Различия во влиянии легких (La) и тяжелых (Yb) лантаноидов на эффективность фотосинтеза и накопление метаболитов одуванчиком Крым-сагыз (Taraxacum hybernum)
- Authors: Воробьев В.Н.1,2, Горшков В.Ю.1,2, Терентьев В.В.3, Исламов Б.Р.2, Котов С.Ф.4, Николенко В.В.4, Якушенкова Т.П.1, Тимофеева О.А.1
-
Affiliations:
- Федеральное государственное автономное образовательное учреждение высшего образования Казанский (Приволжский) федеральный университет
- Казанский институт биохимии и биофизики – обособленное структурное подразделение Федерального исследовательского центра Казанский научный центр Российской академии наук
- Федеральное государственное бюджетное учреждение науки Федеральный исследовательский центр Пущинский научный центр биологических исследований Российской академии наук Институт фундаментальных проблем биологии Российской академии наук – обособленное подразделение
- Федеральное государственное автономное образовательное учреждение высшего образования Крымский федеральный университет им. В.И. Вернадского
- Issue: Vol 71, No 6 (2024)
- Pages: 803-809
- Section: ЭКСПЕРИМЕНТАЛЬНЫЕ СТАТЬИ
- URL: https://medbiosci.ru/0015-3303/article/view/272110
- DOI: https://doi.org/10.31857/S0015330324060139
- EDN: https://elibrary.ru/LWAIBS
- ID: 272110
Cite item
Full Text
Abstract
Продемонстрирован стимулирующий эффект нитрата иттербия на прорастание семян, фотосинтез и накопление углеводов в корнях одуванчика Крым-сагыз (Taraxacum hybernum). Выявлены различия между лантаном и иттербием по влиянию на эффективность ФС II (Y(II)). В концентрации 100 мкмоль лантан снижал Y(II) за счет увеличения вклада квантового выхода регулируемой диссипации части энергии (Y(NPQ)), а иттербий – за счет вклада необратимой диссипации энергии (Y(NO)). При снижении концентрации лантаноидов в 10 раз стимулирующий эффект Y(II) наблюдался только в варианте с иттербием. В полевых экспериментах у растений, обработанных раствором нитрата иттербия в концентрации 10 мкмоль, интенсивность фотосинтеза была выше на 31%, что, вероятно, повлияло на накопление в корнях одуванчика каучука и углеводов, которое было большим по сравнению с необработанными растениями на 13 и 26%, соответственно.
Full Text
ВВЕДЕНИЕ
Лантаноиды (Ln+3) могут повышать всхожесть семян, благоприятно влиять на фотосинтез, накопление биомассы, усвоение микро- и макроэлементов растениями, что в конечном итоге повышает их урожайность [1, 2]. Как правило, эффект влияния легких лантаноидов (лантана и церия) объясняется замещением в металлоорганических соединениях кальция на Ln+3 с сохранением функций (или даже с некоторой активацией) последних. Считается, что замещение возможно потому, что ионные радиусы (в особенности лантана) близки к радиусу иона кальция, а следовательно, влияют на кальций-зависимые процессы в растительных клетках как в направлении их стимуляции при малых концентрациях, так и угнетения при больших. При дефиците кальция и магния их замена на церий в концентрациях от 1.14 до 5.74 мкмоль приводила к стимуляции роста и активности фотосинтеза микроводоросли Desmodesmus quadricauda [3]. В таких же условиях у шпината активизировались процессы фотосинтеза и работа антиоксидантной системы [4–6]. При дефиците магния легкие Ln+3 способны восстанавливать биосинтез хлорофилла, что положительно сказывается на эффективности ФС II (Y(II) и скорости электронного транспорта) у кукурузы [7, 8]. Использование удобрений, содержащих оксид церия, приводило к росту биомассы редиса за счет повышения содержания хлорофилла, а не за счет скорости фотосинтеза листьев. При этом церий накапливался в области плазмалеммы клеток корня редиса, что негативно влияло на пищевую ценность корнеплодов [9].
