Magnetic properties of fcc iron-nickel alloys at finite temperatures
- Authors: Melnikov N.B.1, Reser B.I.2
-
Affiliations:
- Lomonosov Moscow State University
- Mikheev Institute of Metal Physics, Ural Branch, Russian Academy of Sciences
- Issue: Vol 126, No 1 (2025)
- Pages: 30-37
- Section: ЭЛЕКТРИЧЕСКИЕ И МАГНИТНЫЕ СВОЙСТВА
- URL: https://medbiosci.ru/0015-3230/article/view/288520
- DOI: https://doi.org/10.31857/S0015323025010044
- EDN: https://elibrary.ru/BZYHOG
- ID: 288520
Cite item
Abstract
For the disordered fcc alloy FexNi1−x, we study the dependence of the Curie temperature, average and local magnetic moments on the concentration x. We show how the dependence of the average and local magnetic moments on the concentration changes with temperature. The problem is considered in the renormalized Gaussian approximation of the dynamic spin-fluctuation theory. The numerical results are in good agreement with the experiment.
Full Text
ВВЕДЕНИЕ
Анализ взаимосвязи электронной структуры и магнитных свойств железоникелевых сплавов остается важной проблемой в теории и приложениях [1, 2]. Значительная часть теоретических работ посвящена исследованию фазовой диаграммы (см., напр., [3, 4]).
В расчетах магнитных характеристик ГЦК-железоникелевых сплавов при конечных температурах нелокальными спиновыми корреляциями либо пренебрегают, используя приближение когерентного потенциала и динамическую теорию среднего поля (ПКП+ДТСП; см., напр., [5, 6]), либо описывают их с помощью различных приближений для эффективных гамильтонианов с классическими спинами (см., напр., [7–11]).
Одновременный учет квантового характера и нелокальности спиновых флуктуаций реализован пока лишь в динамической теории спиновых флуктуаций (ДТСФ) [12]. Использование ДТСФ позволило рассчитать температурную зависимость магнитных характеристик инварного сплава Fe0.65Ni0.35 [13, 14] и получить зависимость температуры Кюри разупорядоченного ГЦК-сплава FexNi1–x от концентрации x [15].
В настоящей работе для разупорядоченного ГЦК-сплава FexNi1–x детально изучается зависимость различных магнитных характеристик: спиновых флуктуаций, среднего и локального магнитных моментов — от температуры и концентрации x. Мы исследуем, как меняется зависимость среднего и локального магнитных моментов от x с ростом температуры (качественный характер этих кривых в сплавах был исследован в [16]), и анализируем сходство зависимости магнитных моментов и температуры Кюри от x. Проблема рассматривается в перенормированной гауссовой аппроксимации динамической теории спиновых флуктуаций (ДТСФ-ПГА) [12, 14] с использованием спин-поляризованных плотностей электронных состояний, рассчитанных в ККР-ПКП [15]. Результаты ДТСФ-ПГА сравниваются с другими расчетами и экспериментом.
Изложение построено следующим образом. В разделе 2 кратко описана расчетная схема. В разделе 3 дан обзор теории и эксперимента, связанных с кривой Слэтера–Полинга. В разделе 4 приведены результаты при конечных температурах. В разделе 5 сформулированы выводы.
ТЕОРЕТИЧЕСКАЯ МОДЕЛЬ
В основе ДТСФ лежит квадратичная аппроксимация свободной энергии F (V) во флуктуирующем обменном поле V, которая позволяет выполнить самосогласованное усреднение по всем конфигурациям поля. При конечной температуре T (в энергетических единицах) решается система нелинейных уравнений для средних квадратов флуктуаций обменного поля на узле:
, (1)
где N — число узлов кристаллической решетки, Nd = 5 — число d-полос на атом и спин,
,
для среднего обменного поля:
(2)
и химического потенциала μ:
, (3)
где nσ — число электронов с проекцией спина σ = ↑, ↓ или ±1, ne — полное число электронов (на атом и полосу). В приведенных соотношениях — динамическая восприимчивость, f (ε) = [exp ((ε − μ) / T) + 1]−1 — функция Ферми,
— средняя одноузельная функция Грина, где ν (ε) — немагнитная плотность электронных состояний (ПЭС) на атом, полосу и спин, ΔΣσ (ε) — флуктуационный вклад в собственно-энергетическую часть, вычисляемый по формуле:
.
