Структура и магнитные свойства наночастиц оксида железа, подвергнутых механическим воздействиям
- Авторы: Курляндская Г.В.1, Бурбан Е.А.1, Незнахин Д.С.1, Юшков А.А.1, Larrañaga A.2, Мельников Г.Ю.1, Свалов А.В.1
-
Учреждения:
- Уральский федеральный университет
- Universidad del País Vasco UPV/EHU
- Выпуск: Том 125, № 4 (2024)
- Страницы: 430-437
- Раздел: ЭЛЕКТРИЧЕСКИЕ И МАГНИТНЫЕ СВОЙСТВА
- URL: https://medbiosci.ru/0015-3230/article/view/267546
- DOI: https://doi.org/10.31857/S0015323024040079
- EDN: https://elibrary.ru/WQSDVL
- ID: 267546
Цитировать
Полный текст
Аннотация
Методом электрического взрыва проволоки (ЭВП) получена большая партия наночастиц оксидов железа. С фокусом на дальнейшие биоприложения исследована структура и магнитные свойства наночастиц как в исходном состоянии, так и после механического размола в шаровой мельнице на протяжении различного времени. Установлено, что фазовый состав (70% Fe3O4 и 30% Fe2O3) не менялся в результате механических воздействий при сохранении среднего размера наночастиц. Наблюдение перехода Вервея в исследуемых наночастицах совместно со структурными данными позволяет добиться лучшего понимания физических свойств ЭВП ансамблей наночастиц в различных состояниях. Анализ структуры и магнитных свойств указывает на создание материала с высоким уровнем внутренних напряжений, который может быть интересен для биоприложений.
Полный текст
ВВЕДЕНИЕ
За последние несколько десятилетий был достигнут заметный прогресс в разработке методов синтеза магнитных наночастиц (МНЧ). Тем не менее магнитные наночастицы продолжают привлекать к себе особое внимание как с точки зрения исследования физических явлений на “нано” уровне, так и с точки зрения практических приложений, включающих и биомедицинские направления [1–4]. В отличие от небольших молекул, имеющих одинаковое строение и одинаковые свойства, определяемые их химическими формулами, МНЧ существенно отличаются друг от друга, даже в случае набора МНЧ одной партии. Одной из задач, сформулированных требованиями биоприложений является получение больших партий МНЧ [5, 6]. В этой связи следует упомянуть, что электрофизические методы электрического взрыва проволоки (ЭВП) и лазерного испарения мишени обеспечивают получение больших партий (более 100 г) МНЧ [7–9]. Упомянутые высокопроизводительные методы синтеза позволяют получать не агломерированные сферические частицы и сепарировать их с учетом среднего размера еще в процессе синтеза [10]. Большая часть ЭВП МНЧ оказываются монокристаллическими. Однако сепарирование фракций приводит к уменьшению размера партии. Кроме того, высокое совершенство монокристаллической структуры каждой наночастицы может играть отрицательную роль в процессе функционализации МНЧ для решения биомедицинских задач. В биоприложениях чаще всего используются оксиды железа: магнетит (Fe3O4) и маггемит (γ-Fe2O3) [1, 2, 10]. Существует значительный опыт модификации магнитных макро- и микрочастиц посредством механической обработки в шаровых мельницах [11, 12]. Такое воздействие может приводить к изменению среднего размера частиц и их распределения по размерам, а также к возникновению новых фаз за счет механического сплавления [11–13]. Однако вопрос об особенностях механической обработки в шаровых мельницах ЭВП МНЧ оксидов железа в литературе не обсуждали. При этом помимо задач прикладного значения, например, уменьшения среднего размера частиц ЭВП МНЧ оксидов железа, в решении данной проблемы есть и интересные научные аспекты. Один из них – особенности деформации магнитных частиц наноразмерного интервала. Другой интересный аспект – возможность получения партий с более однородным фазовым составом. Кроме того, в крупных монокристаллических МНЧ магнетита с малодефекной структурой можно наблюдать низкотемпературный фазовый переход Вервея [14]. В массивных образцах магнетита переход Вервея, т.е. переход металл-диэлектрик, сопровождающийся изменением электрического сопротивления примерно на два порядка, наблюдается при температуре около 120 К [13]. Вблизи температуры Вервея происходит трансформация кубической структуры в моноклинную [15]. Кроме того, структурный переход Вервея сопровождается изменением поведения спонтанной намагниченности, и некоторые его особенности можно исследовать магнитными методами.
