Influence of Si, Mn, Cr, and C doping impurities on grain boundary segregation of phosphorus in α–iron
- Authors: Verkhovykh A.V.1, Mirzoev A.A.1, Dyuryagina N.S.1
-
Affiliations:
- South Ural State University (National Research University)
- Issue: Vol 125, No 10 (2024)
- Pages: 1274-1290
- Section: СТРУКТУРА, ФАЗОВЫЕ ПРЕВРАЩЕНИЯ И ДИФФУЗИЯ
- URL: https://medbiosci.ru/0015-3230/article/view/282255
- DOI: https://doi.org/10.31857/S0015323024100096
- EDN: https://elibrary.ru/JEYZBD
- ID: 282255
Cite item
Full Text
Abstract
This paper first uses ab initio calculations for a systematic study of an influence of Cr, Mn, Si, C, and P alloying elements on a grain boundary segregation of phosphorus in ferromagnetic α-Fe and its dependence on the nature of grain boundaries. Segregation energies of each element and site are fully calculated for two special grain boundaries of the types Σ3(111) and Σ5(310). We study the effect of grain boundary type on the segregation process of alloying elements. The estimate of effective segregation energy for each model of grain boundaries from the obtained segregation energies and analysis of the alloying element distribution at various boundary points are carried out. The paper shows that the Voronoi volume of a Fe site at the segregation point determines the segregation energy of the elements under study. The segregation energies of various pairs of impurities on the boundary are calculated. The effect of substitutional impurities on the change in the segregation energy of phosphorus atoms at the interstitial and substitutional sites and the effect of the phosphorus atom on the change in the impurity segregation energy at various boundary points are studied. The results obtained in this study correspond closely to the available experimental data and provide important base data for the design of high strength steel materials, and are useful for understanding the effect of alloying elements on bcc Fe.
Keywords
Full Text
ВВЕДЕНИЕ
Общей чертой неметаллических примесей, таких как водород, кислород, сера, фосфор и т.д., в металлическом материале является то, что даже незначительное количество примесей может сильно повлиять на различные свойства материала. Этот эффект связан с тем, что, несмотря на небольшой предел растворимости таких примесей, существует значительная вероятность того, что они будут локально сконцентрированы, например, на границах зерен (сегрегация). Это приводит к резкому изменению механических свойств металлов. Сегрегация является очень важным явлением, поскольку приводит к хрупкому межзеренному разрушению под нагрузкой и сопровождается снижением ударной вязкости и катастрофической деградацией прочностных свойств материала [1, 2]. В последние годы было обнаружено, что, благодаря взаимодействиям между различными сегрегирующими примесями, границы зерен (ГЗ) могут претерпевать фазовые переходы, называемые комплексионными переходами, при которых их структура, состав и свойства изменяются скачкообразно при изменении температуры, объемного состава и других параметров [3].
Первые попытки изучения сегрегации на границах зерен и количественной оценки ее термодинамических характеристик, энтальпии и энтропии были сделаны экспериментально методом оже-электронной спектроскопии. Например, энтальпия и энтропия сегрегации были определены для сегрегации фосфора в поликристаллическом α-железе Erhart и Grabke [4]. Проведено систематическое экспериментальное исследование различий в сегрегации фосфора, кремния и углерода в α-железе, результаты которого были опубликованы в 1990-х годах и обобщены в обзоре [5].
К сожалению, энергии взаимодействия растворенных веществ не могут быть непосредственно измерены в эксперименте. Их можно оценить с помощью термодинамических моделей по измерениям ближнего порядка [6]. Экспериментальные данные о взаимодействиях примесей в железе немногочисленны [7]. В связи с этим, ab initio расчеты, основанные на теории функционала электронной (спиновой) плотности (DFT), позволяют проводить прямые расчеты взаимодействия растворенных примесей как в объеме, так и на границах материала. Как показано в [8, 9], энергии взаимодействия растворенных веществ очень чувствительны к степени магнитного порядка в сплавах на основе Fe. Результаты первопринципных расчетов показывают, что химическая связь между атомами примесей и Fe является важным фактором в понимании процессов сегрегации растворенных веществ. Ряд исследований сегрегации таких легких элементов, как B, C, P, N, O и S на границе зерна Σ5 в ОЦК-железе, продемонстрировали, что разные примеси внедрения могут занимать разные положения на границах зерен (как позиции замещения, так и позиции внедрения), и при этом некоторые элементы являются охрупчивателями для ГЗ (сера, фосфор), а некоторые - упрочнителями (углерод) [10, 11, 12].
В случае фосфора наблюдается неоднозначное представление, какую позицию он занимает на границе зерна. Фосфор в объемном α-железе образует раствор замещения, поэтому в ряде работ он априори принимается как замещающий сегрегант. В одной из ранних работ Wu et al. [13] был проведен расчет энергии растворения фосфора в позиции внедрения на ГЗ ОЦК-Fe, при этом было показано, что P является элементом охрупчивания. Однако этот расчет проводился только для одной из возможных позиций сегрегации примеси на ГЗ, без сравнения энергий различных узлов внедрения для выделения наиболее выгодной позиции сегрегации. Отметим также, что расчеты проводились на основе метода сильной связи в пакете LMTO, использующем приближение LDA и простую схему Барта–Хедина для построения обменно-корреляционного потенциала, что может приводить к существенным ошибкам вычисления энергетических параметров примесей и вакансий. В последующем были проведены расчеты как для позиций внедрения, так и для замещения. В работе Yamaguchi [11] показано, что во втором пограничном слое межзеренной границы Σ3(111) α-железа предпочтительны узлы замещения, тогда как в работе [14] указана предпочтительность узлов внедрения для границы Σ5(210).
Уже много лет известно, что характерная хрупкость стали, содержащей фосфор, усугубляется присутствием марганца или хрома [15]. В работе Guttmann [16] было высказано предположение, что данное воздействие связано с притяжением атомов Mn и Cr к атомам фосфора в растворе на основе железа, что приводит к их синергетической косегрегации на межзеренных границах. Однако эта точка зрения была затем оспорена. Erhart и Grabke в работе [4] показали, что хром не увеличивает сегрегацию фосфора в низкоуглеродистом сплаве Fe–P. Они объяснили уменьшение сегрегации фосфора при добавлении углерода в сплав Fe–P простой конкуренцией за свободные узлы на границе зерен со стороны углерода, который также является поверхностно-активным, особенно в феррите, где растворимость углерода в объеме ничтожна. Они предположили также, что добавление хрома в сплав Fe–P–C приводит к увеличению сегрегации фосфора только из-за снижения активности углерода в результате образования обогащенных хромом карбидов. Модель междоузельной конкуренции фосфора и углерода приобрела достаточную популярность в современной литературе [17, 18].
Таким образом, влияние некоторых легирующих добавок, которые уменьшают сегрегацию фосфора к границам зерен, сводится к тому, что они либо блокируют участки границ зерен, где может осаждаться фосфор, либо связывают атомы фосфора в объеме или на поверхности зерен. Отметим, однако, что проблема влияния примесей замещения на сегрегацию фосфора и связанная с этим проблема охрупчивания сталей все еще далека от решения.
Поэтому представляется интересным провести подробное первопринципное моделирование влияния примесей хрома, марганца, кремния и углерода на растворение P в α-железе на границе зерна и получить более полное представление о взаимодействиях между атомами указанных элементов.
МЕТОДИКА МОДЕЛИРОВАНИЯ
Модели границ. Для изучения были выбраны две границы зерен наклона Σ3(111) и Σ5(310). Граница Σ3(111) является наиболее часто изучаемой и может рассматриваться в качестве модельной системы [19–22]. Граница Σ5(310) имеет низкую энергию формирования в ОЦК-железе [23].
