Влияние концентрации ванадия на структуру и свойства сплавов Ti–V после кручения под высоким давлением
- Авторы: Давдян Г.С.1,2, Горнакова А.С.1, Страумал Б.Б.1,2, Орлов В.И.1, Афоникова Н.С.1, Тюрин А.И.3, Дружинин А.В.1, Кильмаметов А.4, Соммадосси С.5
-
Учреждения:
- Институт физики твердого тела имени Ю.А. Осипьяна РАН
- Национальный исследовательский технологический университет “МИСИС”
- Научно-исследовательский институт Нанотехнологий и Наноматериалов, Тамбовский государственный университет имени Г.Р. Державина
- Лаборатория технологических и материаловедческих исследований
- Институт исследований в области инженерных наук и технологий Национального университета Комауэ Национального совета по научным и техническим исследованиям
- Выпуск: Том 125, № 11 (2024)
- Страницы: 1438-1451
- Раздел: ПРОЧНОСТЬ И ПЛАСТИЧНОСТЬ
- URL: https://medbiosci.ru/0015-3230/article/view/284474
- DOI: https://doi.org/10.31857/S0015323024110132
- EDN: https://elibrary.ru/ILWBNI
- ID: 284474
Цитировать
Полный текст
Аннотация
Исследовано влияние предварительного отжига при 1000°C и последующего кручения под высоким давлением (КВД) на фазовый состав и механические свойства сплавов титана с 2, 4, 6 и 8 вес.% ванадия. Повышение концентрации ванадия в исходном сплаве приводит к увеличению объемной доли фазы β-Ti и уменьшению объемной доли фазы ω-Ti после КВД-обработки. Методом наноиндентирования были измерены нанотвердость Н и модуль Юнга Е. После КВД величины Н и Е выше, чем после предварительного отжига соответственно на 44 и 20%. Значения нанотвердости и модуля Юнга исследованных сплавов после КВД не зависят от доли второго компонента и составляют Н = 6.2±0.2 ГПа и Е = 138±3 ГПа. Однако твердость сплавов после КВД, измеренная с помощью микроиндентирования, также не зависит от доли второго компонента. В то же время предельная прочность и модуль Юнга, измеренные методом трехточечного изгиба, имеют существенные отличия, уменьшаясь с увеличением концентрации ванадия в сплаве от 3.1 до 2.4 ГПа и от 204 до 165 ГПа. Это уменьшение коррелирует с изменением долей фаз ω-Ti и β-Ti. Экспериментально была установлена связь между содержанием ванадия, фазовым составом и предельной прочностью образцов после КВД-обработки.
Полный текст
1. ВВЕДЕНИЕ
Интенсивная пластическая деформация (ИПД) — это такой вид механической обработки, который позволяет подвергать материал большим деформациям без его разрушения и изменения формы образца. В результате такой обработки происходит измельчение зерна вплоть до получения ультрамелкозернистой структуры. При ИПД в некоторых сплавах могут происходить и фазовые превращения. В ходе ИПД образуются многочисленные дефекты, скорость появления которых, при достижении некоторой степени деформации, уравнивается со скоростью процессов релаксации в материале. При этом в материале наступает стационарное состояние.
Существует несколько методик ИПД, однако чаще других используют равноканальное угловое прессование (РКУП) и кручение под высоким давлением (КВД). КВД позволяет получить материалы с наиболее мелкозернистой структурой и самыми большими углами разориентации между зернами [1–8]. При ИПД происходит изменение фазового состава, прочности, упругости, пластичности и других свойств материалов, что позволяет изменять механические свойства сплавов. По этой причине влияние ИПД на материалы по-прежнему привлекает внимание исследователей.
Титановые сплавы имеют множество достоинств. К ним относятся малая плотность сплавов на основе титана, их высокая удельная прочность, коррозионная стойкость, биоинертность, жаропрочность, парамагнитность. По этой причине титановые сплавы активно применяются в самых различных отраслях, а исследователи стремятся разработать новые материалы на основе титана, с лучшими свойствами. Опубликовано множество работ по изучению КВД титановых сплавов, например исследования коммерчески чистого Ti, Ti–Nb, Ti–Fe, Ti–5Al–3V и других сплавов [9–24]. В основном такие работы посвящены влиянию КВД (количеству оборотов плунжеров и приложенного давления) и термической обработки после КВД на свойства сплавов, их фазового состава, размера зерен, и др. Имеются также сведения о влиянии предварительной структуры материала на КВД-обработку [25].
Несмотря на то что ванадий является частым элементом легирования титана, например, сплав Ti–6Al–4V, мы не нашли в литературе работ по изучению влияния КВД-обработки бинарных сплавов Ti–V. Известно, однако, что при легировании титана ванадием одновременно повышаются и прочность, и пластичность сплава [26]. Ванадий имеет почти равный атомный размер с титаном, а его решетка в обычном состоянии – объемно-центрированная кубическая (ОЦК), что делает его изоморфным бета-стабилизатором титана. Кроме того, легирование ванадием приводит к снижению температуры бета-превращения в титановых сплавах, и при достаточной концентрации позволяет сохранить бета-фазу после закалки сплава [26–30].
Систематическое изучение зависимости получаемых свойств от концентрации ванадия в бинарном сплаве или от температуры отжига перед КВД-обработкой весьма перспективно. Полученные данные важны как для фундаментальных, так и для практических целей (например, для получения сверхпрочных сплавов). Поэтому мы исследовали влияние температуры предварительного отжига и доли второго компонента на свойства Ti–V-сплавов после КВД-обработки. Ранее мы уже изучили влияние температуры предварительного отжига на механические свойства и структуру сплава Ti–2 вес. % V [31]. В продолжение этих работ мы изучаем здесь влияние доли второго компонента на КВД-обработку с предварительным отжигом при 1000°C.