Тяжелые Ln+3 (Tb, Dy, Ho, Er, Tm, Yb, Lu), имея меньший ионный радиус, более токсичны [10], а потому не находят применения в сельскохозяйственной практике, что упускает возможность гормезисных эффектов [11], когда низкие дозы токсических веществ способны активировать физиологические процессы. Особое место в ряду тяжелых лантаноидов занимает иттербий (Yb3+). Низкие концентрации Yb3+ увеличивают экспрессию генов некоторых аквапоринов, что приводит к увеличению водной проницаемости мембран клеток корней кукурузы [12]. Ионный радиус Yb3+ наиболее близок к ионному радиусу Мg2+ поэтому можно ожидать, что использование этого лантаноида в определенных концентрациях может стимулировать некоторые процессы, в которых Мg2+ выполняет роль кофактора, например, в синтезе каучука у одуванчика Крым-сагыз.
Цель работы – оценка влияния лантаноидов, отличающихся ионным радиусом, на эффективность ФС II, скорость фотосинтеза, накопление углеводов и каучука в корнях одуванчика Крым-сагыз.
МАТЕРИАЛЫ И МЕТОДЫ
Растительный материал
Семена одуванчика Крым-сагыз (Taraxacum hybernum Steven) были собраны в окрестностях Никитского ботанического сада (Крымский полуостров). Собранные семена хранили в бумажных пакетах при комнатной температуре в сухом месте. Проращивание семян осуществляли в четырех повторностях (по 50 семян каждая) в чашках Петри на водопроводной воде [13] в следующих вариантах: до стратификации; после 30-суточной стратификации при температуре –20°С; после стратификации и инфильтрации. Инфильтрацию проводили при давлении 10 Па в течение 60 мин в дистиллированной воде, в растворах 100 мкмоль La(NO3)3 6H2O и 100 мкмоль Yb(NO3)3 6H2O (Aldrich Chemical Co., США). Известно, что стимулирующий эффект от нитрата лантана происходит при концентрации 5–10 мкмоль, а негативное влияние наблюдается с 20 мкмоль [14]. Энергию прорастания определяли на четвертые сутки проращивания, затем проростки высаживали в 0.5-литровые емкости с коммерческим грунтом “Terra vita” (Россия). Выращивание растений для экспериментов по влиянию лантаноидов на эффективность ФС II проводили в климатической камере при температуре 22°С с фотопериодом 16/8 и интенсивности светового потока 150 мкмоль фотонов м2/с. В экспериментах по флуоресценции листья 3-недельных растений однократно опрыскивали с помощью пульверизатора растворами лантаноидов в концентрациях 100 или 10 мкмоль в объеме 3 мл.
Полевые эксперименты проводили на опытном участке ботанического сада Казанского федерального университета. Стратифицированные и инфильтрированные в воде и растворах лантаноидов семена высаживали в открытый грунт. Через месяц после высадки листья каждого растения с помощью пульверизатора однократно опрыскивали раствором лантаноидов в концентрации 10 мкмоль в объеме 3 мл. Через четыре месяца после обработки снимали показания интенсивности ассимиляции СО2, после чего растения использовали для биохимических анализов.
Флуоресценция хлорофилла
Переменную флуоресценцию хлорофилла измеряли на флуориметре PAM 2500 (Heinz Walz GmbH, Германия) при температуре 22°C. Флуоресценцию регистрировали в ответ на импульс насыщающего света (λ = 625 нм, 12000 мкмоль фотона м2/с, продолжительность 500 мс). Действующая интенсивность света составляла 194 мкмоль фотона м2/с (λ = 625 нм). Эффективный квантовый выход ФС II (Y(II)), квантовый выход вызванного светом нефотохимического гашения (Y(NPQ)) и квантовый выход нерегулируемого рассеяния тепла и флуоресцентного излучения (Y(NO)) измеряли в адаптированных к свету (150 мкмоль фотонов м2/с) образцах в соответствии с руководством PAM 2500 (Heinz Walz GmbH, Германия) и рассчитывали по формуле:
Y(II) = (F’m – Fs)/F’m; Y(NPQ) =
= Fs/F’m – F/Fm; Y(NO) = Fs/Fm,
где Fs – стационарный уровень флуоресценции хлорофилла;
F’m – индуцированный светом максимальный уровень флуоресценции хлорофилла в адаптированных к свету листьях [15];
Y(II) + Y(NPQ) + Y(NO) = 1.