Построение суперячеек границ зерен наклона осуществлялось с помощью модели решетки совпадающих узлов (РСУ) [24]. Модели межзеренных границ Σ5(310) и Σ3(111) представляют собой элементарные ячейки из 80 и 96 атомов соответственно (рис. 1а, б), содержащие два кристаллита, наклоненных относительно друг друга.
Рис. 1. Схематическое изображение границы зерна ОЦК-железа и положение примесных атомов (P, Cr, Si, Mn, С): (а) Σ5(310); (б) Σ3(111) (1–3 позиции для атомов примеси; ο – 0 позиция внедрения для атома фосфора и углерода, нулевая позиция; □ – позиция атома углерода при совместной сегрегации P и С в позициях внедрения; 2ʹ и 3ʹ – позиции для атомов примеси при совместной сегрегации).
При моделировании поведения примесей на свободной поверхности (СП) один из кристаллитов заменяется вакуумом. Таким образом, суперячейка СП содержит 40 (для Σ5(310)) или 48 (для Σ3(111)) атомов, отделенных от соседней ячейки вакуумом в 10–12 Å в направлении оси x. При моделировании сегрегации кристаллит был полностью отрелаксирован (атомные положения, форма ячеек и оптимизация объема) как до, так и после добавления замещающего атома.
При интегрировании в обратном пространстве и вычислении электронной плотности использовалась схема Монхорста–Пака с сеткой 4×2×1 k-точек зоны Бриллюэна для Σ5(310) и 6×4×1 k-точек для Σ3(111). Дальнейшее увеличение k-точек приводит к несущественным изменениям полной энергии системы, не более чем на 0.01 эВ. Радиус МТ-сферы для атома железа и примесей замещения (P, Cr, Mn, S, Si) был равен 2.0 а.е., для углерода – 1.25 а.е., другие параметры моделирования: параметр, контролирующий сходимость = 5.0 а.е.-1, энергия обрезания для базиса плоской волны Рб (340 эВ). Энергии формирования границ зерен Σ3(111) и Σ5(310) в ОЦК-Fe были уже определены нами ранее в работе [25]. Значения указанных энергий составили 1.46 Дж/м2 и 1.44 Дж/м2, соответственно. Данные результаты хорошо согласуются с данными других авторов (для Σ5(310) – 1.48 Дж/м2 [26], 1.378 Дж/м2 [27], 1.58 Дж/м2 [28], Σ3(111) – 1.52 Дж/м2 [26, 29], 1.57 Дж/м2 [30]). Экспериментальные значения, представленные в [31, 32], составляют 0.77 Дж/м2 и 0.985 Дж/м2. Эти значения приблизительно в 1.5–2 раза меньше чем результаты нашего расчета. Вероятно, это связано с тем, что данные [31, 32] являются средними по всем возможным границам зерен с различными ориентировками.
Для Σ3(111) был найден равновесный параметр решетки, равный 2.84 Å, а для Σ5(310) – 2.847 Å, эти значения находятся в хорошем согласии с экспериментальными данными 2.86 Å [33]. Таким образом, площадь границ зерен, заключенных в суперячейке, составляет 36.24 и 55.88 Å2/ячейку для Σ5(310) и Σ3(111), соответственно.
На рис. 1а можно выделить структурный элемент границы для ГЗ Σ5(310), образованный двумя тройками атомов, лежащих в плоскости z=0.5a и z=0. Наиболее стабильной позицией сегрегации для примесей внедрения (например, атома углерода), обладающей наибольшим объемом многогранника Вороного, оказался (как и в работе [34]) центр этого структурного элемента, обозначенный на рисунке 1 небольшим черным кружком. Как выяснилось в настоящем исследовании, предпочтительные межузельные позиции атомов примеси для границы Σ3(111) располагаются аналогично, как показано на рис. 1б. Атомы железа, окружающие указанные центры внедрения, обозначенные 1, 2, 3, 2ʹ, 3ʹ, представляют позиции, куда в данном исследовании помещались примеси замещения. Рост номера позиции соответствует удалению от плоскости границы. Заметим, что примеси помещаются только на одну из границ, входящих в суперячейку, при этом наличие второй границы во всех приведенных ниже расчетных формулах компенсируется, поскольку они содержат разность энергий допированной и недопированной суперячейки.
Моделирование взаимодействий P–Х (X = Si, Mn, Cr, С) на границе зерна. Методы первопринципного DFT-моделирования позволяют вычислить энергию растворения одиночной примеси А на межзеренной границе (GB) в чистом ОЦК-Fe, а также аналогичные энергии при наличии соседства с примесью В (внедрения (i) или замещения (s)) по формулам:
(1а)
если А – примесь замещения, и
(1б)
если А-примесь внедрения, где – энергия одного атома примеси в эталонном состоянии, соответственно. В качестве эталонных состояний для примесей использовались: C – графит; P – ОЦК-Р; Mn – ОЦК-Mn; Сr – ОЦК-Cr; Si – структура алмаза [35–39]. Кристаллические формы были выбраны несколько произвольно и могли повлиять на энергию растворения, но расчетная энергия сегрегации и предпочтительная позиция растворения при этом не изменяются. Первое слагаемое в (рис. 1а, б) – полная энергия релаксированной суперячейки, соответствующей межзеренной границе ОЦК-железа с растворенными примесями; числа , и указывают соответственно количество атомов железа, междоузельных (i) и замещающих (s) примесей в суперячейке. Второй член в (1) представляет собой полную энергию отрелаксированной суперячейки ГЗ ОЦК-Fe, без растворенных атомов или содержащей примесь В соответственно. Все, что стоит до символа “/” относиться к системе с одной примесью А, после – с двумя примесями АВ.
Количественной характеристикой взаимодействия примесей с границей зерна являются энергии связи и сегрегации.
Для наиболее точного вычисления энергии сегрегации с помощью DFT мы используем четыре отдельных расчета [40], чтобы сравнить энергии системы с растворенной примесью на границе зерна и в объеме фазы, бесконечно удаленной от границы:
, (2а)
где Eb – полная энергия суперячейки ОЦК-Fe, EA b – полная энергия этой суперячейки с одним атомом примеси А в равновесном положении, – полная энергия суперячейки, представляющей границу зерна,EA GB – полная энергия этой же суперячейки, содержащей примесь А. Заметим, что при таком определении отрицательная энергия EAseg благоприятствует сегрегации. Для учета влияния на сегрегацию примесей, уже находящихся на границе, определим энергию ко-сегрегации примеси А в присутствии примеси В:
. (2б)
Отрицательная энергия EAВ seg указывает, что примесь В снижает энергию сегрегации примеси А. Отметим, что как энергии растворения, так и энергии сегрегации зависят от выбора узла замещения или внедрения на межзеренной границе.
Для проведения вычислений использовался пакет программ WIEN2k [41]. Тестирование методики и детали вычислений приведены в работе [42], где результаты расчета энергий взаимодействия атома P c примесями Cr и Mn в объеме ОЦК-Fe сравнивались с аналогичными значениями, полученными в работе [9] для ячейки из 128 узлов.
РЕЗУЛЬТАТЫ И ОБСУЖДЕНИЕ
Одиночные примеси P, Cr, Mn, Si, С на границе зерна. Из экспериментальных исследований следует, что при низких температурах для фосфора на границе зерна имеют преимущество позиции замещения, но при повышении температуры позиция замещения сменяется на позицию междоузлия [43]. Поэтому нами были исследованы две позиции для атома фосфора (внедрения и замещения), для примесей легирования (Si, Cr, Mn) – позиции замещения, для углерода – позиция внедрения.
Следует отметить, что позиции замещения находятся на различных расстояниях от межзеренной границы, поэтому примеси, расположенные в них, имеют разный объем многогранников Вороного. На рис. 2 представлены результаты расчетов зависимости объема многогранника Вороного для атома примеси от номера позиции. Видно, что данная зависимость является осциллирующей и близкой к аналогичной зависимости для атомов Fe в случае чистой границы зерна [25].