В настоящей работе представлены результаты экспериментальных исследований структуры и магнитных свойств партии магнитных наночастиц оксидов железа, полученных методом ЭВП, как в исходном состоянии, так и после механического размола в шаровой мельнице на протяжении различного времени. Для сравнения ряд исследований был также проведен с микрочастицами коммерческого магнетита.
МЕТОДЫ И ОБРАЗЦЫ
Партия наночастиц оксида железа была получена методом электрического взрыва проволоки в Институте электрофизики УрО РАН по стандартному протоколу [16]. Структура исследована с помощью рентгенофазового анализа (РФА, BrukerD8 Discover) с использованием медного излучения (длина волны λ = 1.5406 Å) при комнатной температуре, методами растровой (РЭМ, JEOL JSM-64) и просвечивающей электронной микроскопии (ПЭМ, JEOL JEM2100). Фазовый состав коммерческих микрочастиц (фазы Fe3O4 – 94 мас. %, γ-Fe2O3 – 1 мас.% и FeO(OH) – 5 мас.%) Alfa Aesar (Ward Hill), обозначенных в данном исследовании как АА, был исследован ранее в работе [16].
Распределение МНЧ по размерам получено на основе выборки размеров N0 частиц из фотографий РЭМ или ТЭМ. Средний диаметр частиц рассчитывали с использованием количественного распределения N/N0 = N/N(d)·100%, где d – размер частиц, N(d) – количество частиц с размером d. Так определяли среднечисленный диаметр dn (СЭМ). Средневзвешенный размер dw (СЭМ) оценивали по формуле dw =ΣNid4i )/(ΣNid3i ), где Ni – количество частиц с определенным диаметром di. Удельная поверхность определена методом низкотемпературной адсорбции азота Брунауэра−Эммита−Теллера (БЭТ, Micromeritics TriStar 3000). Средневзвешенный диаметр частиц (dw) (БЭТ) оценивали по формуле dw = 6/(ρ·Ssp), где ρ – плотность материала и Ssp – величина удельной поверхности для ансамбля МНЧ.
Часть партии (около 33%) ЭВП МНЧ использовали для аттестации исходного состояния. Данным образцам присвоили нумерацию h0. Вторую и третью части партий подвергли механическому воздействию в шаровой мельнице в жидкой среде (этиловом спирте) в течение 1 часа (образцы h1) или 7 часов (образцы h7). Размер партии для проведения обработки в шаровой мельнице составлял около 12 г, жидкая среда полностью закрывала шары из закаленной стали, использованные для обработки. Соотношение массы шаров к массе порошка составляло 66:1. После проведения обработки образцы высушивали и хранили в закрытых емкостях. Магнитные свойства измеряли с помощью СКВИД магнитометра MPMSXL7, как и стандартные термомагнитные кривые типа ZFC−FC [10] для набора полей в 100, 500 и 1000 Эрстед. Образцы жестко закрепляли в полимерной капсуле, средний размер образца для магнитных измерений составлял 8–10 мг. Измерения петель магнитного гистерезиса проводили в магнитных полях (Н) до 70 кЭ. Под величиной намагниченности насыщения Ms понимали величину намагниченности М в магнитном поле 70 кЭ: Ms=M(H= 70 кЭ). Для обозначения других магнитных характеристик использовали обозначения: Нс – коэрцитивная сила и Мr – остаточная намагниченность.
РЕЗУЛЬТАТЫ И ОБСУЖДЕНИЕ
Примеры изображений, полученных методами электронной микроскопии, представлены на рис. 1. Хорошо видно, что ЭВП МНЧ – это наночастицы с высокой степенью сферичности с очень малым количеством агрегатов. Методы РЭМ и ПЭМ хорошо дополняют друг друга, так как в первом случае часто теряется информация о наночастицах очень малых размеров, а во втором – о самых крупных. Сравнение геометрических особенностей ЭВП и АА в исходном состоянии показывает, что АА частицы обладают меньшей степенью сферичности, в их случае в партии встречаются агрегаты, и средний размер частиц АА оказывается заметно больше и может быть определен только с большей погрешностью. Распределения частиц всех типов по размерам аппроксимируются функциями логнормального распределения. Анализ данных микроскопии позволил оценить средние размеры исследованных образцов и сравнить полученные размеры с данными РФА и БЭТ анализа (табл. 1).