В ДТСФ-ПГА делается перенормировка квадратичной аппроксимации свободной энергии во флуктуирующем поле F (V) за счет членов высокого порядка по V. В окончательных уравнениях это приводит к перенормировке среднего спина и восприимчивости:
. (4)
Поправочный коэффициент имеет вид:
, (5)
где W — ширина d-полосы, — локальная статическая восприимчивость.
При T = 0 средние квадраты флуктуаций обращаются в нуль и система переходит в систему уравнений теории среднего поля Стонера (2) и (3). Это дает возможность найти эффективную константу U по известному магнитному моменту mz (T = 0), после чего при исходная система решается методом продолжения по параметру относительно переменных , , <Vz>, μ и ΔΣσ (ε) [17]. Вычисление температурной зависимости магнитных характеристик от параметров выполняется с помощью программы MAGPROP [18].
Квадраты среднего и локального спинов отличаются на величину среднеквадратичной спиновой флуктуации :
.
(Здесь <...> — квантовостатистическое среднее при температуре T.) Спиновые флуктуации складываются из флуктуаций при T = 0 ("нулевых") и температурных флуктуаций:
.
В ДТСФ мы рассматриваем только температурные флуктуации, полагая . Считаем, что “нулевые” флуктуации уже учтены за счет перенормировки константы U. При T = 0 температурная флуктуация тоже обращается в нуль: . Тогда средний mz (T) = gNdsz (T) [μB] и локальный mL (T) = gNdsL (T) [μB] магнитные моменты при T = 0 совпадают: mz (0) = mL (0). При конечной температуре, решая систему уравнений ДТСФ-ПГА (1)–(5), находим локальный магнитный момент по формуле:
.
МАГНИТНЫЙ МОМЕНТ ПРИ T = 0
Магнитный момент ферромагнитных металлов и сплавов при довольно хорошо описывается правилом Слэтера, которое обобщает правило Хунда для атома на случай металлов. По правилу Слэтера магнитный момент (в единицах ) равен числу нескомпенсированных по спину d-электронов на атом (см. [21]). Для ферромагнитных металлов и сплавов получаем:
, (6)
где среднее число d-электронов на атом в металле Ne = Ndne может быть дробным1. Обоснование (6) вытекает из теории Стонера. Из (2) и (3) следует
.
Если полоса d-состояний со спином вверх целиком заполнена (как в Co и Ni), а значит дальнейшая поляризация не приводит к росту магнитного момента, получаем линейную зависимость, убывающую под углом 45 градусов с ростом Ne. Максимальный магнитный момент находится между Fe и Co и отвечает почти целиком заполненной d-полосе. Зависимость магнитного момента от среднего числа электронов на атом, известная как кривая Слэтера–Полинга [19], дает хорошее приближение для сплавов металлов с близкими атомными номерами, в частности Fe-Co, Co–Ni и Fe–Ni (рис. 1)2.
Рис. 1. Кривая Слэтера–Полинга для сплавов Fe, Co и Ni. Экспериментальные значения взяты из [19], кроме ГЦК-сплавов Fe–Co [20] и Fe–Ni [4]. Значения mz при T = 0, использованные в расчетах ДТСФ-ПГА, обозначены звездочками.
Изложенные выше факты были подтверждены нашими расчетами mz при T = 0 в теории Стонера [16]. В рамках теории Стонера можно считать, что сплавление приводит лишь к смещению уровня Ферми [23]. Поэтому расчеты [16] были выполнены с помощью варьирования Ne для ПЭС железа, кобальта и никеля. Однако расчеты, выполненные при конечных температурах, показали, что поведение кривой Слэтера–Полинга в теории Стонера и в ДТСФ имеет даже качественно различный характер, из-за того, что теория Стонера полностью игнорирует спиновые флуктуации.