Рис. 2. Зависимость объема многогранника Вороного для атома примеси от номера позиции. Пунктиром показан объем многранников Вороного для атомов железа вблизи межзеренной границы в чистом ОЦК-Fe.
Графики зависимости энергии растворения примеси (по формуле 1) и локального магнитного момента примеси от номера позиции представлены на рис. 3 и 4. Прежде всего отметим, что одинаково низкая энергия растворения P в позициях 2 и 0 позволяет атому фосфора оказываться в ОЦК-Fe как в позиции растворения (2), так и в позиции внедрения (0). Видно, что все примеси имеют наименьшую энергию растворения в позиции 2 с пониженным значением объема многогранника Вороного. Для примесей Si и P, которые имеют атомный радиус, значительно меньший, чем радиус атомов железа [44], это не удивительно, поскольку в позиции 2 они могут образовывать ковалентные связи с 3d-электронами Fe, что объясняет появление небольшого магнитного момента на примесях. Для примесей же хрома и марганца выбор позиции 2 продиктован, скорее, магнитным эффектом.
Рис. 3. Зависимость магнитного момента на атоме примеси X и энергии растворения примеси Х (X=P, Mn, Cr, Si) от номера позиции для ГЗ Σ5(310).
Рис. 4. Зависимость магнитного момента на атоме примеси X и энергии растворения примеси Х (X=P, Mn, Cr, Si) от номера позиции для ГЗ Σ3(111). Пунктиром показаны данные работы [30].
Действительно, приведенные на рис. 3 и 4 данные указывают на прямую корреляцию между энергией растворения примесей Si, P, Mn и величиной их магнитного момента. В зависимости от номера позиции относительно границы зерна происходит сначала резкий скачок значения магнитного момента, затем спад и рост, особенно это ярко выражено для атома марганца. Следует отметить интересный характер зависимости магнитных моментов примесных атомов марганца и хрома от положения узла внедрения.
При внедрении в позицию 1, обладающую максимальным объемом многогранника Вороного, магнитный момент у атомов Cr и Mn несколько увеличивается по сравнению со значениями, которые он имел в объеме ОЦК-Fe –1.59, 0.60 µB [42]. Как показано в [45], этот эффект для примеси хрома связан со снижением локальной электронной плотности, приводящем к росту величины магнитного момента примеси. Данный эффект может объяснить также уменьшение магнитного момента хрома в позиции 2, где объем многогранника существенно меньше. Отметим, что полученные нами результаты для магнитного момента Cr на границе Σ3(111) хорошо согласуются с результатами работы [30].
Привлекает внимание поведение магнитного момента примеси марганца, который в различных позициях изменяется не только по величине, но и по направлению. Это связано с тем, что антиферромагнитная и ферромагнитная относительно атомов железа ориентации примеси марганца в ОЦК-Fe практически вырождены по энергии [46]. Это приводит к тому, что локальные магнитные моменты Mn очень чувствительны к объему, приходящемуся на атом. В работе [47] показано, что при изменении параметра решетки ОЦК-Fe, содержащего примесь Mn, магнитный момент Mn меняет ориентацию с ферромагнитной на антиферромагнитную относительно момента Fe. Именно этим эффектом можно объяснить изменение знака магнитного момента Mn в позиции 2, для которой объем многогранника Вороного минимален.
Магнитный момент на атоме фосфора (–0.08 µB) для Σ3(111) находится в хорошем согласии с величиной –0.07 µB, полученной с помощью DFT расчета в работе [10]. Для атома углерода значение энергии растворения на ГЗ Σ3(111) составило всего –0.02 эВ, в то время как на ГЗ Σ5(310) было равно –0.47 эВ, и находится в хорошем согласии с экспериментальными данными для данной границы зерна (–0.45 эВ [48]), а также в приемлемом согласии с другими расчетными данными (–0.29 эВ [49], –0.23 эВ [50]).
Отметим, что для границы Σ5(310) энергия растворения фосфора как в позиции внедрения (0 позиция), так и в позиции замещения (2 позиция) имеет близкие значения, поэтому при дальнейшем исследовании влияния примесей на сегрегацию фосфора были рассмотрены обе указанные позиции.
Результаты расчетов энергии сегрегации одиночных примесей (по формуле (2а)) на межзеренных границах Σ5(310) и Σ3(111) представлены в таблице 1.
Стоит отметить, что предпочтительной (т.е. обладающей наибольшей отрицательной энергией сегрегации на ГЗ) для примесей замещения является позиция 2 (рис. 1). Таким образом, между примесями замещения может происходить определенная конкуренция за нее, фаворитами которой в первую очередь являются атомы Mn и P. В то же время примеси внедрения предпочитают нулевую позицию. Отметим также, что если для атома углерода позиция внедрения 0 является единственной, то для атомов Р вполне приемлемой является и позиция замещения 2, причем для границы Σ3(111) такая позиция даже предпочтительна. Атом, находящийся в позиции 2, имеет заметно меньший объем многогранника Вороного, что свидетельствует о наличии в этой области локальной деформации сжатия. Такое сжатие может приводить к снижению энергии формирования вакансии в данной позиции на ГЗ. Поэтому мы провели вычисление энергии образования вакансий на ГЗ, следуя методике, результаты которой представлены в [21, 51]. Для границы Σ5(310) наименьшая энергия формирования вакансии соответствует как раз позиции 2 (рис. 1а), в двух других позициях энергии образования вакансии выше, чем значение для объема ОЦК-Fe (2.15 эВ [52]). Осциллирующий характер энергии образования вакансии находится в хорошем согласии с данными для суперячейки Σ5(310), содержащей 44 атома [51]. В случае Σ3(111) для всех трех позиций энергия вакансии ниже, чем в объеме ОЦК-железа, позиции 2 и 3 предпочтительнее, так как обладают более низкой энергией.
Как и в случае данных, представленных в работе [21], основная причина низкого значения энергии формирования вакансии заключается в том, что атомы Fe в позициях 2–2ʹ (поперек ГЗ) сближаются до расстояния 2.157 Å, что меньше, чем в объеме зерна (2.424 Å). Таким образом, удаление атома Fe на границе Σ3(111) проще, чем на границе Σ5(310), так как там расстояния 2–2ʹ составляет 2.176 Å, а в основной части 2.456 Å. Ввиду того, что энергия образования вакансии для ГЗ Σ3(111) ниже 2.15 эВ (значение для объемного ОЦК-железа), мы наблюдаем, что энергия сегрегации примесей имеет отрицательное или близкое к нулю значение для всех позиций, в отличие от ГЗ Σ5(310).
Взаимодействия Р–Х (X= Si, Cr, Mn, C) на границе зерна Σ5(310). Поскольку на границе Σ5(310) для фосфора наименьшей энергии растворения соответствовали два положения: замещения (2 позиция) и внедрения (0 позиция) (рис. 1а), то для исследования влияния легирующих примесей на сегрегацию фосфора на границе зерна, позиция фосфора фиксировалась в одном из этих положений. Легирующие примеси последовательно занимали позиции 1, 2ʹ, 3 и 3ʹ (рис. 1а). В случае взаимодействия фосфора с углеродом были рассмотрены четыре конфигурации, когда фосфор занимает позицию 1, 2, и 3, а углерод позицию 0, и когда оба атома находятся в позициях внедрения (рис. 1а). В таблице 2, 3 и 4 приведены соответствующие объемы многогранника Вороного на атомах примеси и фосфора для каждой из конфигурации.