2. МАТЕРИАЛЫ И МЕТОДИКИ ИССЛЕДОВАНИЯ
Исследовали четыре сплава Ti–V с весовым содержанием ванадия 2, 4, 6 и 8 %. Сплавы изготавливали из иодидного титана чистотой 99.98 % и ванадия чистотой 99.98 % методом левитации в атмосфере чистого аргона. Выплавленные цилиндрические слитки диаметром 10 мм нарезали на диски толщиной 0.7 мм на электроэрозионной установке. Диски запаивали по одному в кварцевые ампулы, откачивали до остаточного давления 4×10-4 Па, отжигали при 1000°C в течение суток. Затем образцы закаляли в воду комнатной температуры вместе с ампулой. Образцы отжигали для изменения фазового состава и гомогенизации материала.
Кручение под высоким давлением проводили на установке фирмы W. Klement GmbH, при комнатной температуре и давлении 7 ГПа, скорости деформации 1 об/мин и 5 оборотах плунжера [1]. После КВД толщина образцов уменьшилась в 2 раза, от 0.7 мм до 0.35 мм.
Рентгеноструктурный фазовый анализ (РСФА) проводили на рентгеновском дифрактометре Rigaku 138 smartLAB (Rigaku, Tokyo, Japan) в излучении Cu–Kα1+α2, с длиной волны 0.15419 нм.
Для дальнейших исследований поверхности образцов шлифовали и полировали, металлографическую обработку заканчивали на алмазной пасте зернистостью 1 мкм.
Микроструктура предварительно отожженных образцов изучена на сканирующем электронном микроскопе (СЭМ) FEI dual beam Versa 3D, а также на Axia ChemiSEM HiVac device.
Микроструктура образцов после КВД-обработки исследована на просвечивающем электронном микроскопе (ПЭМ) JEM-2100.
Наноиндентирование проводили на приборе Hysitron TI-950 Tribo-indenter, оснащенном индентором Берковича. Измерения проводили по всей ширине образцов, скорость нагружения была постоянной и равна dP/dt = 40 мН/с. Максимальная нагрузка составила Pmax = 10 Н×м. Численные значения нанотвердости (Н) и модуля Юнга (Е) исследуемых образцов определяли методом Оливера–Фарра на основе характеристических P–h-диаграмм. Средние значения H и E получены путем усреднения полученных результатов.
Кроме того, были проведены измерения микротвердости на приборе ИТВ-1-I-MC. На каждый образец приходилось как минимум 10 отпечатков, полученных при нагрузке 200 г и выдержке 15 секунд. На образцах после КВД измерения проводили на расстоянии 1/2 радиуса от центра диска. Расчет микротвердости проводили по известной формуле вычисления твердости по Виккерсу (1):
. (1)
Здесь P — величина нагрузки, d — средняя длина диагонали отпечатка.
Основная разница между микро- и наноиндентированием заключается в размере индентора, величине прилагаемой нагрузки и глубине вдавливания индентора. Таким образом, при наноиндентировании изучают приповерхностный слой, а при микроиндентировании определяют свойства в глубине материала. Они могут существенно отличаться друг от друга.
Единственным испытанием на прочность, которое подходит для наших небольших образцов, является трехточечный изгиб. Испытания проводили на приборе УТС 111.2–50. Диски после КВД нарезали на 4 пластины шириной 2 мм и устанавливали на держателях с расстоянием между опорами 7.5 мм. Скорость нагружения составляла 200 мкм/мин. Полученные графики зависимости нагрузки P от перемещения S перестраивали в зависимости нагрузки σ (2) от перемещения S и в зависимости нагрузки σ от деформации ε (3). Перемещение S является также максимальным отклонением от центра образца. На основе перестроенных графиков мы определили условный предел текучести σ0.2, модуль Юнга E (4) и предельную прочность σB:
. (2)
Здесь Pm — P×g (ускорение свободного падения), L — расстояние между опорами, b — ширина, h — толщина образца:
; (3)
. (4)
Здесь m — угол между направлениями приложения нагрузки σ и деформации ε.
3. РЕЗУЛЬТАТЫ
3.1. Рентгеноструктурный и фазовый анализ
Рентгеноструктурный анализ образцов проводили после отжигов и после КВД. Результаты расчета долей фаз представлены на рис. 1. На рис. 2 приведены рентгенограммы отожженных (черные линии) и деформированных (красные линии) образцов сплавов. В процессе закалки происходят фазовые переходы β-Ti → α-Ti. При высокой скорости охлаждения вместо α-Ti-фазы с гексагональной плотноупакованной (ГПУ) решеткой может образовываться игольчатый α'-Ti-мартенсит с гексагональной решеткой. Влияние мартенситных структур на пластичность и предельную прочность в сталях отличается от влияния мартенситных структур на эти же свойства в титановых сплавах. В сталях мартенсит приводит к значительному снижению пластичности и одновременному повышению предельной прочности сплавов, тогда как в титановых сплавах наличие мартенсита сопровождается незначительным уменьшением пластичности и повышением предельной прочности [26]. Следует отметить, что из-за подобия решеток α-Ti и α'-Ti их трудно различить при рентгенофазовом анализе [20]. После закалки, помимо различных типов α-Ti-фазы, по кинетическим причинам может остаться более высокая доля β-Ti-фазы, чем это следует из равновесной фазовой диаграммы.
Рис. 1. Объемные доли α-, β- и ω-фаз в сплавах Ti–V после отжига (а) и после КВД (б).Исходя из фазовой диаграммы системы Ti–V, при увеличении концентрации ванадия в сплаве должна линейно увеличиваться доля остаточной β-Ti-фазы. В нашем исследовании мы наблюдали распределение фаз, изображенное на рис. 1а. После КВД образуется также и ω-Ti-фаза, доля которой составляет от 76 до 49 %.
Рис. 2. Рентгенограммы сплавов Ti–2 вес. % V (а), Ti–4 вес. % V (б), Ti–6 вес. % V (в), Ti–8 вес. % V (г), где черные линии соответствуют отожженным образцам, красные — образцам после КВД.