РЕЗУЛЬТАТЫ ПРИ КОНЕЧНЫХ ТЕМПЕРАТУРАХ
Мы исследуем разупорядоченный ГЦК-сплав FexNi1–x при концентрациях железа x от 0.1 до 0.63, используя те же исходные немагнитные ПЭС при T = 0, что и в работе [15]. Спин-поляризованные ПЭС, рассчитанные в ККР-ПКП для ГЦК FexNi1–x при x от 0.1 до 0.6 [15], находятся в хорошем согласии со спин-поляризованными ПЭС для x = 0.4 и 0.6, вычисленными в [24]. Немагнитная ПЭС сплава вычислена по схеме, описанной в работе [13]. Полученные ПЭС сглажены с помощью свертки с функцией Лоренца полуширины Г = 0.001 W для удаления нефизических пиков в зонном расчете, который полностью игнорирует затухание одноэлектронных состояний. ПЭС сплавов FexNi1–x, нормированные на одно d-состояние (на атом, полосу и спин), изображены на рис. 2. Зависимость магнитного момента при T = 0 от числа электронов лежит на правой ветви кривой Слэтера–Полинга, отвечающей сплавам с ГЦК-решеткой (рис. 1).
Рис. 2. ПЭС d-электронов разупорядоченного ГЦК-сплава FexNi1–x при 0.1 ≤ x ≤ 0.6, сглаженная с помощью свертки с функцией Лоренца полуширины Г = 0.001 W. Вертикальной чертой обозначен уровень Ферми εF.
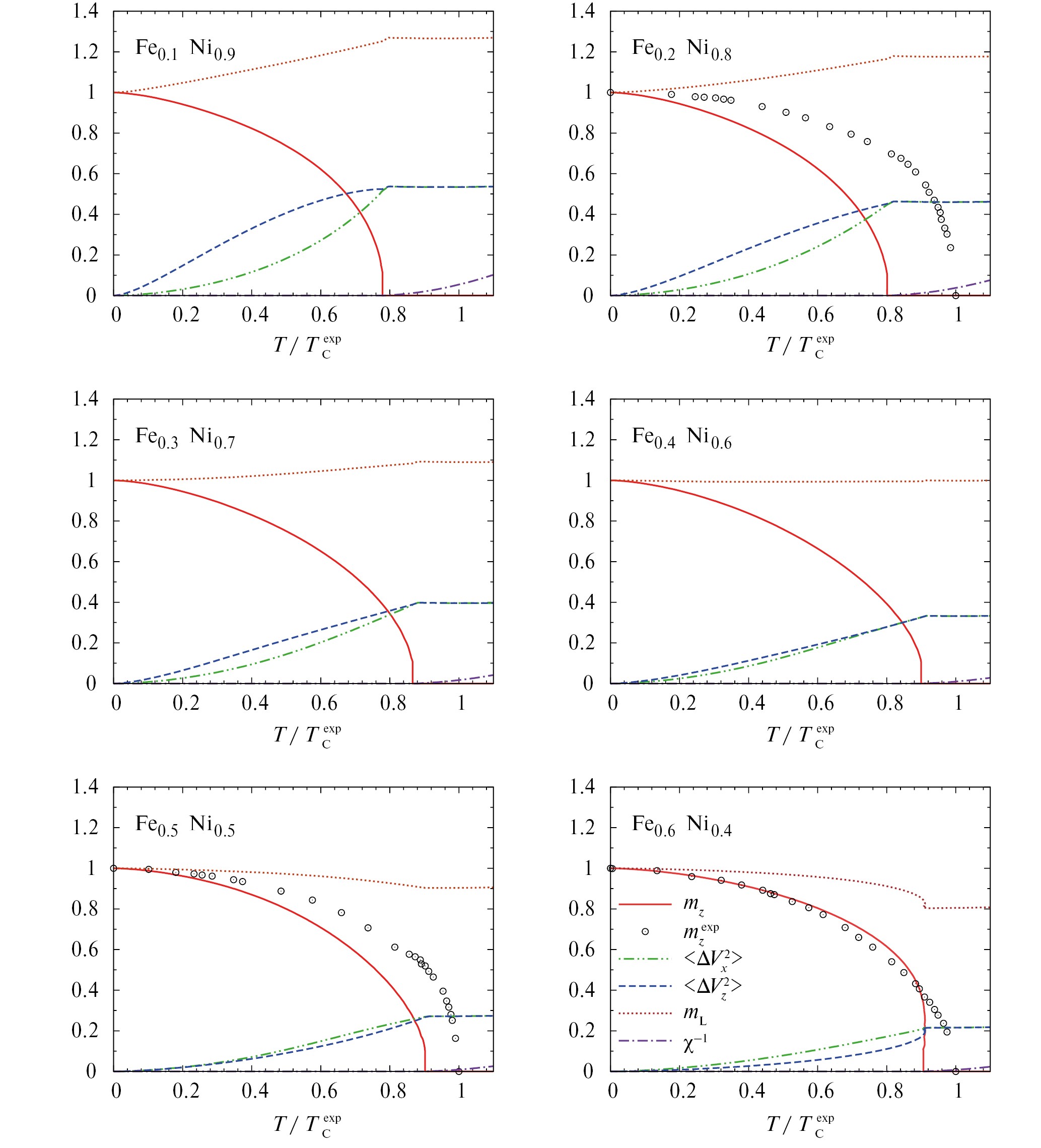
Результаты расчетов магнитных характеристик в ДТСФ-ПГА приведены на рис. 3. Температурная зависимость магнитного момента находится в хорошем согласии с экспериментом [25]. Температурная зависимость остальных характеристик хорошо согласуется с результатами расчетов, приведенными в [12] для чистых Fe, Co и Ni. Так, продольные спиновые флуктуации преобладают в ГЦК FexNi1–x при концентрациях x = 0.1–0.3, как в чистом Ni. Продольные и поперечные спиновые флуктуации примерно совпадают при концентрациях x = 0.4–0.5, как в чистом Co. Наконец, поперечные спиновые флуктуации преобладают при концентрациях x = 0.6, как в чистом Fe. Аналогично, локальный момент mL растет с температурой при x = 0.1–0.3, как в Ni, практически постоянен при x = 0.4, как в Co, и убывает с температурой при x = 0.5–0.6, как в Fe. Однородная парамагнитная восприимчивость χ0 (0) удовлетворяет закону Кюри–Вейса при всех x, как и для чистых металлов.