Скорость фотосинтеза
Характеристики газообмена были проанализированы перед сбором корней с использованием инфракрасного анализатора Li-6800 (LI-COR, США). Скорость фотосинтеза измеряли в четырех повторностях каждой обработки у трех полностью распустившихся листьев при естественном освещении, которое в среднем составляло 100 мкмоль/(м2 с).
Количественное определение углеводов
Количество углеводов определяли фенольным методом по Dubois с соавт. [16]. В стеклянные пробирки добавляли по 250 мкл 5% фенола и 250 мкл измельченных и сублимированных корней. После тщательного перемешивания к смеси добавляли 1.25 мл концентрированной серной кислоты. Полученную смесь выдерживали 10 мин при комнатной температуре и затем термостатировали на водяной бане в течение 15 мин при 100°С. Оптическую плотность раствора измеряли на спектрофотометре (Carl Zeiss Jena type MK 6/6, Германия) при 490 нм. Содержание углеводов определяли относительно калибровочной кривой.
Гравиметрическое определение каучука
Инкубировали 1 г измельченных и сублимированных корней в 25 мл гексана в течение 24 ч при 20°С с мягким перемешиванием. Остатки клеток удаляли центрифугированием (1160 g, 5 мин) и фильтрацией. Супернатант осаждали путем инкубации с двумя объемами метанола в течение 30 мин, затем промывали ацетоном и водой в течение 40 мин для удаления смол и сушили в течение 16 ч при комнатной температуре перед взвешиванием.
Статистическая обработка результатов
Все эксперименты проведены в четырех или шести биологических проворностях. Статистический анализ полученных результатов осуществляли с использованием программы OriginPro 9.0. Для множественного сравнения использовали однофакторный дисперсионный анализ (ANOVA) и тест Тьюки. Статистически значимым считалось значение Р < 0.05.
РЕЗУЛЬТАТЫ
Естественная всхожесть семян одуванчика была низкой, всего 3.25%, тогда как стратификация повысила ее до 39% (табл. 1). Инфильтрация стратифицированных семян в воде и в растворах нитратов лантана и иттербия в концентрации 100 мкмоль привела к увеличению энергии прорастания на 65% (табл. 1).
Таблица 1. Энергия прорастания семян одуванчика Крым-сагыз
Без стратификации | Стратификация | Стратификация и инфильтрация в H2O | Стратификация и инфильтрация в 100 мкмоль La(NO3)3 | Стратификация и инфильтрация в 100 мкмоль Yb(NO3)3 |
3.2 ± 3.6a | 39 ± 9.1b | 40 ± 1.7b | 66 ± 1.2c | 66 ± 1.3c |
Примечание. Семена подвергали стратификации и инфильтрации при давлении 10 Па в течение 60 мин. Одинаковыми буквами обозначено отсутствие статистически значимых различий между вариантами при P < 0.05.
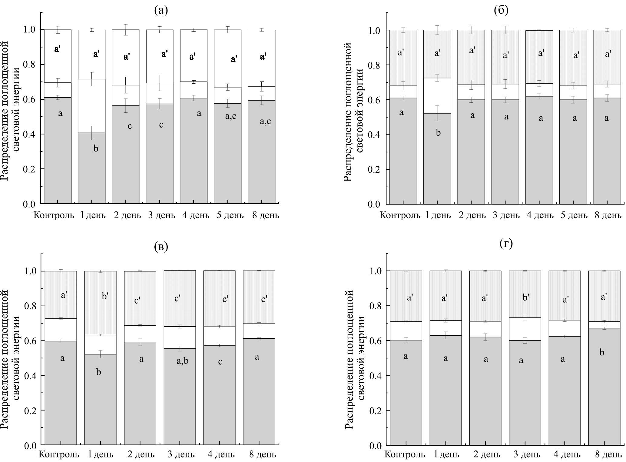
На рис. 1 представлены гистограммы показателей эффективности ФС II в ответ на действие лантана и иттербия. В листьях контрольных растений во всех вариантах величина эффективного квантового выхода флуоресценции хлорофилла (Y(II)) была на уровне 0.6 ± 0.01, а значения (Y(NPQ) и (Y(NO)), соответственно, равнялись 0.1 ± 0.03 и 0.3 ± 0.02. Через 24 ч после обработки листьев La(NO3)3 в концентрации 100 мкмоль отмечалось снижение величины Y(II) до 0.41, в то время как вклад Y(NPQ) увеличился с 0.1 до 0.31. Вклад Y(NO) незначительно снизился с 0.30 до 0.28 (рис. 1a). Восстановление уровня Y(II) до начального (контрольного) значения отмечалось только на четвертые сутки после обработки. При уменьшении дозы La(NO3)3 в 10 раз отмечалась схожая картина, однако значение Y(II) на следующий день после обработки снизилось до 0.5 ± 0.04, значение Y(NPQ) выросло на 0.13, а восстановление уровня Y(II)) до начального (контрольного) значения произошло уже на второй день (рис. 1б).
