Модификация структуры и магнитных свойств пленок Gd, легированных Co
- Авторы: Низаев А.Н.1, Кудюков Е.В.1, Горьковенко А.Н.1, Семкин М.А.1,2, Кравцов Е.А.1,2, Лепаловский В.Н.1, Свалов А.В.1, Васьковский В.О.1,2
-
Учреждения:
- Уральский федеральный университет
- Институт физики металлов УрО РАН
- Выпуск: Том 126, № 1 (2025)
- Страницы: 3-10
- Раздел: ЭЛЕКТРИЧЕСКИЕ И МАГНИТНЫЕ СВОЙСТВА
- URL: https://medbiosci.ru/0015-3230/article/view/288506
- DOI: https://doi.org/10.31857/S0015323025010017
- EDN: https://elibrary.ru/CALLCX
- ID: 288506
Цитировать
Аннотация
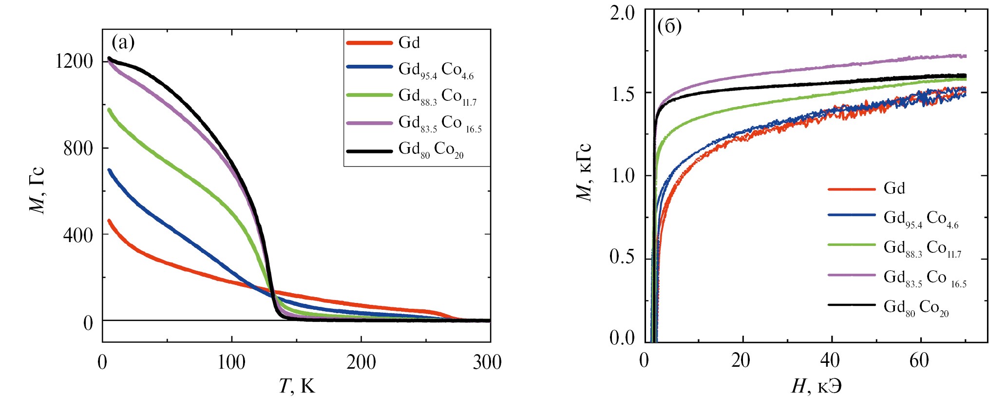
Представлены экспериментальные данные по структуре и магнитным свойствам пленок системы Gd–Co с низким содержанием Со (до 20 ат. %), полученных методом магнетронного распыления. Найдено, что пленки чистого Gd отличаются структурной неоднородностью, выражающейся в наличии кристаллических ГПУ- и ГЦК-фаз и предположительно рентгеноаморфной фазы с большой дисперсией в размерах нанокристаллитов. Ферромагнетизм кристаллического состояния и обменная фрустрированность нанокристаллической фазы обеспечивают асперомагнитное состояние пленок. Аморфизация, нарастающая с увеличением содержания Со, приводит к формированию более однородного распределения атомов Gd в среде и обеспечивает постепенный переход к ферромагнитному состоянию, но с пониженной температурой Кюри.
Ключевые слова
Полный текст
Об авторах
А. Н. Низаев
Уральский федеральный университет
Email: vladimir.vaskovskiy@urfu.ru
Россия, ул. Мира, 19, Екатеринбург, 620002
Е. В. Кудюков
Уральский федеральный университет
Email: vladimir.vaskovskiy@urfu.ru
Россия, ул. Мира, 19, Екатеринбург, 620002
А. Н. Горьковенко
Уральский федеральный университет
Email: vladimir.vaskovskiy@urfu.ru
Россия, ул. Мира, 19, Екатеринбург, 620002
М. А. Семкин
Уральский федеральный университет; Институт физики металлов УрО РАН
Email: vladimir.vaskovskiy@urfu.ru
Россия, ул. Мира, 19, Екатеринбург, 620002; ул. С. Ковалевской, 18, Екатеринбург, 620108
Е. А. Кравцов
Уральский федеральный университет; Институт физики металлов УрО РАН
Email: vladimir.vaskovskiy@urfu.ru
Россия, ул. Мира, 19, Екатеринбург, 620002; ул. С. Ковалевской, 18, Екатеринбург, 620108
В. Н. Лепаловский
Уральский федеральный университет
Email: vladimir.vaskovskiy@urfu.ru
Россия, ул. Мира, 19, Екатеринбург, 620002
А. В. Свалов
Уральский федеральный университет
Email: vladimir.vaskovskiy@urfu.ru
Россия, ул. Мира, 19, Екатеринбург, 620002
В. О. Васьковский
Уральский федеральный университет; Институт физики металлов УрО РАН
Автор, ответственный за переписку.