Рис. 3. Магнитный момент (расчет —, эксперимент • • • [25]), среднеквадратичные флуктуации (— • • —) и (— — —) в единицах квадрата среднего поля при T = 0, локальный магнитный момент (• • • •) и обратная парамагнитная восприимчивость χ–1 (— • —) в единицах разупорядоченного ГЦК-сплава FexNi1–x при концентрациях железа 0.1 ≤ x ≤ 0.6, рассчитанные в ДТСФ-ПГА как функции относительной температуры .
Зависимость температуры Кюри от концентрации никеля приведена на рис. 4. Экспериментальная кривая имеет максимум вблизи 70 ат. % Ni. Кривая в ДТСФ-ПГА находится в хорошем согласии с экспериментальной кривой [3, 26]. Для сравнения приведены результаты локальных приближений: статического приближения ПКП [27] и динамического приближения ПКП+ДТСП [6]. Как видно, в статике [27] максимум TC заметно смещен в сторону больших концентраций Ni4. Расчет в одноузельном динамическом приближении ПКП+ДТСП [6] приводит к существенным отличиям от результатов статики [27].
Рис. 4. Зависимость температуры Кюри TC для разупорядоченного ГЦК-сплава FexNi1–x от концентрации никеля 1 − x при 0.1 ≤ x ≤ 0.6, рассчитанная в динамической нелокальной теории ДТСФ-ПГА, в одноузельных теориях: статическом приближении ПКП [27] и динамическом приближении ПКП+ДТСП [6] — и в эксперименте [3, 26].
Результаты, полученные с помощью различных приближений для эффективных гамильтонианов с классическими спинами [9, 10, 15], дают хорошее количественное согласие с экспериментом при некоторых концентрациях, но не дают правильного хода температурной зависимости TC от концентрации в целом. В частности, максимум TC в расчетах [9, 10, 15] заметно смещен в сторону малых концентраций Ni, вопреки эксперименту (рис. 4).