Рис. 1. Динамика эффективности ФС II после обработки листьев 3-недельных растений тремя мл растворов La(NO3)3 (а – 100 мкмоль; б – 10 мкмоль) и Yb(NO3)3 (в – 100 мкмоль; г – 10 мкмоль). Точечная заливка – Y(NO), без заливки – Y(NPQ), серая заливка – Y(II). Средние значения и стандартные отклонения получены от нижних листьев шести растений. Одинаковыми буквами обозначено отсутствие статистически значимых различий между вариантами при P < 0.05.
При обработке растений Yb(NO3)3 в концентрации 100 мкмоль снижение Y(II) на следующие сутки было менее значительным (на 0.07), чем под влиянием La(NO3)3 при той же концентрации, а восстановление Y(II) до уровня необработанных растений отмечалось только на восьмые сутки (рис. 1в). При этом вклад Y(NPQ) менялся незначительно. Основное изменение эффективности ФС II было обусловлено увеличением Y(NO) (на 0.09), которое не восстанавливалось до уровня контрольных значений на восьмые сутки. Снижение концентрации Yb(NO3)3 в 10 раз до 10 мкмоль не оказывало негативного действия на активность ФС II. Напротив, эффективный квантовый выход флуоресценции хлорофилла был даже несколько выше, чем у необработанных растений при одинаковом уровне Y(NO). На восьмые сутки Y(II) был выше значений необработанных растений на 7% (Р = 0.03), при этом вклад процессов Y(NPQ) снижался до минимума и составлял всего лишь 0.04 ± 0.01 (рис. 1г).
Проведенные исследования позволили определить концентрацию лантаноидов, которая не должна оказывать негативного влияния на фотосинтетический аппарат при внекорневой обработке растений в полевом эксперименте. На рис. 2 показано, что скорость фотосинтеза у растений, обработанных лантаноидами, была выше, чем у необработанных растений: в варианте с лантаном на 20%, в варианте с иттербием на 31%. В этих условиях повышенный уровень накопления углеводов в пересчете на сухую массу корней был только у варианта с иттербием (рис. 3).
Рис. 2. Скорость фотосинтеза в листьях одуванчика Крым-сагыз. Измерения проводили на зрелых листьях у четырех растений каждого варианта (возраст растений – 5 месяцев). Одинаковыми буквами обозначено отсутствие статистически значимых различий между вариантами при P < 0.05.
Рис. 3. Накопление углеводов в корнях одуванчика Крым-сагыз. В каждом варианте данные получены от растительного материала четырех растений (возраст растений – 5 месяцев). Одинаковыми буквами обозначено отсутствие статистически значимых различий между вариантами при P < 0.05.
Установлено, что содержание каучука в корнях одуванчика Крым-сагыз, выращенного в условиях Республики Татарстан без применения лантаноидов, на 21% ниже, чем у растений аналогичного онтогенетического состояния, произраставших в условиях Крымского полуострова (табл. 2). Обработка Yb(NO3)3 повышала содержание каучука у растений, выращенных в условиях Республики Татарстан, на 13%.