В табл. 1 и 2 приведены размеры областей когерентного рассеивания (ОКР) и параметры решетки для отожженных и обработанных КВД сплавов. Почти во всех случаях разница параметров решетки находится в рамках погрешности. В отожженных сплавах существенно изменяется только параметр c фазы α-Ti. Уменьшение параметра c в сплавах с содержанием ванадия от 2 до 8 вес. % V объясняется увеличением концентрации растворенного в объеме ванадия.
Таблица 1. Размеры ОКР и параметры решетки в сплавах после отжига при 1000°C
Доля V, вес. % | α/α'-Ti | β-Ti | |||
Размер ОКР, нм | a, Å | c, Å | Размер ОКР, нм | a, Å | |
2 | 40 | 2.944 | 4.680 | 70 | 3.246 |
4 | 35 | 2.942 | 4.672 | 67 | 3.240 |
6 | 22 | 2.942 | 4.672 | – | 3.240 |
8 | 37 | 2.943 | 4.660 | 31 | 3.246 |
Таблица 2. Размеры ОКР и параметры решетки в сплавах после предварительного отжига при 1000 °C и КВД
Доля V, вес.% | α/α'-Ti | β-Ti | ω-Ti | |||||
Размер ОКР, нм | a, Å | c, Å | Размер ОКР, нм | a, Å | Размер ОКР, нм | a, Å | c, Å | |
2 | 27 | 2.945 | 4.686 | 19 | 3.248 | 20 | 4.624 | 2.819 |
4 | 22 | 2.946 | 4.685 | 21 | 3.247 | 42 | 4.626 | 2.818 |
8 | 21 | 2.949 | 4.682 | 22 | 3.246 | 62 | 4.627 | 2.816 |
6 | 23 | 2.952 | 4.676 | 21 | 3.250 | 35 | 4.629 | 2.817 |
Из-за близких атомных масс атомов титана и ванадия фазовый контраст на СЭМ-изображениях очень слабый. Это подтверждает и РСФА: при добавлении ванадия решетки α-Ti и β-Ti-фаз практически не изменяются. Идентифицировать зерна при использовании СЭМ практически невозможно, поэтому мы ориентровались на определенные РСФА-методом области когерентного рассеяния.
Фазовый анализ и оценку размера ОКР проводили с помощью программы PowderCell 2.4. Программа использует полнопрофильный метод Ритвельда, который сравнивает экспериментальные спектры эталона и исследуемого вещества, при помощи уточненных профильных и структурных параметров. Для уточнения структурных данных методом Ритвельда обычно используется функция Pseudo-Voigt, которая является линейной комбинацией (по сути сверткой) двух функций — Гаусса и Коши (Лоренца) и хорошо аппроксимирует профиль дифракционных линий.
Известно, что размер ОКР в материалах, подвергнутых КВД, меньше характерного размера зерна, поскольку длина когерентности связана не только с размером зерен, но в большей мере с дефектностью структуры. Для исследуемых образцов были определены средние размеры ОКР для каждой обнаруженной фазы. Средний размер ОКР фазы β-Ti во всех образцах составил 20±2 нм. В то же время средний размер зерен в фазах α-Ti и w-Ti значительно изменяется: в 2–4 раза (см. табл. 1).
3.2. Влияние повышения содержания ванадия в сплаве на структуру и ее эволюцию при КВД
Все сплавы после закалки имеют мартенситный (игольчатый) тип структуры, в которых сложно обнаружить границу раздела между зернами-матрицами (рис. 3). Наиболее явные границы между зернами-матрицами имеет сплав, содержащий 8 вес. % V, рис. 3г. В этом сплаве имеется два типа различимых пластин: светлые иголки и темные пластины.
Рис. 3. Микроструктуры сплавов Ti–2 вес. % V (а), Ti–4 вес. % V (б), Ti–6 вес. % V (в), Ti–8 вес. % V (г), отожженных при 1000°C.
На рис. 4 представлены фотографии структур образцов после КВД, в светлопольном и темнопольном виде, а также их электронограммы.
Риc. 4. ПЭМ-изображения микроструктуры сплавов в светлопольном (сверху), темнопольном (в центре) виде и их электронограммы (снизу) Ti–2 вес. % V (а–в), Ti–4 вес. % V (г–е), Ti–6 вес. % V (ж–и), Ti–8 вес. % V (к–м), после КВД.
На электронограммах приведены соответствующие фазы и их кристаллографические направления для ряда колец. На представленных дифрактограммах справа приведены не все кристаллические плоскости и их структуры, а только имеющие наибольшую интенсивность излучения. Например, на рис. 4в за последним кольцом, принадлежащим ω-Ti (211), явно имеются следы еще одного кольца, с меньшим межплоскостным расстоянием. По причине очень низкой интенсивности этого кольца, и подобных ему, соответствующие им фазы и кристаллографические направления не приводятся справа. Межплоскостные расстояния некоторых приводимых справа колец близки не только к представленным фазам и их кристаллографическим направлениям, но и могут соответствовать другим фазам и кристаллографическим направлениям. Например, межплоскостное расстояние для первого кольца на рис. 4в составляет 0.229±0.01 нм, ближайшие подходящие ему межплоскостные расстояния возможных фаз (α-Ti, β-Ti и ω-Ti) являются α-Ti (002) и α-Ti (101), с межплоскостными расстояниями соответственно 0.234 нм и 0.224 нм, β-Ti (110) с межплоскостным расстоянием 0.234 нм и ω-Ti (101) с межплоскостным расстоянием 0.23 нм. Самым подходящим является ω-Ti (101), тем не менее прочие фазы могут накладываться, образуя общее утолщенное кольцо.
3.3. Кривые нагружения и P–h-зависимости
По полученным в процессе КВД данным построены зависимости крутящего момента от угла поворота плунжера, рис. 5.
Рис. 5. Кривые нагружения сплавов Ti–V в процессе КВД.
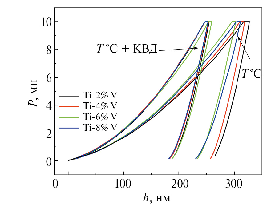
Расчеты твердости и модуля Юнга проведены по P–h-диаграммам, изображенным на рис. 6. Во всех случаях КВД-обработка приводит к уменьшению глубины вдавливания при одинаковых приложенных напряжениях. По данным P–h-кривых было рассчитано упругое восстановление η (табл. 3).