Зависимость температуры Кюри TC от среднего числа электронов на атом для сплавов Fe, Co и Ni приведена на рис. 5. У этой зависимости есть некоторое сходство с кривой Слэтера– Полинга (рис. 1). Однако различия в поведении TC для ГЦК-сплавов Fe–Ni и Co–Ni (как и для ОЦК-сплавов Fe–Ni и Co–Ni) значительно более заметные, чем в поведении mz при T = 0. Кроме того, для разупорядоченного ГЦК-сплава FexNi1–x максимум температуры Кюри TC достигается при больших концентрациях никеля, чем максимум зависимости mz при T = 0 на кривой Слэтера–Полинга.
Рис. 5. Зависимость температуры Кюри TC от среднего числа электронов на атом для сплавов Fe, Co и Ni. Экспериментальные значения взяты из [26], кроме ГЦК-сплавов Fe–Co [29] и Fe–Ni [4]. Значения TC, рассчитанные в ДТСФ-ПГА, обозначены звездочками.
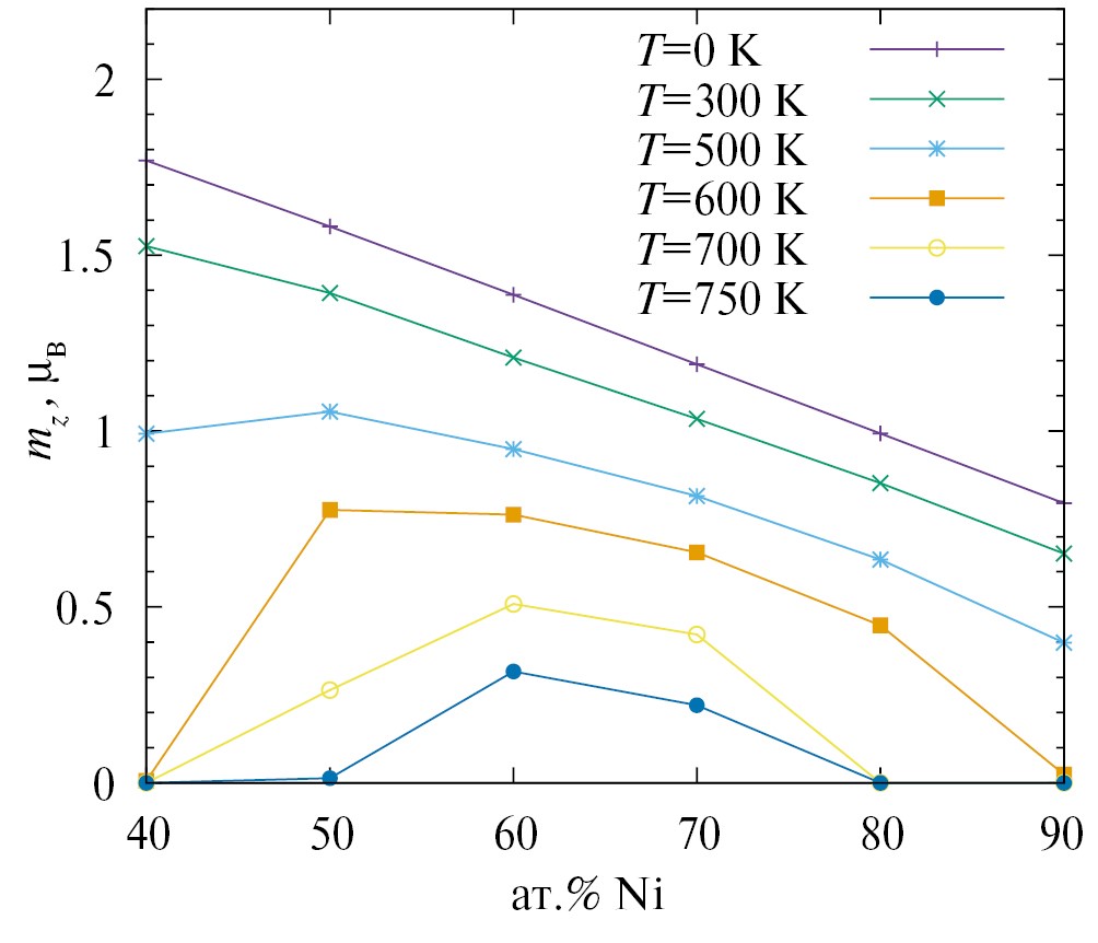
Кривые среднего магнитного момента mz, как функции концентрации никеля при конечных температурах, приведены на рис. 6. Как видно, с ростом температуры кривая Слэтера–Полинга смещается к нулю. Зависимость mz от концентрации Ni при комнатных температурах остается практически прямой линией, параллельной кривой Слэтера–Полинга, в полном согласии с экспериментом [30]. При дальнейшем росте температуры зависимость магнитного момента mz от концентрации искривляется и становится похожей на зависимость температуры Кюри TC от концентрации (рис. 4). Максимум mz постепенно смещается в сторону больших концентраций Ni и при высоких температурах находится между 50 ат. % и 60 ат. %Ni. Эти результаты находятся в качественном согласии с результатами расчетов в ДТСФ, которые были получены с помощью варьирования числа d-электронов для ПЭС железа, кобальта и никеля в нашей работе [16].