ОБСУЖДЕНИЕ
Одуванчик осенний, или Крым-сагыз, относится к каучуконосам, активно выращивавшимся наряду с одуванчиком Кок-сагыз в первой половине XX в. в СССР для получения резины. В настоящее время, исходя из соображений импортозамещения и ресурсной безопасности, представляется интересным влияние лантаноидов на фотосинтетические процессы и накопление каучука у этого растения.
Имеющиеся данные по влиянию лантаноидов на прорастание семян различных культур не однозначны. Обнаружены как ингибирующие, так и стимулирующие эффекты [1], которые зависят от вида растений, самого лантаноида, его концентрации и дозы [17]. Несмотря на различия в токсичности легких и тяжелых лантаноидов [10], часовая инфильтрация семян Крым-сагыза в растворах La(NO3)3 и Yb(NO3)3 в концентрации 100 мкмоль в равной степени увеличивала их энергию прорастания (табл. 1).
Отличия во влиянии лантана и иттербия проявлялись в эффективности ФС II при обработке листьев одуванчика растворами этих солей. Известно, что при обработке листьев растворами, содержащими ионы лантаноида, инициируются процессы эндоцитоза и лантаноид проникает в клетку [18]. В первые сутки после обработки растворами в концентрации 100 мкмоль лантан инициировал активацию Y(NPQ), а иттербий - Y(NO), что в обоих случаях приводило к снижению Y(II) (рис. 1a, в). Если в варианте с лантаном вклад Y(NO) в Y(II) был на уровне необработанных листьев, то после обработки иттербием Y(NO) он был больше. Таким образом, нами выявлено различие во влиянии легкого и тяжелого лантаноида на процессы нефотохимического преобразования энергии в ФС II. Известно, что Y(II) соответствует доле энергии, которая фотохимически преобразуется в ФС II [19]. Оставшаяся доля Y(II) представляет собой общий квантовый выход всех потерь, которые разделяют на два отдельных компонента: Y(NO) и Y(NPQ). Y(NPQ) соответствует доле энергии, рассеиваемой в форме тепла посредством регулируемого фотозащитного механизма NPQ. Y(NO) представляет собой конститутивную потерю энергии, которая пассивно рассеивается в форме тепла и флуоресценции в основном за счет закрытых реакционных центров [19–22]. Уменьшение концентрации в 10 раз не меняло характера действия лантана за исключением того, что Y(II) восстанавливался уже на второй день после обработки (рис. 1б). Влияние иттербия стало заметным только на восьмые сутки после обработки, когда Y(II) стал выше, чем у необработанных растений (рис. 1г). Используемые лантаноиды La3+ и Yb3+ имеют отличия по ионному радиусу. У La3+ радиус иона сравним с радиусом Са2+. Ионный радиус иттербия ближе к магнию, чем, возможно, объясняются различия в действии La3+ и Yb3+ на эффективность ФС II.
В большинстве исследований лантаноиды вносят в почву и фиксируют эффекты постоянного влияния поллютанта. В наших экспериментах обработка была в начале вегетационного периода, а скорость фотосинтеза оценивалась в конце. В варианте с лантаном скорость фотосинтеза была увеличена на 20% от контроля (рис. 2). Статистически значимые различия были получены между вариантом с применением иттербия и контролем (31%). Ранее было получено сравнимое увеличение скорости фотосинтеза (на 23%) у растений сои при концентрации лантана 5–10 мкмоль [14]. Такой долговременный эффект сложно объяснить. Обработанные лантаноидами листья к моменту измерения уже были отмершими. Можно осторожно предположить, что при биоразложении опавших листьев микродозы лантаноидов были возвращены в растения и вызвали активацию фотосинтеза. Повышенный уровень фотосинтеза мог привести к большему накоплению углеводов в запасающем органе. Известно, что накопление инулина и сахаров коррелирует с накоплением каучука у одуванчика Кок-сагыз [23]. Как продемонстрировано в наших экспериментах, стимулирующий эффект иттербия проявился и в накоплении каучука (табл. 2).
