности вблизи насыщения [14, 25, 26].
Параметры в выражении (1), соответствующие наилучшему фитингу (рис. 4), приведены в табл. 1. Для оценки Rc использовали значения намагниченности и констант обменного взаимодействия для объемных материалов.
Рис. 4. Приближение намагниченности к насыщению на примере покрытия железа. Черная сплошная линия – фитинг уравнением (1)
Поле Ha, связанное с константой анизотропии как Ha = 2K / MS, в покрытиях железа и никеля выше поля их магнитокристаллической анизотропии. Это связано с существенным магнитоупругим вкладом в анизотропию кристаллитов железа и никеля, в качестве оценки размера которых можно рассматривать величины Rc (табл. 1). В покрытиях кобальта поле анизотропии ниже поля магнитокристаллической анизотропии ГПУ кобальта, но выше таковой для ГЦК Co. Согласно рентгеноструктурным данным, покрытие кобальта двухфазно, поэтому установленная величина Ha является разумной.
Кривые намагничивания в поле, направленном параллельно и перпендикулярно плоскости покрытия (рис. 5), позволили установить величину намагниченности насыщения MS из отношения поля насыщения к 4π, где поле насыщение определяли по пересечению кривых при параллельной и перпендикулярной ориентации. Применяя (2) для описания кривой намагничивания, измеренной при ориентации плоскости покрытия перпендикулярно полю, была выполнена оценка неоднородности эффективного внутреннего поля Heff, результаты которой представлены на рис. 5.
Рис. 5. Кривые намагничивания (а, б, в) в поле направленном параллельно (H||) и перпендикулярно (H⊥) плоскости углеродосодержащих покрытий Fe (a), Co (б) и Ni (в), а также гистограммы распределения эффективного внутреннего поля (г, д, е)
Гистограммы распределения Heff Fe/C покрытия характеризуются единственным максимумом вблизи поля, соотносимого с размагничивающим фактором N = 2π. Данное значение описывает “образец цилиндрической формы”. Распределение Heff для Со/С и Ni/C покрытий имеет иной вид, что является следствием взаимодействия в процессе формирования плотноупакованных кристаллических структур (ГЦК, ГПУ) покрытий и медной фольги с ГЦК-структурой. Общей чертой для них является наличие двух максимумов при N 2π и 4π (размагничивающие факторы цилиндра и пленки, соответственно). Все вклады размагничивающих факторов были усреднены до трех значений 4π/3, 2π и 4π, весовые коэффициенты которых определяли из их частоты появления. Учет только трех вариантов размагничивающих факторов упрощает расчет и характеризуется приемлемой ошибкой при сопоставлении экспериментальных и подгоночных значений.
Измерение угловых зависимостей резонансного поля при варьировании угла φH (рис. 3) было первым этапом динамических измерений. Кривые ФМР-покрытий на основе сплавов Fe/С и Co/С, как и спектры Ni/С покрытий в работе [18], были описаны нами с использованием одного Лоренциана (рис. 6). Угловые зависимости резонансного поля, измеренного при различных углах φH, демонстрируют, что Fe/C покрытие является изотропным. В то же время Co/C и Ni/C покрытия обладают двухосной анизотропией, что может объясняться влиянием текстуры медной подложки на формирование ГЦК-фазы сплавов.