Рис. 6. Зависимость среднего магнитного момента mz для разупорядоченного ГЦК-сплава FexNi1–x от концентрации никеля 1 − x при 0.1 ≤ x ≤ 0.6, рассчитанная в ДТСФ-ПГА при различных температурах.
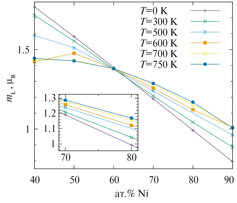
Зависимости локального магнитного момента как функции концентрации никеля при различных температурах представлены на рис. 7 (температуры те же, что на рис. 6). Как видно, линейная зависимость локального магнитного момента от концентрации слабо меняется с ростом температуры вплоть до комнатных температур. При дальнейшем росте температуры убывающая зависимость остается, но разброс значений локального момента постепенно уменьшается. Экстраполяция наших результатов при TC находится в разумном согласии с экспериментальными значениями mL, полученными в нейтронном рассеянии: 1.55–1.7 для Fe и 0.6–0.9 для Ni (подробнее см. [12, 31] и ссылки там). Вид зависимости локального момента от концентрации принципиально отличается от зависимостей температуры Кюри и среднего магнитного момента от концентрации (рис. 4 и 6). В частности, максимум mL достигается при концентрации никеля 1 – x = 0.4 при всех температурах, кроме температур вблизи T = 600 K, где он немного смещается в сторону больших концентраций никеля: 1 – x = 0.5.
Рис. 7. Зависимость локального магнитного момента mL для разупорядоченного ГЦК-сплава FexNi1–x от концентрации никеля 1 − x при 0.1 ≤ x ≤ 0.6, рассчитанная в ДТСФ-ПГА при различных температурах. На врезке более крупно показаны значения при концентрациях никеля 1 − x = 0.7 и 1 − x = 0.8.
Качественный ход зависимости локального момента от концентрации при высоких температурах был верно предсказан в наших ДТСФ-расчетах [16]. Однако для реального сплава кривые при высоких температурах оказались более выпуклыми кверху (рис. 7), чем предсказывал наш предварительный анализ.
ЗАКЛЮЧЕНИЕ
Одновременный учет квантового и нелокального характера спиновых флуктуаций в ДТСФ-ПГА позволил рассчитать зависимости среднего и локального магнитных моментов, спиновых флуктуаций и парамагнитной восприимчивости от температуры для разупорядоченного ГЦК-сплава FexNi1–x при 0.1 ≤ x ≤ 0.6.
Температурная зависимость магнитного момента находится в хорошем согласии с экспериментом. Продольные спиновые флуктуации преобладают при концентрациях x = 0.1–0.3 (как в чистом Ni), продольные и поперечные флуктуации примерно совпадают при концентрациях x = 0.4–0.5 (как в Co) и, наконец, поперечные флуктуации преобладают при концентрациях x = 0.6 (как в Fe).