Таблица 2. Накопление каучука в корнях 5-месячных растений одуванчика Крым-сагыз
Вариант | Растения, выросшие в Крыму | Контроль (растения, выросшие в Татарстане) | Растения, выросшие в Татарстане и обработанные La(NO3)3 | Растения, выросшие в Татарстане и обработанные Yb(NO3)3 |
Содержание каучука, мг/г сухой массы корней | 78.5 ± 5.4a | 61 ± 4.2b | 62 ± 3.1b | 70 ± 4.3c |
Примечание. Средние значения и стандартные отклонения получены из растительного материала четырех растений каждого варианта. Одинаковыми буквами обозначено отсутствие статистически значимых различий между вариантами при P < 0.05.
Полученные отличия во влиянии лантаноидов на фотосинтез и накопление каучука можно объяснить с позиции ионных радиусов. Ионный радиус La3+ (1.032) сопоставим с Ca2+(1.06), а Yb3+ (0.868) с Мg2+ (0.78). С Мg2+ связаны не только фотосинтетические процессы. Он является кофактором как в реакциях синтеза изопентенилпирофосфата из мевалоновой кислоты в цитозоле, так и в реакциях полимеризации в каучуковых частицах, где Мg2+ регулирует работу цис-пренилтрансферазы [23–26]. Обработка растений низкими концентрациями нитрата иттербия приводит к увеличению эффективности ФС II и скорости фотосинтеза, накоплению углеводов и каучука в корнях одуванчика Крым-сагыз.
Настоящая статья не содержит описания каких-либо экспериментов с участием людей и животных в качестве объектов исследования.
Авторы заявляют об отсутствии конфликта интересов.
About the authors
В. Н. Воробьев
Федеральное государственное автономное образовательное учреждение высшего образования Казанский (Приволжский) федеральный университет; Казанский институт биохимии и биофизики – обособленное структурное подразделение Федерального исследовательского центра Казанский научный центр Российской академии наук
Author for correspondence.
Email: vnvorobev.vladimir@yandex.ru
Russian Federation, Казань; Казань
В. Ю. Горшков
Федеральное государственное автономное образовательное учреждение высшего образования Казанский (Приволжский) федеральный университет; Казанский институт биохимии и биофизики – обособленное структурное подразделение Федерального исследовательского центра Казанский научный центр Российской академии наук
Email: vnvorobev.vladimir@yandex.ru
Russian Federation, Казань; Казань
В. В. Терентьев
Федеральное государственное бюджетное учреждение науки Федеральный исследовательский центр Пущинский научный центр биологических исследований Российской академии наук Институт фундаментальных проблем биологии Российской академии наук – обособленное подразделение
Email: vnvorobev.vladimir@yandex.ru
Russian Federation, Пущино
Б. Р. Исламов
Казанский институт биохимии и биофизики – обособленное структурное подразделение Федерального исследовательского центра Казанский научный центр Российской академии наук
Email: vnvorobev.vladimir@yandex.ru
Russian Federation, Казань
С. Ф. Котов
Федеральное государственное автономное образовательное учреждение высшего образования Крымский федеральный университет им. В.И. Вернадского
Email: vnvorobev.vladimir@yandex.ru
Russian Federation, Симферополь
В. В. Николенко
Федеральное государственное автономное образовательное учреждение высшего образования Крымский федеральный университет им. В.И. Вернадского
Email: vnvorobev.vladimir@yandex.ru
Russian Federation, Симферополь
Т. П. Якушенкова
Федеральное государственное автономное образовательное учреждение высшего образования Казанский (Приволжский) федеральный университет
Email: vnvorobev.vladimir@yandex.ru
Russian Federation, Казань
О. А. Тимофеева
Федеральное государственное автономное образовательное учреждение высшего образования Казанский (Приволжский) федеральный университет
Email: vnvorobev.vladimir@yandex.ru
Russian Federation, Казань
References
- Ramirez-Olvera S.M., Trejo-Tellez L.I., Garcia-Morales S., Perez-Sato J.A., Gomez-Merino F.C. Cerium enhances germination and shoot growth, and alters mineral nutrient concentration in rice // PLoS ONE. 2018. V. 13 P. e0194691. https://doi.10.1371/journal.pone.0194691
- Vilela L. A. F., Ramos S. J., Carneiro M. A. C., Faquin V., Guilherme L. R. G., Siqueira J. O. Cerium (Ce) and lanthanum (La) promoted plant growth and mycorrhizal colonization of maize in tropical soil // Aust. J. Crop Sci. 2018. V. 12. P. 704. https://doi.10.21475/ajcs.18.12.05. PNE610
- Goecke F., Jerez C.G., Zachleder V., Figueroa F.L., Bisova K., Rezanka T., Vítova M. Use of lanthanides to alleviate the effects of metal ion-deficiency in Desmodesmus quadricauda (Sphaeropleales, Chlorophyta) // Front. Microbiol. 2015. V. 6. P. 1.