Email: vladimir.vaskovskiy@urfu.ru
Россия, ул. Мира, 19, Екатеринбург, 620002; ул. С. Ковалевской, 18, Екатеринбург, 620108
Список литературы
- Buravikhin V.A., Bochkarev V.F., Egorov V.A., Shelkovnikov V.N., Odnokurtsev A.D., Sukhomlin V.T. Magnetic compensation in iron-gadolinium and iron-terbium films // Soviet Physics Journal. 1971. V. 14. P. 1530–1533.
- González J., Andrés J., Lopez Anton R. Applied Trends in Magnetic Rare Earth/Transition Metal Alloys and Multilayers // Sensors. 2021. V. 21. P. 5615.
- Bellouard C., George B., Marchal G., Maloufi N., Eugène J. Influence of the thickness of the CoFe layer on the negative spin-valve effect in CoFe/Ag/CoFeGd trilayers // J. Magn. Magn. Mater. 1997. V. 165. P. 312–315.
- Lai C.H., Lin C.C., Chen B.M., Shieh H.P.D., Chang C.R. Positive giant magnetoresistance in ferrimagnetic/Cu/ferrimagnetic films // J. Appl. Phys. 2001. V. 89. P. 7124–7126.
- Svalov A.V., Savin P.A., Kurlyandskaya G.V., Gutiérrez J., Barandiarán J.M., Vas'kovskiy V.O. Spin-Valve Structures with Co–Tb-Based Multilayers // IEEE Trans. Magn. 2002. V. 38. P. 2782–2784.
- Jiang X., Gao L., Sun J.Z., Parkin S.S.P. Temperature dependence of current-induced magnetization switching in spin valves with a ferrimagnetic CoGd free layer // Phys. Rev. Lett. 2006. V. 97. P. 217202.
- Yang D.Z., You B., Zhang X.X., Gao T.R., Zhou S.M., Du J. Inverse giant magnetoresistance in FeCuGd1-xCox spin-valves // Phys. Rev. B-Condens. Matter Mater. Phys. 2006. V. 74. P. 024411.
- Bai X.J., Du J., Zhang J., You B., Sun L., Zhang W., Hu A., Zhou S.M. Influence of the thickness of the FeCoGd layer on the magnetoresistance in FeCoGd-based spin valves and magnetic tunnel junctions // J. Phys. D: Appl. Phys. 2008. V. 41. P. 215008.
- Stanciu A.E., Schinteie G., Kuncser A., Iacob N., Trupina L., Ionita I., Crisan O., Kuncser V. Unexpected magneto-functionalities of amorphous Fe-Gd thin films crossing the magnetization compensation point // J. Magn. Magn. Mater. 2020. V. 498. P. 166173.
- Mandru A., Yildirim O., Marioni M., Rohrmann H., Heigl M., Ciubotariu O., Penedo M., Zhao X., Albrecht M., Hug H. Pervasive artifacts revealed from magnetometry measurements of rare earth-transition metal thin films // J. Vac. Sci. Technol. 2020. V. 38. P. 023409.
- Hussain R. Sperimagnetism in perpendicularly magnetized Co-Tb alloy-based thin films // J. Supercond. Nov. Magn. 2019. V. 32. P. 4027–4031.
- Luzgin N.I., Domyshev V.A. Magnetoelastic properties of RCo2 films // Soviet Physics Journal. 1975. V. 18. P. 1374–1378.
- Bochkarev V.F., Buravikhin V.A., Sukhomlin V.T., Egorov V.A. The hall effect and electrical properties of films of DyCo5 // Soviet Physics Journal. 1973. V. 16. P. 1753–1755.
- Buravikhin V.A., Egorov V.A., Sidorenko L.M., Apkhanov V.B. Structural transformations in the SmCo5 alloy films // Izvestiya Akademii Nauk SSSR, Metally. 1979. P. 188–192.
- Hu Z., Besbas J., Siewierska K., Smith R., Stamenov P., Coey J.M.D. Magnetism, transport, and atomic structure of amorphous binary YxCo1-x alloys // Phys. Rev. 2024. V. 109. P. 014409.
- Свалов А.В., Курляндская Г.В., Балымов К.Г., Васьковский В.О. Спиновые клапаны на основе аморфных ферримагнитных пленок Gd–Co // ФММ. 2016. Т. 117. № 9. С. 907–913.