Рис. 6. Кривые P–h-сплавов Ti–V после отжигов и после КВД, где Т°C соответствует 1000°C.
Таблица 3. Средние значения твердости, модуля Юнга и упругого восстановления η сплавов после отжига и после КВД-обработки
Доля V, вес. % | Обработка | H, ГПа | E, ГПа | η, % |
2 | 1000 °C | 4.11 | 119.6 | 20.8 |
4 | 4.29 | 116.0 | 22.8 | |
6 | 4.62 | 118.2 | 26.5 | |
8 | 4.30 | 91.2 | 28.9 | |
2 | 1000 °C+ КВД | 6.36 | 146.0 | 30.8 |
4 | 6.29 | 134.0 | 31.0 | |
6 | 6.19 | 137.0 | 30.8 | |
8 | 6.23 | 132.5 | 31.7 |
Сплав Ti–2 вес. % V также имеет два типа внутренних элементов структуры, тогда как в сплавах Ti–6 вес. % V и Ti–8 вес. % V имеются мартенситные иголки, но не имеется пластин другой фазы.
Упругое восстановление образцов, не подвергнувшихся КВД-обработке, растет от 20.8 до 28.9 %, с ростом концентрации ванадия в сплаве. После КВД упругое восстановление всех сплавов становится примерно равным и составляет 31.2±0.5 %.
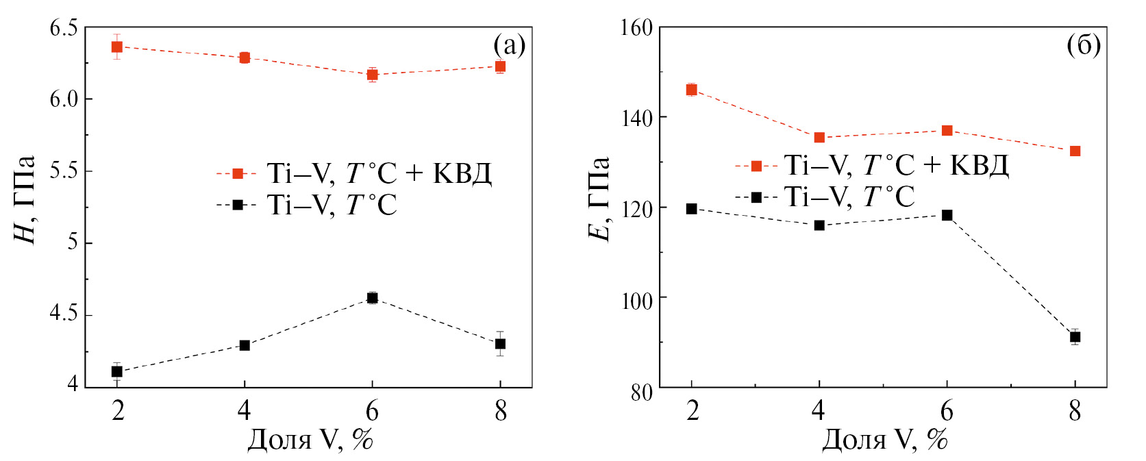
3.4. Влияние содержания ванадия и КВД-обработки на твердость, модуль Юнга и однородность при наноиндентрировании
Значения нанотвердости и модуля Юнга измеряли для отожженных и для обработанных КВД-образцов. Значения нанотвердости вдоль диаметров образцов приведены на рис. 7, значения модуля Юнга на рис. 8. Во всех случаях КВД-обработка привела к повышению твердости и модуля Юнга. При этом в образце, содержащем 2 вес.% V имеется разброс значений твердости вдоль диаметра образца, значения плавно растут от центра к краю, где в центре меньше 4 ГПа, а по краям более 5.5 ГПа. В образце, содержащем 8 вес.% V наблюдаются аномальные значения по краям диска, сравнимые со значениями после КВД.
Рис. 7. Твердость сплавов при наноиндентировании в зависимости от расстояния точки измерения от центра образца, для отожженных (черные квадраты) и обработанных КВД (красные квадраты) образцов Ti–2 вес. % V (а), Ti–4 вес. % V (б), Ti–6 вес. % V (в), Ti–8 вес. % V (г).
Рис. 8. Модуль упругости сплавов при наноиндентировании в зависимости от расстояния точки измерения от центра образца, для отожженных (черные кружки) и обработанных КВД (красные кружки) образцов Ti–2 вес. % V (а), Ti–4 вес. % V (б), Ti–6 вес. % V (в), Ti–8 вес. % V (г).
Средние значения H и E приведены на рис. 9 и в табл. 3. Отожженный сплав Ti–6 вес.% V, имеющий наибольшую долю фазы β-Ti в системе (27%), имеет и наибольшую твердость. В то же время сплавы Ti–4 вес.% V и Ti–8 вес.% V, в которых содержится 2.5 и 10 % фазы β-Ti соответственно, почти не отличаются по значениям нанотвердости.
Рис. 9. Средние значения нанотвердости (а) и модуля упругости (б) для отожженных (черные символы) и обработанных КВД (красные символы ) исследуемых образцов Ti–V.
Нанотвердость образцов после КВД слабо зависит от доли второго компонента.
3.5. Влияние содержания ванадия и обработки методом КВД на твердость при микроиндентировании
Средние значения микротвердости представлены на рис. 10. В отожженных образцах наблюдается корреляция между долями фазы β-Ti и твердостью материала, так что можно сделать вывод, что фаза β-Ti более твердая, чем фаза α-Ti. При этом после КВД не наблюдается прямой корреляции между фазовым составом материала и его твердостью. Доля фазы α-Ti изменяется от 15 до 22 %, в то время как доли фаз ω-Ti и β-Ti изменяются по мере повышения концентрации от 9 до 36 % соответственно. При этом значения твердости, в рамках погрешности, практически не различаются между собой. Таким образом, объем фазы α-Ti меняется незначительно, а фазы ω-Ti и β-Ti заменяют друг друга (доля ω-Ti уменьшается, а доля β-Ti увеличивается). Поэтому можно заключить, что твердости фаз ω-Ti и β-Ti одинаковы. Следует отметить, что КВД приводит к повышению твердости в 1.5–3 раза, в зависимости от состава сплава.