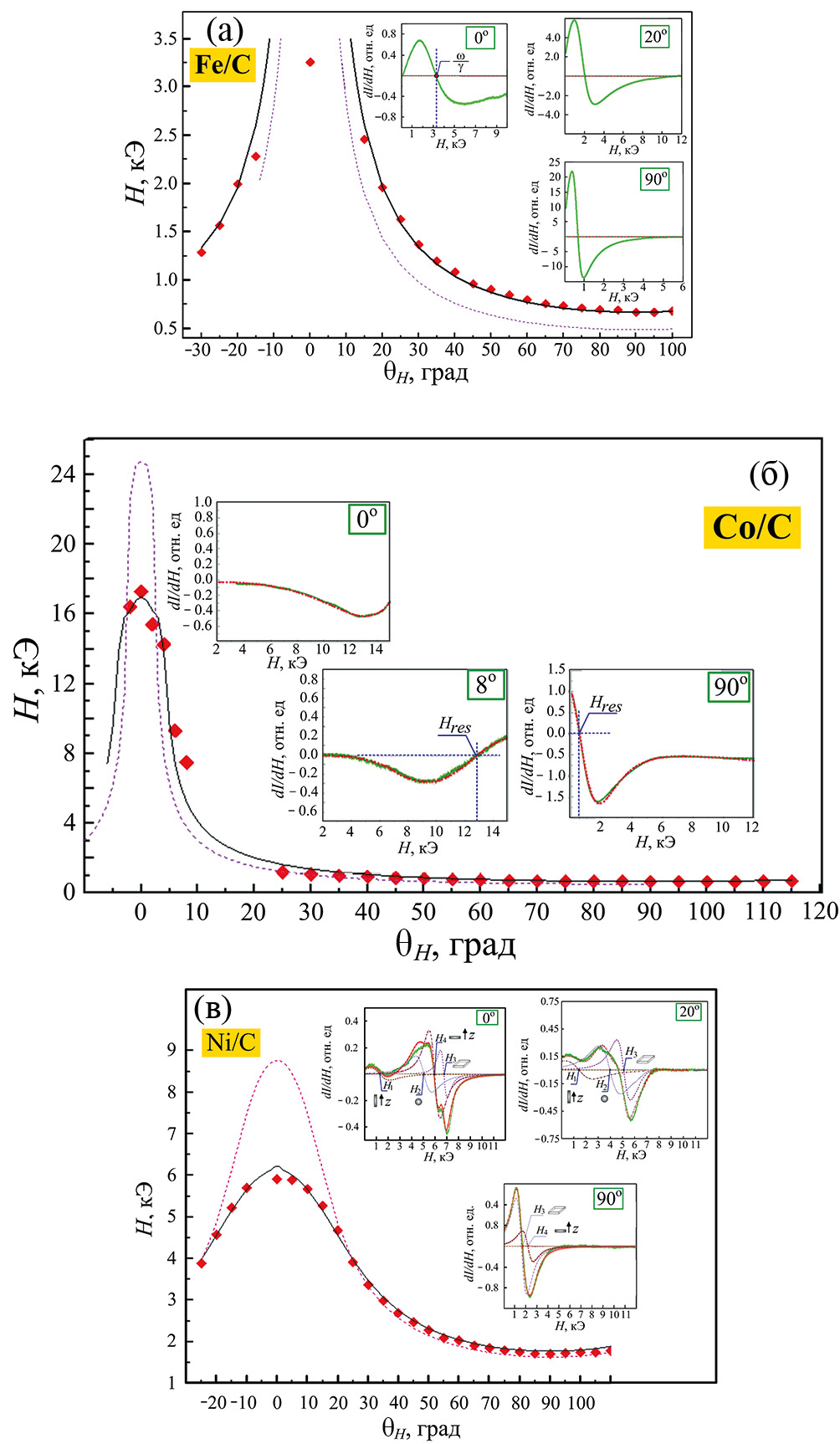
Рис. 6. Угловые зависимости резонансных полей покрытий на основе сплавов Fe/С (а, г), Co/С (б, д) и Ni/С (в, е) и примеры спектров при φH = 0°
Угловые зависимости резонансного поля при варьировании угла θH (out-of-plane измерения) были выполнены на втором этапе измерений методом ФМР. Полученные в ходе эксперимента резонансные поля (рис. 7) были сопоставлены рассчитанным по (3)–(4) значениям. При расчете были учтены экспериментальные значения поля анизотропии в плоскости Hu = 2Ku / MS (табл. 1) и распределения внутренних (размагничивающих) полей HSi, определенных из статических измерений.