Рис. 1. Изображения ЭВП МНЧ исследуемой партии: РЭМ – (а) и ТЭМ – (б); РЭМ – (в) изображение коммерческих микрочастиц Alfa Aesar, исследованных для сравнения с ЭВП МНП
Таблица 1. Некоторые результаты РФА и БЕТ
Образец | Фаза | dср, нм | Содержание, % | dn, нм | dω, нм | dБЭТ, нм |
h0 | Fe3O4 | 70 | 70 | 14 | 70 | 26 |
γ-Fe2O3 | 140 | 30 | ||||
h1 | Fe3O4 | 60 | 70 | 15 | 74 | 25 |
γ-Fe2O3 | 170 | 30 | ||||
h7 | Fe3O4 | 70 | 70 | 14 | 70 | 26 |
γ-Fe2O3 | 100 | 30 | ||||
AA | Fe3O4 | 240 | 94 | 170 | 210 | 167 |
Отдельно отметим, что техника БЭТ особенно чувствительна к наличию малых частиц, трудно идентифицируемых микроскопическими методами. Средневзвешенный размер коммерческих частиц AА, рассчитанный с использованием данных РЭМ, составил примерно 210 нм и был достаточно близок к средне численному (равному 170 нм). На рис. 2 представлены некоторые результаты РФА ЭВП МНЧ оксидов железа. Фазовый состав ЭВП МНЧ всех типов примерно одинаков: Fe3O4 составляет около 70%, а Fe2O3 – около 30%. В случаях h1 и h7 было обнаружено очень небольшое количество примесей (не более 1%) оксида железа FeO и α-Fe для h1 и FeO для h7. Наличие чистого альфа-железа в ЭВП МНЧ ранее наблюдали в случае крупных наночастиц оксида железа [8], на деле представляющих собой композиционные частицы типа “ядро-оболочка” с ядром α-Fe и оксидной оболочкой.
Рис. 2. РФА ЭВП наночастиц оксидов железа. а – h0, исходное состояние; пики магнетита Fe3O4 и маггемита Fe2O3 отмечены вертикальными синими и зелеными линиями; б – h1, состояние после 1 часа механической обработки; пики Fe3O4, γ-Fe2O3, FeO и Fe отмечены вертикальными синими, зелеными, красными и лиловыми линиями соответственно; в – h7 состояние после 7 ч обработки; пики Fe3O4, γ-Fe2O3 и FeO отмечены вертикальными синими, зелеными, лиловыми линиями b черными линиями; г – РФА-данные для МНЧ h0, h1и h7 в интервале углов вблизи самого интенсивного пика (311), часть 2θ ≈ 35.45° показана пунктирным овалом. На вставке – пример подгонки самых интенсивных пиков для ЭВП МНЧ h0, позволяющих определить средний размер области когерентного рассеяния для Fe3O4 и γ-Fe2O3 фаз
Строго говоря, количество примесных фаз FeO и Fe так мало, что их наличием можно просто пренебречь. Процесс электрического взрыва проволоки железа позволяет синтезировать наночастицы оксида железа при условии добавления в атмосферу синтеза определенного количества кислорода. Вероятнее всего, фазы FeO и Fe появляются в образцах из-за некоторого дефицита кислорода и конечной скорости охлаждения и конденсации испаренных продуктов взрыва, особенно, когда речь идет о крупных наночастицах.
Следует отметить, что в границах экспериментальной погрешности РФА не позволяет достоверно оценить изменения состава, вызванные обработками в шаровых мельницах: во всех случаях наблюдается примерно одинаковое соотношение фаз Fe3O4 и γ-Fe2O3. Практически не меняются и средние размеры МНЧ, определенные различными способами (табл. 1). РФА указывает только на очень незначительное изменение спектров для МНЧ h0, h1и h7 в интервале углов вблизи самого интенсивного пика (311) при 2θ ≈ 35.45°, а именно небольшое уширение части пика вблизи базовой линии с увеличением времени механической обработки.