Рис. 10. Средние значения микротвердости для отожженных (черные квадраты) и обработанных КВД (красные квадраты) исследуемых образцов Ti–V.
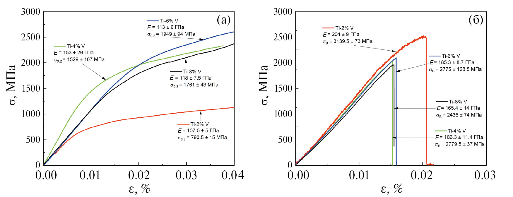
3.6. Влияние содержания ванадия и КВД-обработки на предельную прочность и модуль упругости в испытаниях на трехточечный изгиб
Результаты испытаний на трехточечный изгиб предварительно отожженных образцов и обработанных КВД показаны на рис. 11.
Рис. 11. Результаты испытаний на трехточечный изгиб наиболее средних отожженных (а) и обработанных КВД (б) образцов.
Для пластичных образцов испытания останавливали после некоторой деформации, до достижения предельной прочности. После КВД-обработки все исследуемые образцы показали хрупкое поведение.
На рис. 12 представлены микрофотографии поверхностей разрушения, образовавшихся при испытаниях на трехточечный изгиб. При испытаниях на верхней части происходило сжатие, а на нижней растяжение. Предельная прочность на сжатие обычно выше предельной прочности на растяжение. Поэтому разлом начинался снизу и шел вверх, пока образец не ломался на две части. Во всех случаях поверхность разлома неоднородна, что говорит о хрупкопластическом изломе. Однако на рис. 11б мы не видим пластической дорожки. Таким образом, после появления трещины, она быстро двигалась, упиралась в область, где происходила пластическая деформация, останавливалась или замедлялась, после чего опять начинала распространяться.
Рис. 12. Фотографии изломов образцов после КВД-обработки, образовавшихся при испытаниях на трехточечный изгиб: Ti–2 вес.% V (а, б), Ti–4 вес.% V (в, г), Ti–6 вес.% V (д, е) и Ti–8 вес.% V (ж, з).
4. ОБСУЖДЕНИЕ
Как уже ранее отмечали, после отжигов и закалки все сплавы имели мартенситные структуры. В сплавах, содержащих 2 вес. % V и 8 вес. % V, помимо мартенситных иголок были обнаружены пластины, химический анализ пластин сплава Ti–8 вес. % V показал пониженное содержание ванадия в них. Весьма вероятно, что в сплаве Ti–2 вес. % V наблюдается такая же ситуация, однако из-за низкого содержания ванадия химический анализ не дал различие в компонентном составе отдельных элементов структуры.
Таким образом, у нас наблюдаются две сильно различающихся между собой структуры в четырех изученных сплавах. Далее, концентрации растворенного в объеме ванадия отличаются. По этой причине особый интерес представляет попарное сравнение сплавов Ti–4 вес. % V с Ti–6 вес.% V и Ti–2 вес. % V с Ti–8 вес. % V, у которых похожие структуры, однако в структурных составляющих этих сплавов растворено разное количество ванадия.
4.1. Рентгеноструктурный и фазовый анализ
Рентгеноструктный и фазовый анализ показал, что после обработки кручением под высоким давлением образуется фаза ω-Ti, доля которой уменьшается от 76 до 49 % при повышении содержания ванадия в составе. Одновременно увеличивается объем фазы β-Ti. Становится очевидным, что увеличение доли ванадия в системе смещает равновесие системы при КВД от ω-Ti в сторону β-Ti. Сравнивая с работами, в которых изучали сплавы Ti–3.3 ат. % Co [22] и Ti–(1.98–3.93) вес. % Fe [17] можно заметить существенную разницу в образовании фазы ω-Ti. В сплаве Ti–Co доля фазы ω-Ti оказалась равной 83%, а в системе Ti–Fe, в сплаве с 3.93 вес. % Fe доля фазы ω-Ti была равна 92 %. Остальное было фазой α-Ti. В данной работе доля фазы ω-Ti при 4 вес. % V равна 60 %, а доля фазы β-Ti составляет 19 %. В статье [7] авторы изучали сплав Zr–2.5 % Nb. Цирконий является металлом, схожим по своим структуре и свойствам с титаном, а ниобий — с ванадием. Сплав Zr–Nb предварительно отожгли при 580°С в течение 6 ч, после чего обработали КВД с давлением 4 ГПа, 5 об., 1 об/мин. В результате авторы получили 97 % фазы ω-Ti и 3% фазы α-Ti. Исходя из полученных результатов и их сравнения с результатами других авторов, прослеживается особо сильное положительное влияние ванадия на образование фазы β-Ti в титановых сплавах при их обработке КВД.
Таким образом, мы видим, что структуры образцов Ti–4 вес.% V (рис. 3б) и Ti–6 вес. % V (рис. 3в) после отжигов и фазовый состав тех же сплавов после КВД (рис. 1б) практически не отличаются, но значительно отличаются фазовые составы двух других сплавов. Напрашивается вывод о том, что наибольшее влияние на результаты КВД-обработки вносит не объем растворенного ванадия, а структура материала перед обработкой.