Рис. 7. Угловые зависимости резонансного поля покрытий Fe/C (а), Co/C (б) и Ni/C (в). Ромбами отмечены экспериментальные значения, сплошной линией – подгоночная кривая, рассчитанная при учете неоднородного внутреннего поля, пунктирная линия демонстрирует подгоночную кривую в случае однородной тонкой пленки. На вставках продемонстрированы экспериментальные кривые ФМР при некоторых углах между нормалью (ось z) и направлением внешнего поля, а также кривые, используемые при разложении экспериментального спектра
Варьируемыми параметрами при подгонке результатов численного решения системы и экспериментальных данных являются эффективная намагниченность Meff и поле перпендикулярной анизотропии Han = 2Kn / MS. Решение системы уравнений относительно Meff и Han позволяет разделить эти вклады и определить их численные значения в рамках одного эксперимента без необходимости создания серии образцов, как это делается при статических измерениях [27]. Аппроксимация расчетной кривой проведена по методу наименьших квадратов. Подгоночные параметры приведены в табл. 1.
Отдельные составляющие эффективного поля (рис. 5) могут быть сопоставлены трем формам с соответствующими им размагничивающими факторами: сфера с размагничивающим фактором 4π/3, цилиндр (2π) и пленка (4π). Экспериментальные кривые ФМР (вставки на рис. 7) с высокой степенью точности описываются несколькими функциями Лоренца. При этом вклад отдельных составляющих на разных углах внешнего поля различен и определяется материалом покрытия. При параллельной геометрии (θH = 90°) для покрытия Fe, вклад от сферической компоненты с размагничивающим фактором 4π/3 и резонансным полем ω/γ не существенен на фоне компоненты, которая в большей мере определена размагничивающим фактором 2π. Резонансные поля компонент с размагничивающими факторами 4π/3 и 2π при перпендикулярной ориентации покрытия Fe во внешнем поле (θH = 0°) значительно разнесены друг относительно друга, и на экспериментальной кривой ФМР фиксируется отдельный пик с резонансным полем ω/γ. Неоднородность морфологии покрытия отражается и на величине ширины линии ΔH отдельных компонент, выделяемых в резонансной кривой. Отметим, что оценку параметра релаксации следует проводить при крайних значениях интервала углов [28, 29]. Значения ΔH для покрытия Fe/C варьируются от 3500 Э (для пика, которому можно сопоставить размагничивающий фактор 4π/3) до 370 Э (для пика, которому можно сопоставить размагничивающий фактор 2π) (вставка рис. 7а). Согласно статическим измерениям (рис. 5), размагничивающие факторы покрытия Со распределены наиболее равномерно по всем компонентам (4π/3, 2π и 4π), что отражается при динамических измерениях в виде весьма широкой резонансной кривой (2100 Э). Кривые ФМР покрытия Ni во всем интервале углов могут быть описаны вкладами с разными размагничивающими факторами, но при этом имеющими сопоставимые амплитуды (вставка рис. 7в) и умеренные значения ширины линии (1100 Э). Отметим, что параметры, определенные из угловой зависимости резонансного поля, характеризуют материал на микромасштабе.
Значения намагниченности, полученные из статических и динамических измерений, отличаются от литературных [30]. Причиной этого различия может являться наличие в покрытии неферромагнитных включений [9]. Согласно данным мессбауэровской спектроскопии [9], около 20% покрытия Fe/Cu находится в парамагнитном или суперпарамагнитном состоянии, остальная часть характеризуется параметрами ОЦК-фазы Fe.
ЗАКЛЮЧЕНИЕ
Углеродосодержащие покрытия металлов Fe, Ni и Co были получены методом химического осаждения с применением нового восстановителя и стабилизатора – арабиногалактана. Рентгеноструктурный анализ показал, что решетка полученных металлических покрытий не содержит значимого количества углерода.
Микроструктура покрытий на медной основе весьма неоднородна, что отражается в статических и динамических магнитных свойствах. Из исследования кривых намагничивания получена количественная информация об эффективной намагниченности, которая несколько ниже намагниченности чистых Fe, Co и Ni, что связано со структурными неоднородностями покрытий.