Как следует из табл. 2, для одиночной примеси Р в позиции замещения 2 объем многогранника Вороного составляет 10.70 Å3. При замещении одного из ближайших атомов Fe примесью Mn объем многогранника практически не меняется, что говорит о слабом взаимодействии пары P–Mn на межзеренной границе. Иная ситуация возникает при замещении атомов Fe примесями Cr, Si, P. В этом случае объем многогранника существенно возрастает, особенно если примеси замещения появляются в ближайшем соседстве (позиции 1 и 2ʹ). Это означает, что атомы в парах P–Cr, P–Si, P–P отталкиваются друг от друга. Исключением является случай, когда второй атом фосфора помещается в позицию 3, и при этом объем многогранника Вороного у двух атомов слегка снижается (10.46 и 10.34 Å3). Причина такого поведения связана с особенностями перекрытия s-p-локальной электронной плотности на атомах Р в ОЦК-железе, которым мы собираемся посвятить отдельную статью.
Таблица 2. Объем многогранника Вороного для атома фосфора, находящегося в позиции 2 (V(P_2)), при наличии примесей X (X=Mn, Cr, Si, P) в позициях 1, 2ʹ, 3, 3ʹ. В столбце Fe для строки V(P_2) приведено значение, соответствующее одиночной примеси Р в ОЦК-Fe. В строке V(X) указаны значения объема многогранника Вороного для атомов примесей Х и атомов Fe при наличии атома фосфора в позиции 2. ГЗ Σ5(310)
Объем | № поз. | Fe | Mn | Cr | Si | P |
V(P_2), Å3 | 1 | 10.70 | 10.71 | 10.91 | 11.24 | 11.11 |
2ʹ | 10.70 | 11.00 | 11.20 | 11.39 | ||
3 | 10.72 | 10.71 | 11.11 | 10.46 | ||
3ʹ | 10.78 | 10.87 | 10.82 | 10.73 | ||
V(X), Å3 | 1 | 12.21 | 12.15 | 12.46 | 12.15 | 11.73 |
2ʹ | 12.30 | 12.38 | 12.33 | 12.00 | 11.40 | |
3 | 12.04 | 11.99 | 12.09 | 11.62 | 10.34 | |
3ʹ | 11.68 | 11.61 | 11.63 | 11.47 | 11.14 |
Следует обратить внимание на то, что изменение как энергии сегрегации атома фосфора примесями замещения, так и изменения энергии сегрегации данных примесей в присутствии фосфора на границе, не коррелируют с соответствующим изменением объема многогранника Вороного. Это свидетельствует о том, что в отличие от случая выделения на границе одиночной примеси (рис. 4), энергия сегрегации теперь определяется не только величиной свободного объема, но и химическим взаимодействием между парой примесных атомов.
Данные табл. 3 показывают, что одиночная примесь Р в позиции внедрения 0 в чистом ОЦК-Fe имеет меньший объем сегрегации на многограннике Вороного, равный 8.88 Å3. И для данной позиции внедрения при замещении ближайших атомов Fe примесями наблюдается похожая картина: примесь Mn практически не меняет объем многогранника Вороного вокруг примеси Р, тогда как примеси Cr, Si, P существенно его увеличивают. Это означает, что пары P–Mn слабо взаимодействуют, тогда как атомы в парах P–Cr, P–Si, P–P, находящиеся в ближайшем соседстве, отталкиваются друг от друга.
Таблица 3. Объем многогранника Вороного для атома фосфора, находящегося в позиции 0 (V(P_0)), при наличии примесей X (X=Mn, Cr, Si, P) в позициях 1, 2, 3. В столбце Fe для строки V(P_0) приведено значение, соответствующее одиночной примеси Р в ОЦК-Fe. В строке V(X) указаны значения объема многогранника Вороного для атомов примесей Х и атомов Fe при наличии атома фосфора в позиции 0
Объем | № поз. | Fe | Mn | Cr | Si | P |
V(P_0), Å3 | 1 | 8.88 | 8.91 | 9.07 | 9.06 | 9.21 |
2 | 8.88 | 8.93 | 9.17 | 9.61 | ||
3 | 8.89 | 8.96 | 8.90 | 9.12 | ||
V(Х), Å3 | 1 | 11.57 | 12.59 | 12.81 | 12.82 | 12.90 |
2 | 11.07 | 10.99 | 11.15 | 11.00 | 10.63 | |
3 | 11.12 | 11.08 | 11.14 | 11.12 | 10.84 |
Взаимное отталкивание между атомом фосфора и примесями Si, P, Cr еще более отчетливо видно на рис. 5, где представлена зависимость расстояния от атома фосфора (во 2 позиции (а), в 0 позиции (б)) до соответствующей примеси от номера позиции замещения. Видно, что такое отталкивание характерно для атома Р как в позиции внедрения, так и замещения. Наиболее сильно отталкивание для пар P–P и P–Si, значительно слабее для пары P–Cr, и практически отсутствует для пары P–Mn.
Рис. 5. Зависимость расстояния между атомом фосфора (в позиции 2 (а) и в позиции 0 (б)) и примесью от номера позиции примеси.
В табл. 4 приведены результаты моделирования объема многогранников Вороного пары примесей углерод–фосфор.
Таблица 4. Объемы многогранников Вороного V(C) для атома углерода в 0 позиции, а также для атомов железа и фосфора V(X) (X=Fe,Р) в позициях 1, 2, 3, □. Строка Fe соответствует структуре с одним атомом С в позиции внедрения (0) без атома фосфора, строка Р соответствует наличию атома фосфора в позициях замещения (1, 2, 3) и внедрения (□) в присутствии углерода в позиции 0. В колонке dC-Х приведено расстояние между примесью C в позиции 0 и атомом Х (X=Fe или Р) в позициях 1, 2, 3, □ на ГЗ
Х | № поз. | V(Х), Å3 | V(С),Å3 | dС-Х,Å |
Fe | 1 | 12,30 | 7.52 | 2.778 |
2 | 10,79 | 2.059 | ||
3 | 10,62 | 2.055 | ||
□ | 8.88 | 4.709 | ||
P | 1 | 12.60 | 7.57 | 3.537 |
2 | 10.63 | 7.69 | 2.704 | |
3 | 10.50 | 7.50 | 2.557 | |
□ | 9.02 | 7.63 | 4.814 |
Наиболее интересным результатом, приведенным в этой таблице, является резкое увеличение расстояний от внедренной примеси углерода до всех ближайших соседних узлов, в которых произошло замещение атома Fe примесью фосфора (например, от 2.778 до 3.537 Å для позиции 1). Это указывает на значительное отталкивание между примесями углерода и фосфора во всех рассмотренных позициях, причем отталкивающий эффект, как и в случае объемной структуры снижается по мере удаления P и С друг от друга [53]. Отметим, также, что несмотря на значительное изменение расстояния dC–P, объемы многогранников Вороного для атомов С и Р изменились не столь существенно.
Для того чтобы выяснить энергетическую выгодность различных расположений пары примесей Р–Х, была вычислена относительная энергия межзеренной границы, содержащей указанную пару (рис. 6). Самая низкая энергия системы (E0) была принята за начало отсчета. Прежде всего отметим, что энергия пары Mn–P в конфигурации, при которой атом фосфора находится в позиции внедрения (0), а Mn – в позиции 2, примерно равна энергиям конфигураций, когда атом P является примесью замещения в позиции 2, а Mn занимает позиции 1 или 3. Отсюда следует важный вывод, что в конкуренции между атомами P и Mn за энергетически выгодную позицию замещения 2 победителем окажется атом, занявший эту позицию первым (т.е. атом компонента с большим содержанием в сплаве или большим коэффициентом диффузии). Следовательно, добавки марганца могут влиять на кинетику сегрегации фосфора на межзеренной границе Σ5(310). Возможно, именно это наблюдалось в работе Смита [54], где исследовались мартенситные стали, в которых содержание Mn было единственной переменной, и было продемонстрировано, что его рост сопровождался резким повышением температуры перехода от вязкого к хрупкому состоянию.