4.2. Влияние концентрации ванадия в сплаве на структуру после КВД
КВД при 7 ГПа, 5 об., 1 об/мин привело к очень сильному измельчению структуры материалов. На рис. 13 приведены средние размеры зерен в четырех исследованных сплавах. В сплаве Ti–8 вес. % V при расчете размера зерен не учитывали не продеформированные пластины. Расчет производили по 100 зернам, таким образом среднее отклонение в 10 раз больше средней ошибки для среднего размера зерна. В целом можно отметить, что средний размер зерен в сплавах Ti–2 вес. % V, Ti–4 вес. % V, Ti–6 вес. % V составляет 60 ± 10 нм, а в сплаве Ti–8 вес. % V он равен 90 ± 5 нм. Как уже отмечали, пластины, показанные на рис. 3а, относятся к более темным пластинам структуры рис. 3г. Изображение на рис. 3г не обрабатывали дополнительной цветокоррекцией и имеет доверительную контрастность, таким образом более темные области соответствуют низкому содержанию ванадия. Нельзя сказать, что более чистые области труднее деформируются при КВД. Так, например, сплавы с меньшим содержанием ванадия в процессе КВД-обработки достигли полностью однородного структурного состояния, в том числе сплав Ti–2 вес. % V, который также имел пластинчатые структуры после закалки. Материалы после КВД-обработки получаются однородными за счет перераспределения внутренних напряжений, которые достигают даже центральных областей и приводят к их деформации. При недостаточной приложенной нагрузке или степени деформации (количества оборотов при КВД) энергии внутренних напряжений может и не хватить для получения однородного состояния. Таким образом, для сплава с 8 вес.% V давление и количество оборотов при КВД оказалось недостаточным, в том числе и для измельчения элементов структуры до 60 ± 10 нм. К сожалению, анализ имеющихся данных не дает однозначного ответа на причину такого поведения сплава при КВД.
Рис. 13. Средний размер зерна в сплавах Ti–V после КВД.
4.3. Влияние содержания ванадия и КВД-обработки на твердость, модуль Юнга и однородность при наноиндентировании
КВД-обработка сплавов привела к увеличению нанотвердости во всех случаях, средний ее рост составляет 1.93 ГПа, или примерно 44%. Модуль Юнга в среднем вырос на 26 ГПа, или примерно на 20%. Резкое падение модуля Юнга в отожженном сплаве Ti–8 вес. % V по сравнению с остальными сплавами вероятно связано с образованием какой-то доли α''-фазы. Ее модуль Юнга значительно ниже, чем у прочих фаз титана [32]. Полученные результаты близки к значениям для Ti–Co [23] и Ti–Fe [18], где нанотвердость меняется от центра к краям в пределах 4–6 ГПа. Авторы работы по Ti–Co выдвинули предположение, что β-матрица способствует снижению твердости сплавов. Это логично, поскольку наличие β-матрицы должно приводить к снижению доли межфазных границ. Тогда дислокации встречают меньше границ по мере своего движения, и, соответственно, затрачивают меньше энергии при движении.
4.4. Влияние содержания ванадия и КВД-обработки на твердость при микроиндентировании
Чистый титан обладает невысокой твердостью, около 130–150 HV [29]. Мы видим, что легирование высокочистого титана (99.98 %) двумя весовыми процентами ванадия почти не меняет твердость (161 HV). В то же время дальнейшее повышения содержания ванадия в составе приводит к росту значений твердости сплавов. Она растет от 161 HV при 2% V до 305.4 HV при 6% V. Тем не менее, это существенно ниже, чем получаемая при специальной обработке твердость популярнейшего титанового сплава Ti–6Al–4V, которая достигает 386.1 HV [33]. В то же время КВД-обработка сплавов, состоящих только из титана и ванадия, привела к повышению твердости от 438.4 HV до 452.8 HV, что уже выше обработанного КВД сплава Ti–6Al–4V, в котором авторы [34] смогли достигнуть максимум 432 HV, и существенно выше, чем получили авторы работы [25] — 360 HV. В то же время следует иметь в виду, что авторы, исследовавшие КВД-обработанный коммерчески чистый титан [35], смогли достичь значение 390 HV. Как уже ранее говорили, из полученных нами результатов напрашивается вывод, что фаза α-Ti обладает более низкой твердостью, чем фазы β-Ti и ω-Ti. При этом между собой твердость этих фаз отличается незначительно. Можно предположить, что, получив такую же ультрамелкозернистую структуру, но состоящую только из фаз β-Ti и ω-Ti, мы получим титановый сплав с твердостью выше 450 HV.
4.5. Влияние содержания ванадия и КВД-обработки на предельную прочность и модуль упругости, полученные в испытаниях на трехточечный изгиб
Полученные нами значения предельной прочности, условного предела текучести и максимальной деформации на трехточечном изгибе нельзя сравнивать с данными, полученными в измерениях микро- и нанотвердости. На рис. 14а для предварительно отожженных образцов представлена зависимость средних значений условного предела текучести (σ0.2) от содержания ванадия в составе. Как и в случае измерения микротвердости, наблюдается прямая корреляция условного предела текучести с фазовым составом (см. рис. 1а). Повышение доли фазы β-Ti в сплаве приводит к увеличению условного предела текучести σ0.2. Сравнивая рис. 14б, на котором представлена зависимость предельной прочности (σB) обработанных КВД-образцов, и рис. 1б, мы наблюдаем корреляцию σB и фазового состава. А именно, со снижением доли фазы ω-Ti при росте содержания ванадия снижается и предельная прочность.
Аналогичную корреляцию мы видим и для модуля Юнга. Его средние значения в зависимости от содержания ванадия в образце представлены на рис. 14в. Таким образом, фаза ω-Ti имеет более высокую предельную прочность и модуль Юнга, чем фазы α-Ti и β-Ti. Представляет интерес сравнение максимальной деформации образцов после КВД, при которой происходит разрушение. На рис. 14г сравниваются средние значения. С учетом погрешности их разница несущественна. Тем не менее деформация разрушения тоже коррелирует с долей фазы ω-Ti, предельной прочностью и модулем Юнга. Принято считать, что ω-Ti способствует охрупчиванию материала. Наши результаты показывают другую картину, делать однозначные выводы пока рано, необходимы дальнейшие исследования взаимосвязи между фазой ω-Ti и пластичностью материала.
Рис. 14. Средние значения (а) условного предела текучести σ0.2 отожженных образцов, (б) предела прочности образцов σB после КВД, (в) модуля упругости на изгиб после отжигов и после КВД и (г) максимальной деформации перед разрушением образцов после КВД в зависимости от доли второго компонента (V) в сплаве.