Анализ формы кривой намагниченности дает количественную информацию о неоднородности размагничивающих полей, связанных с неоднородностями микроструктуры. Учет этой информации позволил добиться достоверного описания угловых зависимостей поля ферромагнитного резонанса и точнее определить намагниченность и поле анизотропии покрытий. Отклонение экспериментальных значений от расчетных не превышает 8%. Установлено, что покрытия Fe и Co характеризуются высокими полями перпендикулярной магнитной анизотропии (6.5 и 5.6 кЭ), что связано со столбчатой текстурой роста. В покрытиях Ni, где такая текстура не наблюдается, перпендикулярная магнитная анизотропия существенно меньше (0.35 кЭ)
Авторы выражают благодарность Красноярскому региональному центру коллективного пользования Федеральному исследовательскому центру “Красноярский научный центр Сибирского отделения Российской академии наук” за предоставленное оборудование для проведения измерений.
Работа выполнена в рамках научной тематики Госзадания ФИЦ КНЦ СО РАН.
Авторы данной работы заявляют, что у них нет конфликта интересов.
Об авторах
И. Г. Важенина
Институт физики им. Л.В. Киренского Сибирского отделения Российской академии наук – обособленное подразделение ФИЦ КНЦ СО РАН; Сибирский федеральный университет
Автор, ответственный за переписку.
Email: irina-vazhenina@mail.ru
Россия, Красноярск; Красноярск
С. В. Столяр
Сибирский федеральный университет; Красноярский научный центр Сибирского отделения Российской академии наук
Email: irina-vazhenina@mail.ru
Россия, Красноярск; Красноярск
C. В. Комогорцев
Институт физики им. Л.В. Киренского Сибирского отделения Российской академии наук – обособленное подразделение ФИЦ КНЦ СО РАН; Сибирский государственный университет науки и технологий им. М.Ф. Решетнева
Email: irina-vazhenina@mail.ru
Россия, Красноярск; Красноярск
О. А. Ли
Сибирский федеральный университет; Красноярский научный центр Сибирского отделения Российской академии наук
Email: irina-vazhenina@mail.ru
Россия, Красноярск; Красноярск
Р. С. Исхаков
Институт физики им. Л.В. Киренского Сибирского отделения Российской академии наук – обособленное подразделение ФИЦ КНЦ СО РАН
Email: irina-vazhenina@mail.ru
Россия, Красноярск
Д. А. Великанов
Институт физики им. Л.В. Киренского Сибирского отделения Российской академии наук – обособленное подразделение ФИЦ КНЦ СО РАН
Email: irina-vazhenina@mail.ru
Россия, Красноярск
Е. В. Черемискина
Сибирский федеральный университет
Email: irina-vazhenina@mail.ru
Россия, Красноярск
И. В. Немцев
Институт физики им. Л.В. Киренского Сибирского отделения Российской академии наук – обособленное подразделение ФИЦ КНЦ СО РАН; Сибирский федеральный университет; Красноярский научный центр Сибирского отделения Российской академии наук
Email: irina-vazhenina@mail.ru
Россия, Красноярск; Красноярск; Красноярск
Список литературы
- Petzold J. Advantages of softmagnetic nanocrystalline materials for modern electronic applications // J. Magn. Magn. Mater. 2002. V. 242–245. P. 84–89. https://doi.org/10.1016/S0304-8853(01)01206-9
- Swati, Saini M., Anupama, Shukla R. Investigation of structural, thermal, and electrical properties of magnesium substituted cobalt ferrite reinforced polyaniline nanocomposites // Ceram. Int. 2021.V. 47. P. 33835–33842. https://doi.org/10.1016 /j.ceramint.2021.08.295
- Wang Y., Zhang P., Liu Z., Li K., Xian C., Yang W., Luo Z., Liu S., Han J., Du H., Wang C., Yang J. The microwave absorption properties of soft magnetic materials in frequency up to 40 GHz // AIP Adv. 2023. V. 13. P. 025240. https://doi.org/ 10.1063/9.0000467
- Zeng S., Han S., Sun X., Wang L., Gao Y., Chen Z., Feng H. Co3O4 Nanoparticle-Modified Porous Carbons with High Microwave Absorption Performances // Nanomaterials. 2023. V. 13. P. 1073. https://doi.org/10.3390/nano13061073
- Qian C., Liang X., Wu M., Zhang X. Lightweight Chain-Typed Magnetic Fe3O4@rGO Composites with Enhanced Microwave-Absorption Properties // Nanomaterials. 2022. V. 12. P. 3699. https:// doi.org/10.3390/nano12203699
- Cheng Y., Ji G., Li Z., Lv H., Liu W., Zhao Y., Cao J., Du Y. Facile synthesis of FeCo alloys with excellent microwave absorption in the whole Ku-band: Effect of Fe/Co atomic ratio // J. Alloys Compd.2017. V. 704. P. 289–295. https:// doi.org/10.1016/j.jallcom.2017.02.024
- Денисова Е.А., Комогорцев C.В., Чеканова Л.А., Незнахин Д.С., Исхаков Р.С., Немцев И.В. Локальная магнитная анизотропия в наноструктурированных покрытиях FeCo–C, синтезированных методами зеленой химии // ФТТ. 2022. T. 64. C. 1196–1200.