Рис. 6. Зависимость относительной энергии (En–E0) границы зерна Σ5(310), содержащей атом фосфора (в позиции 2 (а) и 0 (б)) и примеси Mn, Cr, Si, P, от номера позиции примеси.
Из рисунка 6а видно, что при нахождении атома фосфора в позиции замещения, наименьшей энергией обладают конфигурации, в которых атомы Si, P, Mn находится в 1 позиции, а атом Cr – в позиции 3ʹ. Заметим, что в случае одиночного расположения этих примесей на ГЗ более предпочтительной (меньшая энергия сегрегации) являлась позиция 2 (рис. 2, табл. 1)). Причина изменения предпочтительной позиции растворения связана с взаимодействием между примесями. При расположении фосфора в узле внедрения (позиция 0) для всех примесей, кроме хрома, наименьшую энергию продолжает обеспечивать позиция 2 (рис. 6б). Для атома Cr более предпочтительной оказывается позиция 1, как показал наш расчет, благодаря понижению энергии на –0.11 эВ в данной позиции из-за взаимодействия с атомом P. Данные рисунка показывают, что сегрегированные атомы фосфора на границе зерна располагаются парами на близких расстояниях друг от друга в позициях 0–2 или 1–2.
Таблица 1. Энергетические характеристики взаимодействия примеси с ГЗ – энергия сегрегации (EA seg(GB))
Тип ГЗ | № поз. | Энергия сегрегации, эВ | ||||
Mn | Si | P | Cr | C | ||
Σ5(310) | 0 | – | – | –0.40 | – | –1.27 |
1 | 0.00 | 0.57 | 1.00 | 0.04 | – | |
2 | –0.37 | –0.03 | –0.24 | –0.12 | – | |
3 | –0.01 | 0.74 | 0.93 | 0.05 | – | |
Σ3(111) | 0 | – | – | –0.03 | – | –0.82 |
1 | –0.02 | –0.21 | 0.01 | –0.05 | – | |
2 | –0.41 | –0.58 | –1.14 | –0.07 | – | |
3 | –0.08 | –0.13 | –0.31 | –0.04 | – | |
Более подробную информацию о взаимодействии примесей можно получить из зависимостей энергии ко-сегрегации примеси Х для различных узлов замещения на ГЗ в присутствии примеси Р и наоборот (по формуле (2б)), представленных на рис. 7–9.
Рис. 7. Изменение энергии ко-сегрегации в зависимости от номера позиции атомов X (Х=Mn, Cr, Si, P) на границе Σ5(310) зерна: (а) ; (б) . Атом фосфора находится во 2 позиции.
Рис. 8. Изменение энергии ко-сегрегации в зависимости от номера позиции атомов X (Х=Mn, Cr, Si, P) на границе Σ5(310) зерна: (а) ; (б) . Атом фосфора находится в 0 позиции.
Рис. 9. Энергии ко-сегрегации фосфора с углеродом и в зависимости от номера позиции фосфора (а). Углерод занимает позицию внедрения (0). Зависимость относительной энергии (En–E0) границы зерна с атомом углерода (0) и фосфором от номера позиции Р (б).
Действительно, по данным рис. 7б видно, что расположение атома фосфора в позиции 2 приводит к заметному понижению энергии сегрегации всех примесей в позиции 1, особенно, если в эту позицию добавляется второй атом P. Напротив, в позиции 2ʹ, которая симметрична позиции 2 относительно границы зерна, энергии сегрегации для всех примесей повышаются. Для примеси хрома наиболее сильное понижение энергии из-за взаимодействия с атомом Р происходит в позиции 3ʹ, которая и становится энергетически выгодным местом для выделения таких атомов.
Практически для всех положений примеси Mn способствуют сегрегации Р в позиции замещения (позиция 2), хотя понижение энергии сегрегации при этом невелико (рис. 7а). В то же самое время атомы кремния и фосфора во всех позициях замещения значительно увеличивают энергию сегрегации фосфора в позиции 2. Однако можно говорить о блокировке этой позиции лишь в случае, когда атомы Si находятся в позициях 2ʹ и 3, или атомы P – в позициях 2ʹ и 3ʹ. В других случаях повышение энергии сегрегации атома Р в позиции замещения (рис. 7а), компенсируется ее понижением для примесей Si, P (рис. 7б).
На рис. 8 приведены зависимости энергии ко-сегрегации от позиции примесей Mn, Cr Si, P на границе зерна для атома фосфора в позиции внедрения (позиция 0). Видно, что сегрегации атома фосфора еще сильнее, чем в позицию замещения, способствует наличие на границе зерна примесей марганца и хрома в позиции 1. Видно также, что атом фосфора в позиции внедрения блокирует в своем окружении все позиции для сегрегации второго атома Р. Таким образом, совместная сегрегация двух атомов фосфора во всех положениях невыгодна.
Очень интересными являются энергетические характеристики взаимодействия пары - атом внедренного углерода и атом фосфора в позиции замещения (рис. 9а). Обращает на себя внимание значительная величина энергии ко-сегрегации углерода в присутствии фосфора, которая всегда отрицательна, независимо от положения атома Р. Таким образом, примеси фосфора только способствуют сегрегации углерода в позиции внедрения. Однако наличие углерода в позиции внедрения, напротив, резко увеличивает энергию сегрегации атомов фосфора на ближайших узлах 1, 2, 3, блокируя тем самым выделение атомов фосфора. И только для удаленной от внедренного атома С позиции внедрения (□) энергия ко-сегрегации становится отрицательной, в результате чего энергия пары внедренных атомов С–Р на границе минимальна (рис. 9б), при достаточно большом расстоянии между атомами пары (4.814 Å). Поэтому можно предположить, что отрицательная энергия сегрегации С и Р связана с ослаблением влияния углерода на фосфор.
Полученные нами результаты позволяют несколько уточнить высказанную во многих работах точку зрения о конкуренции между атомами С и Р за захват узлов на межзеренной границе. Как мы видим, атомы фосфора не препятствуют, а даже способствуют выделению углерода на границе зерна. Поэтому точнее говорить о блокировке сегрегации атомов фосфора в окрестности находящихся на межзеренной границе атомов углерода.
Моделирование Р–Х (X=Р, Si, Cr, Mn) на границе зерна Σ3(111). Результаты моделирования взаимодействия примесей на границе зерна Σ3(111) в целом соответствуют основным тенденциям, обнаруженным на границе Σ5(310). Тем не менее существует и несколько существенных отличий.
Для границы зерна с одиночной примесью фосфора были изучены 3 положения (рис. 1б). Поскольку наименьшей энергией с большим отрывом обладала позиция 2, то для дальнейших исследований влияния легирующих примесей на сегрегацию фосфора на границе зерна Σ3(111) позиция фосфора фиксировалась в этом положении, а примеси легирования последовательно занимали позиции 1, 2ʹ, 3 и 3ʹ (рис. 1б). В случае взаимодействия фосфора с углеродом были рассмотрены три конфигурации, когда фосфор занимает позицию 1, 2 и 3, а углерод позицию 0 (рис. 1б). В табл. 5 приведены соответствующие объемы многогранника Вороного (V) для атома примеси Х и атома фосфора для каждой конфигурации пары Р–Х на ГЗ.