Зависимость среднего магнитного момента от концентрации остается практически прямой линией, параллельной кривой Слэтера–Полинга вплоть до комнатных температур, в полном согласии с экспериментом. При дальнейшем росте температуры зависимость магнитного момента от концентрации искривляется и становится похожей на зависимость температуры Кюри от концентрации: имеет ярко выраженный максимум между 50 ат. % и 60 ат. %Ni.
Зависимость локального магнитного момента от концентрации тоже остается практически линейной вплоть до комнатных температур. Однако эта прямая не параллельна кривой Слэтера–Полинга, и ее наклон уменьшается с ростом температуры. При дальнейшем росте температуры зависимость локального магнитного момента от концентрации остается убывающей, но становится нелинейной. Максимум локального момента достигается при концентрациях 40 ат. % и 50 ат. %Ni.
Детальное изучение парамагнитных свойств ГЦК-железоникелевых сплавов в ДТСФ-ПГА является задачей нашего дальнейшего исследования.
БЛАГОДАРНОСТИ
Авторы признательны Г.В. Парадеженко за предоставление исходных немагнитных ПЭС, использованных в ДТСФ-расчетах [15], и рецензентам за полезные замечания. Работа выполнена в рамках госзадания Министерства науки и высшего образования Российской Федерации (тема “Квант” № 122021000038-7).
Авторы заявляют, что у них нет конфликта интересов.
1 Обобщения правила Слэтера были предложены в работе [22] (см. также [12, Глава 13]).
2 Как видно из рис. 1, для ГЦК-сплавов Fe–Co и Fe–Ni при больших концентрациях железа наблюдаются ответвления от кривой Слэтера–Полинга.
3 При концентрациях железа x > 0.7 ГЦК-сплав FexNi1–x становится антиферромагнитным.
4 В работе [28] была сделана попытка выйти за пределы одноузельного приближения в статике [27], но заметных отличий для сплавов Fe–Ni она не принесла.
About the authors
N. B. Melnikov
Lomonosov Moscow State University
Author for correspondence.
Email: melnikov@cs.msu.ru
Russian Federation, Moscow, 119991
B. I. Reser
Mikheev Institute of Metal Physics, Ural Branch, Russian Academy of Sciences
Email: melnikov@cs.msu.ru
Russian Federation, Ekaterinburg, 620108
References
- Ebert H., Mankovsky S., Wimmer S. “Electronic structure: Metals and insulators” in Handbook of Magnetism and Magnetic Materials (Coey M. and Parkin S., eds.) Berlin: Springer, 2021. P. 1–73.
- Sharma M.K., Kumar A., Kumari K., Yadav N., Vij A., Koo B.H. Coexisting magnetic interaction, critical behavior and magnetocaloric effect at high temperature in Fe50Ni50 soft ferromagnetic alloy // J. Magn. Magn. Mater. 2024. V. 596. P. 171928.
- Swartzendruber L.J., Itkin V.P., Alcock C.B. The Fe-Ni (Iron-Nickel) System // J. Phase Equilibria, 1991. V. 12. P. 288–312.
- Xiong W., Zhang H., Vitos L., Selleby M. Magnetic phase diagram of the Fe–Ni system // Acta Mater. 2011. V. 59. P. 521–530.
- Kakehashi Y. Modern theory of magnetism in metals and alloys. Berlin: Springer, 2012.
- Poteryaev A.I., Skorikov N.A., Anisimov V.I., Korotin M.A. Magnetic properties of Fe1–xNix alloy from CPA+DMFT perspectives // Phys. Rev. B. 2016. V. 93. P. 205135.
- Crisan V., Entel P., Ebert H., Akai H., Johnson D.D., Staunton J.B. Magnetochemical origin for Invar anomalies in iron-nickel alloys // Phys. Rev. B. 2002. V. 66. P. 014416.
- Ruban A.V., Khmelevskyi S., Mohn P., Johansson B. Magnetic state, magnetovolume effects, and atomic order in Fe65Ni35 Invar alloy: A first principles study // Phys. Rev. B. 2007. V. 76. P. 014420.
- Takahashi C., Ogura M., Akai H. First-principles calculation of the Curie temperature Slater–Pauling curve // J. Phys.: Condens. Matter. 2007. V. 19. N 36. P. 365233.