- Чеканова Л.А., Денисова Е.А., Исхаков Р.С., Столяр С.В., Черемискина Е.В., Ярославцев Р.Н. Способ получения металлических магнитных покрытий / RU 2710611 C1, 2019.
- Stolyar S.V., Yaroslavtsev R.N., Chekanova L.A., Rautskii M.V., Bayukov O.A., Cheremiskina E.V., Nemtsev I.V., Volochaev M.N., Iskhakov R.S. Ferromagnetic resonance in iron tubes deposited on a copper grid //JMMM. 2020. V. 511. P. 166979. https://doi.org/10.1016/j.jmmm.2020.166979
- Kuzmenko A.P., Kozhitov L., Muratov D., Rodionov V., Popkova A., Yakushko E., Dobromyslov M.B. Influence of structural features and physico-chemical properties of metal-carbon nanocomposites with ferromagnetic metal inclusions on microwave radiation // J. Nano- Electron. Phys. 2014. V. 6. P. 03024–1.
- Belyaev B.A., Izotov A.V., Leksikov A.A. Magnetic imaging in thin magnetic films by local spectrometer of ferromagnetic resonance // IEEE Sens. J. 2005. V. 5. P. 260–267. https://doi.org/ 10.1109/JSEN.2004.842293
- Zhang Z., Hammel P.C., Wigen P.E. Observation of ferromagnetic resonance in a microscopic sample using magnetic resonance force microscopy // Appl. Phys. Lett. 1996. V. 68. P. 2005–2007. https://doi.org/10.1063/1.115619
- Rugar D., Budakian R., Mamin H.J., Chui B.W. Single spin detection by magnetic resonance force microscopy // Nature. 2004. V. 430. P. 329–332. https://doi.org/10.1038/nature02658
- Ilin N.V., Komogortsev S.V., Kraynova G.S., Davydenko A.V., Tkachenko I.A., Kozlov A.G., Tkachev V.V., Plotnikov V.S. Magnetic correlations peculiarities in amorphous Fe–Cu–Nb–Si–B alloy ribbons // J. Magn. Magn. Mater. 2022. V. 541. P. 168525. https://doi.org/10.1016/j.jmmm.2021.168525
- Комогорцев С.В., Семенов С.В., Варнаков С.Н., Балаев Д.А. Особенности фазового состава и структуры доэвтектоидной стали, проявляющиеся в поведении намагниченности вблизи магнитного насыщения// ФТТ. 2022. T. 64. C. 25–32. https://doi.org/10.21883/FTT.2022.01.51827.192
- Denisova E.A., Komogortsev S.V., Iskhakov R.S., Chekanova L.A., Balaev A.D., Kalinin Y.E., Sitnikov A.V. Magnetic anisotropy in multilayer nanogranular films (Co40Fe40B20)50(SiO2)50/α-Si:H // J. Magn. Magn. Mater. 2017.V. 440. P. 221–224. https://doi.org/10.1016/j.jmmm.2016.12.052
- Komogortsev S.V., Denisova E.A., Iskhakov R.S., Balaev A.D., Chekanova L.A., Kalinin Y.E., Sitnikov A.V. Multilayer nanogranular films (Co40Fe40B20)50(SiO2)50 / α-Si:H and (Co40 Fe40B20)50(SiO2)50 /SiO2: Magnetic properties // J. Appl. Phys. 2013. V. 113. P. 17C105. https://doi.org/10.1063/1.4794361
- Stolyar S., Vazhenina I., Yaroslavtsev R., Chekanova L., Cheremiskina E., Mikhlin Y. Magnetic Composite Coatings FeC and NiC Synthesized With Arabinogalactan // IEEE Magn. Lett. 2022. V. 13. P. 1–5. https://doi.org/ 10.1109/LMAG.2022.3164631
- Anastas P.T., Warner J.C. Green Chemistry: Theory and Practice. Oxford University Press, 1998. 135 c.