Таблица 5. Объемы многогранников Вороного для атома фосфора, находящегося в позиции 2 (V(P_2)), при наличии примесей X (X=Mn, Cr, Si, P) в позициях 1, 2ʹ, 3, 3ʹ. В столбце Fe для строки V(P_2) приведено значение, соответствующее одиночной примеси Р в ОЦК-Fe. В строке V(X_2) указаны значения объема многогранника Вороного для атомов примесей Х и атомов Fe при наличии атома фосфора в позиции 2. ГЗ Σ3(111)
Объем | № поз. | Fe | Mn | Cr | Si | P |
V(P_2), Å3 | 1 | 10.45 | 10.48 | 10.46 | 10.31 | 10.39 |
2ʹ | 10.45 | 10.48 | 10.60 | 10.78 | 10.84 | |
3 | 10.45 | 10.46 | 10.54 | 10.74 | 11.01 | |
3ʹ | 10.45 | 10.46 | 10.44 | 10.49 | 10.51 | |
V(Х), Å3 | 1 | 12.58 | 12.63 | 12.62 | 12.28 | 11.97 |
2ʹ | 11.17 | 11.14 | 11.25 | 11.05 | 10.84 | |
3 | 12.05 | 11.97 | 11.97 | 12.22 | 11.81 | |
3ʹ | 12.21 | 12.13 | 12.01 | 12.03 | 11.50 |
Отметим, что структуры границ значительно отличаются, поэтому объем многогранника Вороного для атома Р в позиции замещения 2 на границе Σ3(111) составляет всего 10.45 Å3, вместо 10.70 Å3 для границы Σ5(310). Также, как и на границе Σ5(310), при замещении одного из ближайших атомов Fe примесями Mn и Cr объем многогранника атома Р слабо меняется. Более значимое увеличение объема производят примеси Si и P при замещении позиций 2ʹ и 3. Отметим также, что помещение атома Si или второго атома P в позицию 1 уменьшает свободный объем примеси замещения Р, тогда как в случае границы Σ5(310), наоборот, происходило его увеличение.
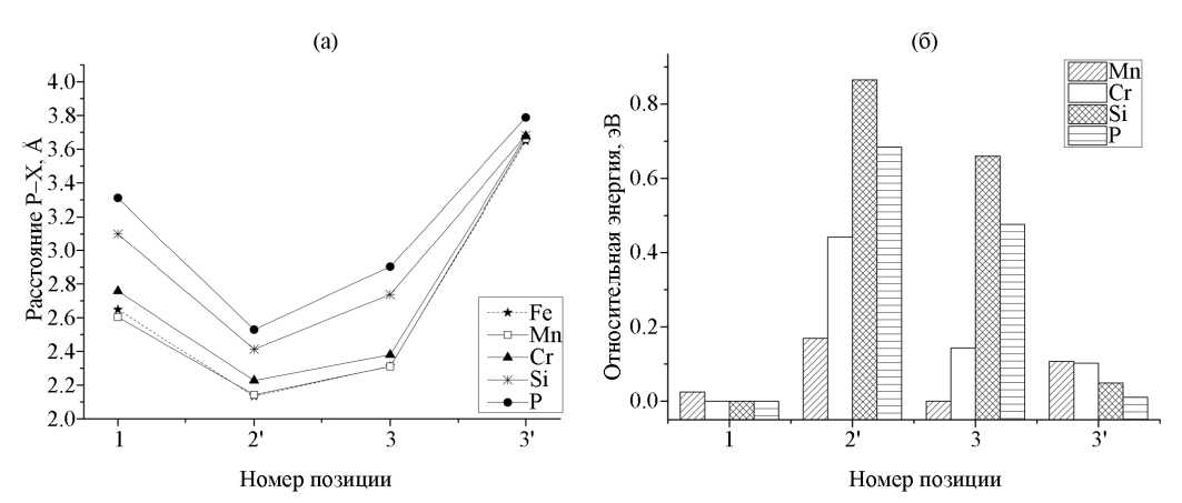
На рис. 10а приведены зависимости расстояния от атома фосфора в позиции замещения (позиция 2) до атомов железа в позициях 1, 2ʹ, 3, 3ʹ на исходной межзеренной границе Σ3(111) (черные ромбы) и до тех же позиций после замещения атомов Fe примесями Х (Х=Mn, Cr, Si). Рисунок 10б демонстрирует также зависимость относительной энергии (En–E0) границы зерна Σ3(111), содержащей пару атомов Р–Х (фосфор в позиции замещения 2), от номера позиции примеси. За начало отсчета Е0 принимается наименьшая энергия для всех пар Р–Х в данной позиции.
Рис. 10. Зависимость от номера позиции примеси Х на межзеренной границе Σ3(111): (а) расстояния между атомом фосфора (в позиции 2) и примесью Х; (б) относительной энергии () границы зерна, содержащей атом фосфора (в позиции 2) и примесь Х в различных позициях.
Как видно из данных рис. 10а, при замещении атомов железа примесями (Х=Mn, Cr, Si) в позициях 1, 2ʹ, 3, 3ʹ происходит возрастание расстояний между примесью фосфора в позиции замещения 2 и указанными узлами. Это свидетельствует об отталкивании между примесями Р–Х, которое невелико для примесей Mn и Cr, но весьма значительно для примесей Si, и особенно сильно для второй примеси замещения P. Заметим, что указанная зависимость достаточно близка к своему аналогу для границы Σ5(310) (рис. 5). Из рис. 10б видно, что наименьшей энергией системы обладают системы P–X, когда Х находится в 1 позиции. Для марганца наиболее выгодно положение по одну сторону ГЗ с фосфором.
Одновременное выделение пары примесей фосфора и углерода также приводит к существенному увеличению расстояния между ними, как и в случае границы Σ5(310). Это однозначно указывает на сильное отталкивание между этими примесями, которое проявляется как конкуренция между этими примесями за узлы межзеренной границы при совместной сегрегации [42, 53].
Более детальная информация об энергетических характеристиках ко-сегрегации пары примесей Р–Х на границе зерна Σ3(111) (по формуле (2б)) представлена на рис. 11 и 12.
Рис. 11. Энергии ко-сегрегации атомов Р–X (Х=Mn, Cr, Si, P) в зависимости от номера позиции на границе зерна Σ3(111) (а) ; (б) . Атом фосфора находился во 2 позиции.
Рис. 12. Энергии ко-сегрегации фосфора с углеродом и в зависимости от номера позиции фосфора на межзеренной границе Σ3(111) (а). Углерод занимает позицию внедрения (0). Зависимость относительной энергии границы зерна с атомом углерода (0) и фосфором от номера позиции Р (б).
Вновь, как и для границы Σ5(310) (см. рис. 7), наблюдаем, что примеси Mn и Cr слабо влияют на сегрегацию фосфора в позиции замещения (позиция 2). Примеси же Cr, Si во всех позициях, и дополнительный атом P в позициях 2ʹ и 3, напротив, повышают энергию сегрегации фосфора в этой позиции (рис. 11а). В то же время появление примеси фосфора в позиции замещения (позиция 2) понижает энергию сегрегации для всех примесей, кроме кремния и фосфора в позиции 2ʹ (рис. 11б). В силу этого обстоятельства, при наличии на границе Σ3(111) примеси фосфора в позиции 2, выделение примесей замещения энергетически выгоднее в позиции 1, а не 2, как происходит при отсутствии фосфора (табл. 1). Наблюдаемое сильное отталкивание между парами атомов Р–Р и P–Si также способствует тому, что, при размещении фосфора во 2 позиции, второму атому фосфора и атому Si энергетически более выгодно сегрегировать в 1, либо в 3ʹ позицию, которая достаточно удалена от узла 2 (рис. 10а).
Как и в случае границы Σ5(310), изменение энергии сегрегации примеси в присутствии других атомов, замещающих атомы железа на поверхности, перестает коррелировать с соответствующим изменением объема многогранника Вороного. Это свидетельствует о том, что наряду с объемным фактором энергия сегрегации зависит также от второго фактора – химического взаимодействия между парой примесных атомов.
Данные рис. 12 показывают, что благодаря взаимодействию фосфора с внедренным атомом С на границе зерна Σ3(111) наименьшей энергией обладает конфигурация с атомом Р в позиции замещения 2 (рис. 12б).