ВЫВОДЫ
- Повышение содержания ванадия в Ti–V-сплавах приводит в процессе КВД-обработки к снижению доли фазы ω-Ti и увеличению доли фазы β-Ti.
- КВД-обработка образцов сплавов Ti–V привела к увеличению нанотвердости до 6.2±2 ГПа и микротвердости до 440±10 HV по сравнению с отожженным состоянием на 50 и 100% соответственно.
- Сплавы, в которых в процессе КВД образуется больший объем фазы ω-Ti, а значит, и меньший объем фазы β-Ti, имеют более высокие значения модуля упругости.
- Это означает, что сплавы с меньшей долей фазы ω-Ti после КВД-обработки имеют также и меньший предел прочности на изгиб.
- Изученные сплавы Ti–V, подвергнутые КВД-обработке, имеют близкие значения деформация.
Работа частично выполнена в рамках госзадания НЦЧ ИФТТ РАН.
Мы выражаем глубокую признательность за поддержку ЦКП ИФТТ РАН.
Авторы данной работы заявляют, что у них нет конфликта интересов.
Об авторах
Г. С. Давдян
Институт физики твердого тела имени Ю.А. Осипьяна РАН; Национальный исследовательский технологический университет “МИСИС”
Автор, ответственный за переписку.
Email: faberest@yandex.ru
Россия, ул. Академика Осипьяна, 2, Черноголовка, Московская обл., 142432; Ленинский пр-т, 4, Москва, 119049
А. С. Горнакова
Институт физики твердого тела имени Ю.А. Осипьяна РАН
Email: faberest@yandex.ru
Россия, ул. Академика Осипьяна, 2, Черноголовка, Московская обл., 142432
Б. Б. Страумал
Институт физики твердого тела имени Ю.А. Осипьяна РАН; Национальный исследовательский технологический университет “МИСИС”
Email: faberest@yandex.ru
Россия, ул. Академика Осипьяна, 2, Черноголовка, Московская обл., 142432; Ленинский пр-т, 4, Москва, 119049
В. И. Орлов
Институт физики твердого тела имени Ю.А. Осипьяна РАН
Email: faberest@yandex.ru
Россия, ул. Академика Осипьяна, 2, Черноголовка, Московская обл., 142432
Н. С. Афоникова
Институт физики твердого тела имени Ю.А. Осипьяна РАН
Email: faberest@yandex.ru
Россия, ул. Академика Осипьяна, 2, Черноголовка, Московская обл., 142432
А. И. Тюрин
Научно-исследовательский институт Нанотехнологий и Наноматериалов, Тамбовский государственный университет имени Г.Р. Державина
Email: faberest@yandex.ru
Россия, ул. Советская, 106/5, Тамбов, 392000
А. В. Дружинин
Институт физики твердого тела имени Ю.А. Осипьяна РАН
Email: faberest@yandex.ru
Россия, ул. Академика Осипьяна, 2, Черноголовка, Московская обл., 142432
А. Кильмаметов
Лаборатория технологических и материаловедческих исследований
Email: faberest@yandex.ru
Франция, Вильтанез, 93430
С. Соммадосси
Институт исследований в области инженерных наук и технологий Национального университета Комауэ Национального совета по научным и техническим исследованиям
Email: faberest@yandex.ru
Аргентина, ул. Буэнос Айрес 1400 (Q8300IBX), Неукен — Патагония, 1400
Список литературы
- Страумал Б.Б., Заворотнев Ю.Д., Давдян Г.С. Кручение под высоким давлением и фазовые превращения в металлических сплавах // Физика и техника высоких давлений. 2022. Т. 32. № 4.
- Cao Y., Ni S., Liao X., Song M., Zhu Y. Structural evolutions of metallic materials processed by severe plastic deformation // Mater. Sci. Eng.: R: Reports. 2018. V. 133. P. 1–59.
- Valiev R.Z., Islamgaliev R.K., Alexandrov I.V. Bulk nanostructured materials from severe plastic deformation // Progress Mater. Sci. 2000. V. 45. № 2. P. 103–189.
- Langdon T.G. Twenty-five years of ultrafine-grained materials: Achieving exceptional properties through grain refinement // Acta Mater. 2013. V. 61. № 19. P. 7035–7059.
- Vinogradov A., Estrin Y. Analytical and numerical approaches to modelling severe plastic deformation. // Progress in Mater. Sci. 2018. V. 95. P. 172–242.
- Edalati K., Horita Z. A review on high-pressure torsion (HPT) from 1935 to 1988 // Mater. Sci. Engineering: A. 2016. V. 652. P. 325–352.
- Rogachev S.O., Sundeev R.V., Nikulin S.A. Effect of severe plastic deformation by high-pressure torsion at different temperatures and subsequent annealing on structural and phase transformations in Zr-2.5% Nb alloy // J. Alloys Compounds. 2021. V. 865. P. 158874.
- Zhilyaev A.P., Langdon T.G. Using high-pressure torsion for metal processing: Fundamentals and applications // Progress in Mater. Sci. 2008. V. 53. № 6. P. 893–979.
- Shirooyeh M., Xu J., Langdon T.G. Microhardness evolution and mechanical characteristics of commercial purity titanium processed by high-pressure torsion // Mater. Sci. Eng.: A. 2014. V. 614. P. 223–231.
- Straumal B.B., Kilmametov A.R., Ivanisenko Y., Mazilkin A.A., Valiev R.Z., Afonikova N.S., Gornakova A.S., Hahn H. Diffusive and displacive phase transitions in Ti–Fe and Ti–Co alloys under high pressure torsion // J. Alloys Compounds. 2018. V. 735. P. 2281–2286.
- Cvijović-Alagić I., Rakin M., Laketić S., Zagorac D. Microstructural study of Ti45Nb alloy before and after HPT processing using experimental and ab initio data mining approach // Mater. Characteriz. 2020. V. 169. P. 110635.