Такое поведение можно связать с небольшим увеличением содержания очень мелкой фазы оксидов железа, скорее всего аморфной. Можно предположить, что деформация композиционных наночастиц типа “ядро-оболочка” может идти иначе, по сравнению с деформацией наночастиц магнетита или маггемита без центрального ядра другого состава. Небольшое количество очень мелких частиц может идентифицироваться как аморфная фаза, поскольку они представляют собой несовершенные по структуре измельченные верхние части оболочек крупных частиц типа “ядро-оболочка”. Таким образом, форма, размеры и фазовый состав ЭВП МНЧ исследуемой партии не претерпевают заметных структурных изменений в процессе размола в шаровой мельнице в рассматриваемых условиях.
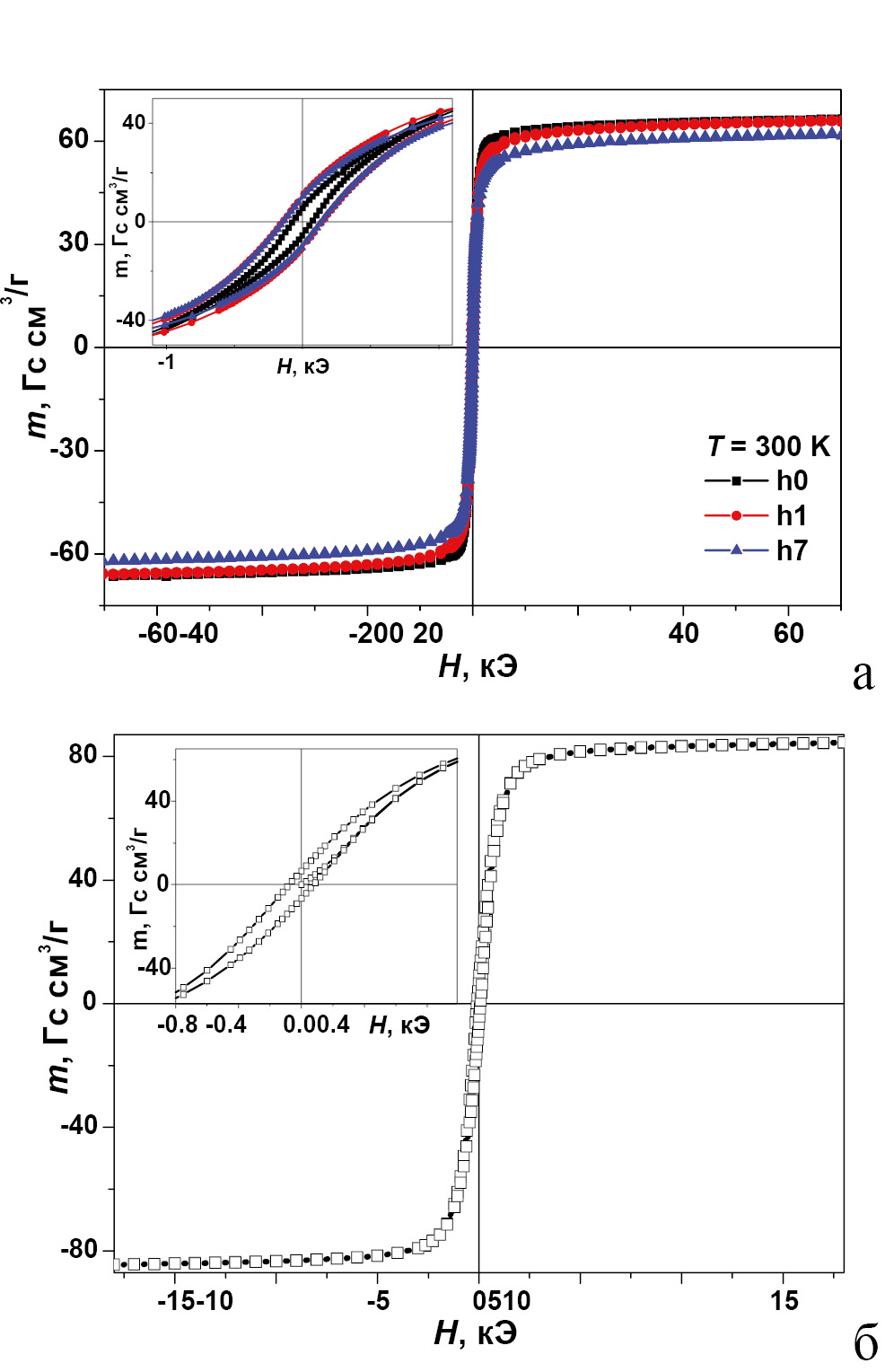
Петли магнитного гистерезиса исследованных образцов, измеренные при комнатной температуре, приведены на рис. 3. Основные магнитные характеристики образцов собраны в табл. 2.