Для пары атомов С–Р мы видим сильное отталкивание, и как следствие положительные значения энергий ко-сегрегаций (рис. 12а), что согласуется с экспериментальными данными работ [55, 56], в которых показано, что углерод конкурирует с фосфором на границе зерна Σ3(111). Важно заметить, что энергия сегрегации для фосфора в позиции замещения 2 ниже, чем энергия сегрегации углерода в позиции внедрения (табл. 1). Поэтому их совместная сегрегация на данной границе будет существенно зависеть от кинетики процесса.
ЗАКЛЮЧЕНИЕ
В этом исследовании изучалось влияние примесей замещения и внедрения (Mn, Cr, Si, C) на межзеренную сегрегацию фосфора на границах Σ5(310) и Σ3(111) в ОЦК-железе, которая, как известно, является причиной резкого снижения прочности сталей в силу фосфорного охрупчивания. Цель исследования состояла в том, чтобы выяснить, способствуют ли какие-либо из этих элементов или, напротив, подавляют сегрегацию фосфора на указанных границах зерен. Полученные энергии сегрегации могут служить исходными данными различных физических моделей для прогнозирования распределения изученных примесей в микроструктуре стали. Результаты исследования позволяют сделать следующие конкретные выводы:
- Показано, что если энергии сегрегации одиночных примесей на межзеренной границе четко коррелирует с объемом многогранника Вороного узла замещения или внедрения, то присутствие других атомов, замещающих атомы железа на поверхности, данную корреляцию практически ликвидируют. Это свидетельствует о том, что наряду с объемным фактором энергия сегрегации существенно зависит также от химического взаимодействия между парой примесных атомов.
- Влияние примеси замещения Si и дополнительного атома Р приводит к существенному росту энергии сегрегации фосфора на межзеренной границе. Это обусловлено как объемным фактором, так и отталкиванием между атомами примесей. Наименьшей энергией при размещении пары атомов фосфора на границе обладают конфигурации, при которых атомы находятся в близком соседстве.
- Полученные нами результаты позволяют уточнить высказанную во многих работах точку зрения о конкуренции между атомами С и Р за захват узлов на межзеренной границе. На границе Σ5(310) сегрегированные атомы фосфора не препятствуют, а даже способствуют выделению углерода на поверхности зерна. При этом сегрегированные атомы С, напротив, блокируют в своем окружении выделение фосфора. На границе же Σ3(111) ко-сегрегация углерода и фосфора имеет характер настоящей конкуренции – примеси Р блокируют атомы С, и наоборот.
- Подтвержден вывод работы [4] об отсутствии взаимного усиления межзеренной сегрегации фосфора и хрома. Как выяснилось, взаимодействие этих атомов на границе зерна носит сложный, преимущественно отталкивающий характер.
- Показано, что примеси марганца на границе Σ5(310) могут приводить к увеличению сегрегации фосфора.
Исследование выполнено при финансовой поддержке Министерства науки и высшего образования Российской Федерации (государственное задание на выполнение фундаментальных научных исследований № FENU-2023-0013 (2023013ГЗ)).
Авторы данной работы заявляют, что у них нет конфликта интересов.
About the authors
A. V. Verkhovykh
South Ural State University (National Research University)
Email: diuriaginans@susu.ru
Russian Federation, Chelyabinsk, 454080
A. A. Mirzoev
South Ural State University (National Research University)
Email: diuriaginans@susu.ru
Russian Federation, Chelyabinsk, 454080
N. S. Dyuryagina
South Ural State University (National Research University)
Author for correspondence.
Email: diuriaginans@susu.ru
Russian Federation, Chelyabinsk, 454080
References
- Seah M.P. Adsorption-induced interface decohesion // Acta Metal. 1980. V. 28. № 7. P. 955–962.
- Lejček P., Mojm’ır S., Vaclav P. Interfacial segregation and grain boundary embrittlement: An overview and critical assessment of experimental data and calculated results // Progress in Mater. Sci. 2017. V. 87. P. 83–139.
- Cantwell P.R., Frolov T., Rupert T.J., Krause A.R., Marvel Ch.J., Rohrer G.S., Rickman J.M., Harmer M.P. Grain boundary complexion transitions // Annual Rev. Mater. Research. 2020. V. 50. P. 465–492.
- Erhart H., Grabke H.-J. Equilibrium segregation of phosphorus at grain boundaries of Fe–P, Fe–C–P, Fe–Cr–P, and Fe–Cr–C–P alloys // Metal Sci. 1981. V. 15. № 9. P. 401–408.
- Lejček P. Grain boundary segregation in metals // Springer Science & Business Media. 2010. V. 136. 239 р.
- Pierron-Bohnes V., Kentzinger E., Cadeville M.C., Sanchez J.M., Caudron R., Solal F., & Kozubski R. Experimental determination of pair interactions in aFe0.804V0.196 single crystal // Phys. Rev. B. 1995. V. 51(9). P. 5760–5767.
- Chojcan J. Interactions between impurity atoms of 3d transition metals dissolved in iron // J. Alloys Comp. 1998. V. 264(1–2). P. 50–53.
- Gorbatov O.I., Okatov S.V., Gornostyrev Y.N., Korzhavyi P.A., Ruban A.V. Effect of magnetism on the solubility of 3d elements in BCC iron: Results of first-principle investigations // Phys. Met. Metal. 2013. V. 114. P. 642–653.
- Gorbatov O.I., Delandar A.H., Gornostyrev Yu.N., Ruban A.V., Korzhavyi P.A. First-principles study of interactions between substitutional solutes in bcc iron // J. Nuclear Mater. 2016. V. 475. P. 140–148.
- Wachowicz E., Kiejna A. Effect of impurities on structural, cohesive and magnetic properties of grain boundaries in α-Fe // Model. Simulation in Mater. Sci. Eng. 2011. V. 19. № 2. P. 025001.
- Yamaguchi M., Nishiyama Y., Kaburaki H. Decohesion of iron grain boundaries by sulfur or phosphorous segregation: First-principles calculations // Phys. Rev. B. 2007. V. 76. № 3. P. 035418.
- Wachowicz E., Kiejna A. Effect of impurities on grain boundary cohesion in bcc iron // Comp. Mater. Sci. 2008. V. 43. P. 736–743.
- Wu R., Freeman A.J., Olson G.B. Nature of phosphorus embrittlement of the Fe ∑3[110](111) grain boundary // Phys. Rev. B. 1994. V. 50. P. 75–81.
- Lejček P., Vsiansk’a M., Sob M. Recent trends and open questions in grain boundary segregation // J. Mater. Research. 2018. V. 33. № 18. P. 2647–2660.
- Preece A., Carter R.D. Temper-brittleness in high-purity iron-base alloys // J. Iron Steel Inst. 1953. V. 173. № 4. P. 387.
- Guttmann M. Equilibrium segregation in a ternary solution: A model for temper embrittlement // Surface Sci. 1975. V. 53. № 1. P. 213–227.
- Pereloma E.V., Timokhina I.B., Nosenkov A.I., Jonas J.J. Role of Cr and P additions in the development of microstructure // Metalurgija. 2004. V. 43. № 3. P. 149–154.
- Bhadeshia H.K.D.H., Suh D.-W. Is low phosphorus content in steel a product requirement? // Ironmaking & Steelmaking. 2015. V. 42. № 4. P. 259–267.
- Tian Z.X., Yan J.X., Hao W., Xiao W. Effect of alloying additions on the hydrogen-induced grain boundary embrittlement in iron // J. Phys.: Condensed Matter. 2011. V. 23. P. 015501.
- Matsumoto R., Riku M., Taketomi S., Miyazaki N. Hydrogen-grain boundary interaction in Fe, Fe–C, and Fe–N systems // Progress in Nucl. Sci. Techn. 2010. V. 2. P. 9–15.