- Kudrnovský J., Drchal V., Bruno P. Magnetic properties of fcc Ni-based transition metal alloys // Phys. Rev. B. 2008. V. 77. P. 224422.
- Ruban A.V. First-principles modeling of the Invar effect in Fe65Ni35 by the spin-wave method // Phys. Rev. B. 2017. V. 95. P. 174432.
- Melnikov N., Reser B. Dynamic Spin Fluctuation Theory of Metallic Magnetism. Berlin: Springer, 2018.
- Reser B.I. Temperature dependence of magnetic properties of a disordered Fe0.65Ni0.35 // Phys. Met. Metallogr. 2007. V. 103. P. 373–379.
- Melnikov N.B., Reser B.I., Grebennikov V.I. Extended dynamic spin-fluctuation theory of metallic magnetism // J. Phys.: Condens. Matter. 2011. V. 23. P. 276003.
- Paradezhenko G.V., Yudin D., Pervishko A.A. Random iron-nickel alloys: From first principles to dynamic spin fluctuation theory // Phys. Rev. B. 2021. V. 104. P. 245102.
- Melnikov N.B., Gulenko A.S., Reser B.I. Relation between magnetism and electronic structure of 3d-metal alloys in the Stoner theory and in the DSFT // Phys. Met. Metallogr. 2024. V. 125. N 1. P. 49–55.
- Paradezhenko G.V., Melnikov N.B., Reser B.I. Numerical continuation method for nonlinear system of scalar and functional equations // Comp. Math. Math. Phys. 2020. V. 60. P. 404–410.
- Reser B.I., Paradezhenko G.V., Melnikov N.B. Program suite MAGPROP 2.0. / Russian Federal Service for Intellectual Property (ROSPATENT), 2018.
- Bozorth R.M. Ferromagnetism. New York/Piscataway, NJ: Wiley-IEEE, 2nd ed. 1993.
- Ayuela A., March N.H. The magnetic moments and their long-range ordering for Fe atoms in a wide variety of metallic environments // Int. J. Quantum Chem. 2010. V. 110. P. 2725–2733.
- Slater J.C. Quantum Theory of Molecules and Solids, Vol. 4: The Self-Consistent Field for Molecules and Solids. New York: McGraw-Hill, 1974.
- Reser B.I., Rosenfeld E.V., Shipitsyn E.V. Spin correlators in the one-electron approximation applied to bcc iron // Phys. Met. Metallogr. 1990. V. 69. N 6. P. 48–57.
- White R.M. Quantum Theory of Magnetism. Berlin: Springer, 3rd ed. 2007.
- Minár J., Mankovsky S., Sipr O., Benea D., Ebert H. Correlation effects in fcc-FexNi1–x alloys investigated by means of the KKR-CPA // J. Phys.: Condens. Matter. 2014. V. 26. P. 274206.
- Crangle J., Hallam G.C. The magnetism of face-centered cubic and body-centered cubic iron-nickel alloys // Proc. R. Soc. Lond. A. 1963. V. 272. P. 119–132.
- Wijn H.P.J., ed. Magnetic Properties of Metals. 3d, 4d and 5d Elements, Alloys and Compounds. Landolt-Börnstein New Series. V. III/19a. Berlin: Springer, 1986.
- Kakehashi Y. Theory of the Invar effect in FeNi alloy // J. Phys. Soc. Jpn. 1981. V. 50. N 7. P. 2236–2245.
- Kakehashi Y. Systematic variations of magnetic properties in 3d transition metal alloys // Prog. Theor. Phys. Suppl. 1990. V. 101. P. 105–117.
- Shiga M., Yamamoto M. Magnetism and phase stability of fcc Fe-Co alloys precipitated in a Cu matrix // J. Phys.: Condens. Matter. 2001. V. 13. N 29. P. 6359.
- Glaubitz B., Buschhorn S., Brüssing F., Abrudan R., Zabel H. Development of magnetic moments in Fe1–xNix alloys // J. Phys.: Condens. Matter. 2011. V. 23. N 25. P. 254210.
- Melnikov N.B., Reser B.I., Paradezhenko G.V. Short-range order in metals above the Curie temperature // AIP Advances. 2018. V. 8. P. 101402.
Supplementary files