Рис. 3. Петли магнитного гистерезиса образцов h0, h1, h7 (а), коммерческого образца АА (б). На вставках – более подробно в области малых магнитных полей
Таблица 2. Основные магнитные характеристики исследованных образцов нано- и микрочастиц оксидов железа
Образец | Ms, Гс см/г | Mr, Гс см/г | Hc, Э |
h0 | 66 | 6 | 66 |
h1 | 66 | 11 | 143 |
h7 | 63 | 10 | 149 |
AA | 83 | 10 | 10 |
Видно, что намагниченность насыщения ЭВП МНЧ меняется очень слабо: с увеличением времени механической обработки Ms уменьшается, но незначительно (с 66 до 63 emu/g). Поскольку величина остаточной намагниченности Mr невелика, то в пределах погрешности измерений ее можно считать неизменной и близкой к величине Mr коммерческого магнетита. Однако коэрцитивная сила ЭВП МНЧ ведет себя иначе, при увеличении времени механической обработки ее величина увеличивается более, чем вдвое уже при времени обработки в 1 час. Как известно [2], в случае достаточно малых частиц магнетита их размер может определять форму петли гистерезиса. Так для однодоменных частиц (меньшего размера) Нс, оказывается выше, чем для многодоменных (большего размера). Этот подход подтверждается при сравнении ЭВП МНЧ и коммерческих АА частиц. Последние имеют больший средний размер и меньшую Нс.
В то же самое время коэрцитивная сила ЭВП МНЧ увеличивается с увеличением времени обработки при сохранении средних размеров МНЧ. Последнее следует из приведенных выше данных структурных исследований. Помимо изменения среднего размера при определенных условиях и для определенных материалов, размол в шаровых мельницах может приводить к увеличению степени дефектности каждой монокристаллической частицы и уровня внутренних напряжений. Именно последняя особенность может быть ответственна за увеличение коэрцитивности с ростом времени размола в шаровых мельницах. Прямым подтверждением данного предположения могли бы быть измерения кривых Вильямса–Холла, основанных на оценке обратной интегральной ширины дифракционного пика в зависимости от соответствующего обратного межплоскостного расстояния [11, 17].
Однако выбор ансамбля не сепарированных ЭВП МНЧ делает использование данного метода малоэффективным. В сложившейся ситуации более эффективен анализ термомагнитны кривые (рис. 4–6), на которых в случае магнетита наблюдается особый участок, соответствующий переходу Вервея.
Рис. 4. Термомагнитные кривые ZFC–FC для ЭВП МНЧ в исходном состоянии, измеренные при разных величинах внешнего магнитного поля (а, б). Стрелками показана область перехода Вервея (б). Для сравнения приведена кривая ZFC–FC при Н = 100 Э для образца АА коммерческого магнетита; стрелкой показана область перехода Вервея (в)
Рис. 5. Термомагнитные кривые ZFC–FC для ЭВП МНЧ h1, измеренные при разных величинах внешнего магнитного поля (а, б). Стрелками показана область перехода Вервея (б). Серые штриховые линии обозначают точку наибольшего наклона на кривой ZFC
Рис. 6. Термомагнитные кривые ZFC–FC для ЭВП МНЧ h7, измеренные при разных величинах внешнего магнитного поля (а). Те же кривые показаны в узком интервале температур, где ранее (рис. 4, 5) наблюдали переход Вервея (б)
При увеличении магнитного поля при измерениях кривых ZFC–FC удельный магнитный момент образца также увеличивается. При анализе всех кривых, построенных в одном масштабе, области перехода Вервея хорошо видны для полей в 500 и 1000 Э (рис. 4а), но при перестроении в другом масштабе (рис. 4б) не вызывает сомнений, что даже в поле 100 Э переход Вервея отчетливо наблюдается примерно при той же температуре (~97 К), что и при 500 и 1000 Э. Отметим, что в случае магнетита АА с более крупным размером частиц (рис. 4б) переход Вервея наблюдается при несколько более высокой температуре около 100 К, и сам переход размыт вследствие высокой дефектности АА микрочастиц и вариабельности их размеров.