- Korneva A., Straumal B., Kilmametov A., Kopacz S., Szczerba M., Cios G., Lityńska-Dobrzyńska L., Chulist R. Phase transitions and mechanical behavior of Ti-3wt.% Nb alloy after high pressure torsion and low-temperature annealing // Mater. Sci. Eng.: A. 2022. V. 857. P. 144096.
- Kilmametov A., Ivanisenko Y., Straumal B., Mazilkin A.A., Gornakova A.S., Kriegel M.J., Fabrichnaya O.B., Rafaja D. Hahn H. Transformations of α'martensite in Ti–Fe alloys under high pressure torsion // Scripta Mater. 2017. V. 136. P. 46–49.
- Jiang B., Men D., Emura S., Tsuchiya K. Microstructural response and mechanical properties of α-precipitated Ti-5Al-5Mo-5V-3Cr alloy processed by high-pressure torsion // J. Mater. Research Techn. 2023. V. 23. P. 564–576.
- Kerber M., Waitz T., Matsuda M. Structural changes of TiPt high-temperature shape memory alloys induced by high pressure torsion // J. Alloys Compounds. 2023. V. 935. P. 168037.
- Sun K., Sun B., Yi X., Yaqian Y., Meng X., Gao Z., Cai W. The microstructure and martensitic transformation of Ti-13V-3Al light weight shape memory alloy deformed by high-pressure torsion // J. Alloys Compounds. 2022. V. 895. P. 162612.
- Roy S., Sharma A., Chaudhuri A., Huang Y., Langdon T.G., Suwas S. Microstructure evolution and mechanical response of a boron-modified Ti-6Al-4V alloy during high-pressure torsion processing // Mater. Sci. Eng.: A. 2022. V. 86. P. 144124.
- Gornakova A.S., Straumal B.B., Mazilkin A.A., Afonikova N.S., Karpov M.I., Novikova E.A., Tyurin A.I. Phase composition, nanohardness and young’s modulus in Ti–Fe alloys after heat treatment and high pressure torsion // Metals. 2021. V. 11. № 10. P. 1657.
- Shen J., Nagasaka T., Tokitani M., Muroga T., Kasada R., Sakurai S. Effects of titanium concentration on microstructure and mechanical properties of high-purity vanadium alloys // Mater. Design. 2022. V. 224. P. 111390.
- Deng G., Bhattacharjee T., Chong Y., Zheng R., Bai Y., Shibata A., Tsuji N. Influence of Fe addition in CP titanium on phase transformation, microstructure and mechanical properties during high pressure torsion // J. Alloys Compounds. 2020. V. 822. P. 153604.
- Sinha S., Sahu V.K., Beura V., Sonkusare R., Kalsar R., Das A.K., Basu J., Gurao N.P., Biswas K. Initial texture dependence of nanocrystalline omega phase formation during high pressure torsion of commercially pure titanium // Mater. Sci. Eng.: A. 2021. V. 802. P. 140687.
- Barjaktarević D., Bajat J., Cvijović-Alagić I., Dimić I., Hohenwarter A., Đokić V., Rakin M. The corrosion resistance in artificial saliva of titanium and Ti-13Nb-13Zr alloy processed by high pressure torsion // Procedia Struct. Integrity. 2018. V. 13. P. 1834–1839.
- Korneva A., Straumal B., Kilmametov A., Gondek Ł., Wierzbicka-Miernik A., Lityńska-Dobrzyńska L., Cios G., Chulist R., Zięba P. Thermal stability and microhardness of metastable ω-phase in the Ti-3.3 at.% Co alloy subjected to high pressure torsion // J. Alloys Compounds. 2020. V. 834. P. 155132.
- Gunderov D., Prokoshkin S., Churakova A., Sheremetyev V., Ramazanov I. Effect of HPT and accumulative HPT on structure formation and microhardness of the novel Ti18Zr15Nb alloy // Mater. Letters. 2021. V. 283. P. 128819.
- Wang Y.C., Langdon T.G. Effect of heat treatment on microstructure and microhardness evolution in a Ti-6Al-4V alloy processed by high-pressure torsion // J. Mater. Sci. 2013. V. 48. P. 4646–4652.
- Носова Г.И. Фазовые превращения в сплавах титана. М.: Металлургия, 1968. С. 1–181.
- Цвиккер У. Титан и его сплавы. 1979.
- Murray J.L. The Ti– V (titanium-vanadium) system // Bulletin of Alloy Phase Diagrams. 1981. V. 2. № 1. P. 48–55.
- Ильин А.А., Колачев Б.А., Полькин И.С. Титановые сплавы. 2009.
- Hu B., Sridar S., Hao L, Xiong W. A new thermodynamic modeling of the Ti–V system including the metastable ω phase // Intermetallics. 2020. V. 122. P. 106791.
- Davdian G.S., Gornakova A.S., Straumal B.B., Korneva A., Afonikova N.S., Novikova E.A., Tyurin A.I. Effect of pre-annealing on the formation of the ω-phase in the Ti-2 wt% V alloy after high-pressure torsion // J. Mater. Sci. 2024. P. 1–16.
- Ho W.F., Ju C.P., Lin J.C. Structure and properties of cast binary Ti–Mo alloys // Biomaterials. 1999. V. 20. № 22. P. 2115–2122.
- Abdalla A.O., Amrin A., Muhammad S., Hanim M.A. Effect of heat treatment parameters on the microstructure and microhardness of Ti-6Al-4V alloy / In AIP Conference Proceedings. 2017. V. 1865. № 1. AIP Publishing.
- Deng G., Zhao X., Su L., Wei P., Zhang L., Zhan L., Chong Y., Zhu H., Tsuji N. Effect of high pressure torsion process on the microhardness, microstructure and tribological property of Ti6Al4V alloy // J. Mater. Sci. Techn. 2021. V. 94. P. 183–195.
- Shirooyeh M., Xu J., Langdon T.G. Microhardness evolution and mechanical characteristics of commercial purity titanium processed by high-pressure torsion // Mater. Sci. Eng.: A. 2014. V. 614. P. 223–231.
Дополнительные файлы
