- Balymov K.G., Kudyukov E.V., Vas'kovskiy V.O., Adanakova O.A., Kulesh N.A., Stepanova E.A., Rusalina A.S. Magnetism of amorphous Dy-Tb-Co-type films // J. Phys.: Conference Series. 2019. V. 1389. P. 012014.
- Коплак О.В., Кашин С.Н., Королев Д.В., Жидков М.В., Пискорский В.П., Валеев Р.А., Моргунов Р.Б. Магнитные свойства и магнитокалорический эффект в пленках и микропроводах Gd // ФТТ. 2023. Т. 65. № 3. С. 424–431.
- Zhang Y.Z., Zhang S.R., Yu D.B. Structural properties and crystal orientation of polycrystalline Gd films // Rare Met. 2023. V. 42. P. 1414–1419.
- Kashaev A.A., Ushchapovskii L.V., Il'in A.G. Electron diffraction and X-ray diffraction study of rare earth metal oxides in thin films // Kristallografiya. 1975. V. 20. P. 192–193.
- Scheunert G., Ward C., Hendren W.R., Lapicki A.A., Hardeman R., Mooney M., Bowman R.M. Influence of strain and polycrystalline ordering on magnetic properties of high moment rare earth metals and alloys // J. Phys. D: Appl. Phys. 2014. V. 47(41). P. 415005.
- Balli M., Jandl S., Fournier P., Kedous-Lebouc A. Advanced materials for magnetic cooling: Fundamentals and practical aspects // Appl. Phys. Rev. 2017. V. 4. P. 021305.
- Vas’kovskiy V.O., Svalov A.V., Gorbunov A.V., Schegoleva N.N., Zadvorkin S.M. Structure and magnetic properties of Gd/Si and Gd/Cu multilayered films // Physica B: Condensed Matter. 2002. V. 315. P. 143–149.
- Kudyukov E.V., Vas'kovskiy V.O., Svalov A.V., Balymov K.G., Maltseva V.E. Concentration features of the magnetism of Gd100-xCox films: Changing X from 0 to 100 // J. Magn. Magn. Mater. 2023. V. 565. P. 170254–170254.
- Döbrich F., Kohlbrecher J., Sharp M., Eckerlebe H., Birringer R., Michels A. Neutron scattering study of the magnetic microstructure of nanocrystalline gadolinium // Phys. Rev. B. 2012. V. 85. P. 094411.
- Michels A., Döbrich F., Elmas M., Ferdinand A., Markmann J., Sharp M., Eckerlebe H., Kohlbrecher J., Birringer R. Spin structure of nanocrystalline gadolinium // Europhysics Lett. 2008. V. 81. P. 66003.
- Mathew S.P., Kaul S.N. Magnetization processes in nanocrystalline gadolinium // J. Phys. Condens. Matter. 2012. V. 24. P. 256008.
- Русалина А.С., Лепаловский В.Н., Степанова Е.А., Юшков А.А., Горьковенко А.Н., Кудюков Е.В., Васьковский В.О., Курляндская Г.В., Свалов А.В. Спин-флоп-переход вблизи температуры магнитной компенсации в аморфных ферримагнитных пленках Dy–Co, полученных ионно-плазменным напылением // ФТТ. 2024. Т. 66. № 6. С. 827.
- Свалов А.В., Макарочкин И.А., Кудюков Е.В., Степанова Е.А., Васьковский В.О., Larrañaga А., Курляндская Г.В. Изменение магнитной структуры при варьировании толщины магнитных слоев в пленках [Tb–Co/Si]n // ФММ. 2021. Т. 122. № 2. С. 125–130.
- Hsu Chin-Jui, Prikhodko S.V., Wang Chiu-Yen, Chen Lih-Juann, Carman G. Magnetic anisotropy in nanostructured gadolinium // Journal of Applied Physics. 2012. V. 111. P. 053916.
- Chizhov P.E., Kostigov A.N., Petinov V.I. Structure and magnetic properties of rare earth small particles // Solid State Commun. 1982. V. 42. P. 323–326.
- Bertelli T.P., Passamani E.C., Larica C., Nascimento V.P., Takeuchi A.Y., Pessoa M.S. Ferromagnetic properties of fcc Gd thin films // J. Appl. Phys. 2015. V. 117. P. 203904.
Дополнительные файлы