Механическая обработка в шаровой мельнице приводит к размытию области перехода (h1, рис. 5) и невозможности его наблюдения (h7, рис. 6). Даже незначительное время обработки (1 ч) оказывает сильное влияние на форму кривых ZFC–FC, позволяющих сделать заключение об уровне совершенства структуры магнетита. Предложенная интерпретация изменения структуры и магнитных свойств ансамбля не сепарированных ЭВП МНЧ не противоречит имеющимся в литературе представлениям об особенностях реализации фазового перехода Вервея в наноразмерном магнетите, где данный переход наблюдается лишь в структурно совершенных наночастицах, размер которых превышает примерно 25 нм [18]. Последнее значение существенно зависит от метода синтеза и структурного совершенства материала.
Ферримагнитные оксиды железа, такие как магнетит и маггемит, являются наиболее биосовместимыми из широкодоступных наноматериалов, синтезируемых в виде магнитных наночастиц [2, 3, 6]. При этом в биоприложениях наночастицы используют либо в форме стабилизированных водных суспензий [10], либо в форме феррогелей [4], имитирующих ткани живой системы. При этом синтезу феррогеля предшествует синтез стабилизированной суспензии на основе наночастиц наполнителя. Какой бы ни была стабилизация суспензии (стерической или электростатической), хорошо известно, что получение стабилизированной суспензии – это достаточно сложная задача для случая магнитных наночастиц, особенно для МНЧ с достаточно большим удельным магнитным моментом, наиболее востребованных в магнитном детектировании и тераностике [1, 4, 6]. Дополнительная механоактивация может способствовать улучшению параметров стабильности магнитных суспензий. Полученная большая партия ЭВП МНЧ – перспективный объект для дальнейшего получения водных стабилизированных суспензий для биоприложений.
ЗАКЛЮЧЕНИЕ
В работе представлены результаты исследований структуры и магнитных свойств большой партии магнитных наночастиц оксидов железа, полученных методом электрического взрыва проволоки, в исходном состоянии и после размола в шаровой мельнице в течение 1 и 7 ч.
Предполагается, что механическое воздействие при сохранении среднего размера партии и ее фазового состава, при определенных условиях приводит к увеличению уровня внутренних напряжений и созданию материала, который может быть перспективен для биоприложений.
Переход Вервея, наблюдаемый в исследуемых наночастицах, и его трансформация в зависимости от особенностей механической обработки предоставляет дополнительную возможность лучшего понимания физических свойств ЭВП ансамблей наночастиц в различных состояниях.
Исследование выполнено за счет гранта Российского научного фонда № 23-29-00025, https://rscf.ru/project/23-29-00025/, ФГАОУ ВО “УрФУ имени первого Президента России Б.Н. Ельцина”, Свердловская обл.
Авторы благодарны И.В. Бекетову, А.П. Сафронову и С.В. Андрееву за сотрудничество.
Авторы данной работы заявляют, что у них нет конфликта интересов.
Об авторах
Г. В. Курляндская
Уральский федеральный университет
Автор, ответственный за переписку.
Email: galinakurlyandskaya@urfu.ru
Россия, Екатеринбург
Е. А. Бурбан
Уральский федеральный университет
Email: galinakurlyandskaya@urfu.ru
Россия, Екатеринбург
Д. С. Незнахин
Уральский федеральный университет
Email: galinakurlyandskaya@urfu.ru
Россия, Екатеринбург
А. А. Юшков
Уральский федеральный университет
Email: galinakurlyandskaya@urfu.ru
Россия, Екатеринбург
A. Larrañaga
Universidad del País Vasco UPV/EHU
Email: galinakurlyandskaya@urfu.ru
Испания, Leioa
Г. Ю. Мельников
Уральский федеральный университет
Email: galinakurlyandskaya@urfu.ru
Россия, Екатеринбург
А. В. Свалов
Уральский федеральный университет
Email: galinakurlyandskaya@urfu.ru
Россия, Екатеринбург
Список литературы
- Фролов Г.И., Бачина О.И., Завьялова М.М., Равочкин С.И. Магнитные свойства наночастиц 3d-металлов // ЖТФ. 2008. Т. 78. Вып. 8. С. 101–106.