- Momida H., Asari Y., Nakamura Y., Tateyama Y., Ohno T. Hydrogen-enhanced vacancy embrittlement of grain boundaries in iron // Phys. Rev. B. 2013. V. 88. P. 144107.
- Zhong L., Wu R., Freeman A.J., Olson G.B. Charge transfer mechanism of hydrogen-induced intergranular embrittlement of iron // Phys. Rev. B. 2000. V. 62. P. 13938–13941.
- Gesari S.B., Pronsato M.E., Juan A. The electronic structure and bonding of h pairs at ∑= 5 bcc Fe grain boundary // Appl. Surface Sci. 2002. V. 187. № 3–4. P. 207–217.
- Sutton A.P., Balluffi R.W. Interfaces in Crystalline Materials. Clarendon press, Oxford, 1995.
- Mirzaev D.A., Mirzoev A.A., Okishev K. Yu., Verkhovykh A.V. Ab initio modelling of the interaction of h interstitials with grain boundaries in bcc Fe // Molecular Phys. 2016. V. 114. № 9. P. 1502–1512.
- Gao N., Fu Ch.-Ch., Samaras M., Schäublin R., Victoria M., Hoffelner W. Multiscale modelling of bi-crystal grain boundaries in bcc iron // J. Nucl. Mater. 2009. V. 385. № 2. P. 262–267.
- Kulkov S.S., Bakulin A.V., Kulkova S.E. Effect of boron on the hydrogen-induced grain boundaryembrittlement in α-Fe // Intern. J. Hydrogen Energ. 2018. V. 43. № 3. P. 1909–1925.
- Wang J., Enomoto M., Shang Ch. First-principles study on the p-induced embrittlement and de-embrittling effect of b and c in ferritic steels // Acta Mater. 2021. V. 219. P. 117260.
- Yamaguchi M. First-Principles Study on the Grain Boundary Embrittlement of Metals by Solute Segregation: Part I. Iron (Fe)-Solute (B, C, P, and S) Systems // Metal. Mater. Transactions A. 2011. V. 42. P. 319–329.
- Wachowicz E., Ossowski T., Kiejna A. Cohesive and magnetic properties of grain boundaries in bcc Fe with Cr additions // Phys. Rev. B. 2010. V. 81. P. 094104.
- Van Vlack L.H. Intergranular energy of iron and some iron alloys // Transactions. American Institute of Mining, Metallurgical and Petroleum Engineers. 1951. V. 191. P. 251.
- Roth T.A. The surface and grain boundary energies of iron, cobalt and nickel // Mater. Sci. Eng. 1975. V. 18. P. 183–192.
- Эмсли Дж. Элементы: Пер. с англ. М.: Мир, 1993. 256 с.
- Wang J., Janisch R., Madsen G.K.H., Drautz R. First-principles study of carbon segregation in bcc iron symmetrical tilt grain boundaries // Acta Mater. 2016. V. 115. P. 259–268.
- Ludsteck A. Bestimmung der˚anderung der gitterkonstanten und des anisotropen debye–waller-faktors von graphit mittels neutronenbeugung im temperaturbereich von 25 bis 1850 °C // Acta Crystallographica Section A: Crystal Physics, Diffraction, Theoretical and General Crystallography. 1972. V. 28. № 1. P. 59–65.
- Ehlers F.J.H., Christensen N.E. Phosphorus under pressure: Ba-iv-type structure as a candidate for p-iv // Phys. Rev. B. 2004. V. 69. № 21. P. 214112.
- Ko W.-S., Kim N.J., Lee B.-J. Atomistic modeling of an impurity element and a metal– impurity system: pure p and fe–p system // J. Phys.: Condensed Matter. 2012. V. 24. № 22. P. 225002.
- Wyckoff R.W.G. Crystal structures 1 (7–83). American Mineralogist Crystal Structure Database. 1963. V. 2.
- Okada Y., Tokumaru Y. Precise determination of lattice parameter and thermal expansion coefficient of silicon between 300 and 1500 k // J. Appl. Phys. 1984. V. 56. № 2. P. 314–320.
- Garrett A.M., Race C.P. Segregation of Ni and Si to coherent bcc Fr-Cu interfaces from density functional theory // J. Nucl. Mater. 2021. V. 556. P. 153185.
- Schwarz K., Blaha P. Solid state calculations using WIEN2k // Comp. Mater. Sci. 2003. V. 28. № 2. P. 259–273.
- Verkhovykh A.V., Mirzoev A.A., Mirzaev D.A. Interaction of phosphorus with impurity atoms in bcc iron // Solid State Phenomena / Trans Tech Publ. 2018. V. 284. P. 627–633.
- Lejček P., Hofmann S. Interstitial and substitutional solute segregation at individual grain boundaries of α-iron: data revisited // J. Phys.: Condensed Matter. 2016. V. 28. № 6. P. 064001.
- Slater J.C. Atomic Radii in Crystals // J. Chem. Phys. 1964. V. 41. P. 3199–3204.
- Mirzoev A.A., Yalalov M.M., Mirzaev D.A. Calculation of the energy of mixing for the Fe-Cr alloys by the first-principles methods of computer simulation // Phys. Met. Metal. 2004. V. 97. № 4. P. 315–322.
- Mirzoev A.A., Yalalov M.M., Mirzaev D.A. Energy of mixing and magnetic state of components of Fe-Mn alloys: A first-principles calculation for the ground state // Phys. Met. Metallog. 2006. V. 101. № 4. P. 341–348.
- Rahman G., Kim In Gee, Bhadeshia H.K.D.H., Freeman A.J. First-principles investigation of magnetism and electronic structures of substitutional 3 d transition-metal impurities in bcc Fe // Phys. Rev. B. 2010. V. 81. № 18. P. 184423.
- Lejček, P., Ad’amek J., Hofmann S. Anisotropy of grain boundary segregation in ∑= 5 bicrystals of α-iron // Surface Sci. 1992. V. 264. № 3. P. 449–454.
- Hatcher N., Madsen G.K.H., Drautz R. Parameterized electronic description of carbon cohesion in iron grain boundaries // J. Phys.: Condensed Matter. 2014. V. 26. № 14. P. 145502.
- Tahir A.M., Janisch R., Hartmaier A. Hydrogen embrittlement of a carbon segregated ∑5 (310)[001] symmetrical tilt grain boundary in α-fe // Mater. Sci. Eng.: A. 2014. V. 612. P. 462–467.
- Zhou H.-B., Liu Y.-L., Duan Ch. et al. Effect of vacancy on the sliding of an iron grain boundary // J. Appl. Phys. 2011. V. 109. № 11. P. 113512.
- Mirzaev D.A., Mirzoev A.A., Okishev K. Yu., Verkhovykh A.V. Hydrogen–vacancy interaction in bcc iron: ab initio calculations and thermodynamics // Molecular Phys. 2014. V. 112. № 13. P. 1745–1754.
- Mirzoev A.A., Ridnyi Ya.M., Verkhovykh A.V. Ab initio computer simulation of the energy parameters and the magnetic effects in ternary Fe–X–C (X= Si, P, S, Cr, Mn) systems // Russian Metallurgy (Metally). 2019. V. 2019. № 2. P. 168–172.
- Smith J.F., Reynolds J.H., Southworth H.N. The role of Mn in the temper embrittlement of a 3.5 Ni–Cr–Mo–V steel // Acta Metal. 1980. V. 28. № 11. P. 1555–1564.
- Suzuki S., Obata M., Abiko K., Kimura H. Effect of carbon on the grain boundary segregation of phosphorus in α-iron // Scripta Metal. 1983. V. 17. № 11. P. 1325–1328.
- Suzuki Sh., Obata M., Abiko K., Kimura H. Role of carbon in preventing the intergranular fracture in iron-phosphorus alloys // Trans. Iron Steel Institute of Japan. 1985. V. 25. № 1. P. 62–68.
Supplementary files