- Stoner E.C., Wohlfrath E.P. A mechanism of magnetic hysteresis in heterogeneous alloys // Philos. Trans. R. Soc. London. Ser. A, Math. Phys. Sci. 1948. V. 240. P. 599–642. https://doi.org/ 10.1098/rsta.1948.0007
- Komogortsev S.V., Vazhenina I.G., Kleshnina S.A., Iskhakov R.S., Lepalovskij V.N., Pasynkova A.A., Svalov A.V. Advanced Characterization of FeNi-Based Films for the Development of Magnetic Field Sensors with Tailored Functional Parameters // Sensors. 2022. V. 22. P. 3324. https://doi.org/ 10.3390/s22093324
- Suhl H. Ferromagnetic Resonance in Nickel Ferrite Between One and Two Kilomegacycles // Phys. Rev. 1955. V. 97. P. 555–557. https://doi.org/ 10.1103/PhysRev.97.555.2
- Smit J., Beljers H.G. Ferromagnetic resonance absorption in BaFe12O12, a highly anisotropic crystal // Philips Res. Repts. 1955. V. 10. P. 113–130.
- Artman J.O. Ferromagnetic Resonance in Metal Single Crystals // Phys. Rev. 1957. V. 105. P. 74–84. https://doi.org/10.1103/PhysRev.105.74
- Iskhakov R.S., Komogortsev S.V. Magnetic microstructure of amorphous, nanocrystalline, and nanophase ferromagnets // Phys. Met. Metallogr. 2011. V. 112. P. 666–681. https://doi.org/10.1134/ S0031918X11070064
- Komogortsev S.V., Iskhakov R.S. Law of approach to magnetic saturation in nanocrystalline and amorphous ferromagnets with improved transition behavior between power-law regimes // J. Magn. Magn. Mater. 2017. V. 440. P. 213–216. https://doi.org/10.1016/j.jmmm.2016.12.145
- Davydenko A.V., Kozlov A.G., Ognev A.V., Stebliy M.E., Samardak A.S., Ermakov K.S., Kolesnikov A.G., Chebotkevich L.A. Origin of perpendicular magnetic anisotropy in epitaxial Pd/Co/Pd(111) trilayers // Phys. Rev. B. 2017. V. 95. P. 064430. https://doi.org/10.1103/PhysRevB.95.064430
- Tannenwald P.E., Seavey M.Н. Ferromagnetic Resonance in Thin Films of Permalloy // Phys. Rev. 1957. V. 105. P. 377–378. https://doi.org/10.1103/ PhysRev.105.377
- Zakeri K., Lindner J., Barsukov I., Meckenstock R. Farle M., von Hörsten U., Wende H., Keune W., Rocker J., Kalarickal S.S., Lenz K., Kuch W., Baberschke K., Frait Z. Spin dynamics in ferromagnets: Gilbert damping and two-magnon scattering // Phys. Rev. B. 2007. V. 76. P. 104416. https://doi.org/10.1103/PhysRevB.76.104416
- Бозорт Р. Ферромагнетизм. М.: ИЛ, 1956. 784 c.
Дополнительные файлы