- Pankhurst Q.A., Connolly A.J., Jones S.K., Dobson J. Applications of Magnetic Nanoparticles in Biomedicine // J. Phys. D. 2003. V. 36. P. R167–R181.
- Бляхман Ф.А., Макарова Э.Б., Шабадров П.А., Фадеев Ф.А., Шкляр Т.Ф., Сафронов А.П., Комогорцев С.В., Курляндская Г.В. Магнитные наночастицы как фактор, определяющий биосовместимость феррогелей // ФММ. 2020. Т. 121. Вып. 4. С. 339–345.
- Buznikov N.A., Safronov A.P., Orue I., Golubeva E.V., Lepalovskij V.N., Svalov A.V., Chlenova A.A., Kurlyandskaya G.V. Modelling of magnetoimpedance responce of thin film sensitive element in the presence of ferrogel: Next step toward development of biosensor for in-tissue embedded magnetic nanoparticles detection // Biosens. Bioelectron. 2018. V. 117. P. 366–372.
- Grossman J.H., McNeil S.E. Nanotechnology in cancer medicine // Phys. Today. 2012. V. 65. P. 38–42.
- Khawja Ansari S.A.M., Ficiara E., Ruffinatti F.A., Stura I., Argenziano M., Abollino O., Cavalli R., Guiot C., D’Agata F. Magnetic iron oxide nanoparticles: Synthesis, characterization and functionalization for biomedical applications in the central nervous system // Mater. 2019. V. 12. P. 465.
- Sedoi V.S., Ivanov Y.F. Particles and crystallites under electrical explosion of wires // Nanotechnology. 2008. V. 19. P. 145710.
- Kurlyandskaya G.V., Bhagat S.M., Safronov A.P., Beketov I.V., Larranaga A. Spherical magnetic nanoparticles fabricated by electric explosion of wire // AIP Adv. 2011. V. 1. P. 042122.
- Safronov A.P., Samatov O.M., Tyukova I.S., Mikhnevich E.A., Beketov I.V. Heating of polyacrylamide ferrogel by alternating magnetic field // J. Magn. Magn. Mat. 2016. V. 415. P. 24–29.
- Beketov I.V., Safronov A.P., Medvedev A.I., Alonso J., Kurlyandskaya G.V., Bhagat S.M. Iron oxide nanoparticles fabricated by electric explosion of wire: Focus on magnetic nanofluids // AIP Adv. 2012. V. 2. P. 022154.
- Alcala M.D., Criado J.M., Real C., Grygar T., Nejezchleva M., Subrt J., Petrovsky E. Synthesis of nanocrystalline magnetite by mechanical alloying of iron and hematite // J. Mater. Sci. 2004. V. 39. P. 2365–2370.
- Rawers J.C., Govier D., Cook D. Microstructure development and stability of iron powder mechanically alloyed in a nitrogen atmosphere // J. Mater. Synth. Proces. 1995. V. 3. P. 263–272.
- Аплеснин С.С., Баринов Г.И. Орбитальное упорядочение в магнетике выше температуры Вервея, индуцируемое давлением // ФТТ. 2007. Т. 49. Вып. 10. С. 1858–1861.
- Verwey E.J.W., Haayman P.W. Electronic conductivity and transition point of magnetite (Fe3O4) // Physica. 1941. V. 8. P. 979–987.
- Zuo J.M., Spence J.C.H., Petuskey W. Charge ordering in magnetite at low temperatures // Phys. Rev. B. 1990. V. 42. P. 8451–8464.
- Мельников Г.Ю., Лепаловский В.Н., Сафронов А.П., Бекетов И.В., Багазеев А.В., Незнахин Д.С., Курляндская Г.В. Магнитные композиты на основе эпоксидной смолы с магнитными микро- и наночастицами оксида железа: фокус на магнитное детектирование // ФТТ. 2023. Т. 65. Вып. 7. С. 1100–1108.
- Vives S., Gaffet E., Meunier C. X-ray diffraction line profile analysis of iron ball milled powders // Mater Sci. Eng. A. 2004. V. 366. P. 229–238.
- Bohra M., Agarwa N., Singh V. A short review on Verwey transition in nanostructured Fe3O4 // J. Nanomater. 2019. V. 19. Article ID 8457383. 18 p.
Дополнительные файлы