- Chao L., Weiqian C., Yun L., Hao H., Liang C., Xiaoqing L., Fashui Y. Cerium under calcium deficiency-influence on the antioxidative defense system in spinach plants // Plant Soil. 2009. V. 323. P. 285.
- Yin S., Ze Y., Liu C., Li N., Zhou M., Duan Y., Hong F. Cerium relieves the inhibition of nitrogen metabolism of spinach caused by magnesium deficiency // Biol. Trace. Elem. Res. 2009. V. 132. P. 247.
- Ze Y., Yin S., Ji Z., Luo L., Liu C., Hong F. Influences of magnesium deficiency and cerium on antioxidant system of spinach chloroplasts // Biometals. 2009. V. 22. P. 941.
- Zhou M., Gong X., Ying W., Chao L., Hong M., Wang L., Fashui, Y. Cerium relieves the inhibition of chlorophyll biosynthesis of maize caused by magnesium deficiency // Biol. Trace. Elem. Res. 2011. V. 143. P. 468.
- Zhao H., Zhou Q., Zhou M., Li C., Gong X., Liu Chao., Qu C., Wang L., Si W., Hong F. Magnesium deficiency results in damage of nitrogen and carbon cross-talk of maize and improvement by cerium addition // Biol. Trace. Elem. Res. 2012. V. 148. P.102.
- Gui X., Rui M., Song Y., Ma Y., Rui Y., Zhang P., Ye X., Li Y., Zhang Z., Liu L. Phytotoxicity of CeO2 nanoparticles on radish plant (Raphanus sativus) // Environ. Sci. Pollut. Res. 2017. V. 24. P. 13775. https://doi.10.1007/s11356-017-8880-1
- Gonzalez V., Vignati D. A. L., Leyval C., Giamberini L. Environmental fate and ecotoxicity of lanthanides: are they a uniform group beyond chemistry? // Environ. Int. 2014. V. 71. P. 148.
- Calabrese E.J., Blain R.B. Hormesis and plant biology // Environ. Pollut. 2009. V. 157. P. 42.
- Vorob’ev V.N., Sibgatullin T.A., Sterkhova K.A., Alexandrov E.A., Gogolev Yu. V., Timofeeva O.A., Gorshkov V.Y., Chevela V.V. Ytterbium increases transmembrane water transport in Zea mays roots via aquaporin modulation // Biometals. 2019. V.32. P. 901.
- Martinkova Z., Honek A., Lukas J. Viability of Taraxacum officinale seeds after anthesis // Weed Research. 2011. V. 51. P. 508.
- Oliveira C., Ramos S.J., Siqueira J.O., FaquinV., Castro E.M., Amaral D.C., Techio V.H., Coelho L.C., Silva P.H., Schnug E., Guilherme L.R. Bioaccumulation and effects of lanthanum on growth and mitotic index in soybean plants // Ecotoxicol. Environ. Saf. 2015. V. 122. P. 136.
- Genty B., Harbinson J., Cailly A.L., Rizza F. Fate of excitation at PS II in leaves: the non-photochemical side // The Third BBSRC Robert Hill Symposium on Photosynthesis (March 31 to April 3, 1996, Sheffield). UK. P 28.
- Dubois M., Gilles K.A., Hamilton J.K., Rebers P.A., Smith F. Colorimetric method for determination of sugars and related substances // Anal. Chem. 1956. V. 28. P. 350.
- Hu Z., Richter H., Sparovek, G., Schnug E. Physiological and biochemical effects of rare earth elements on plants and their agricultural significance: a review // J. Plant. Nutr. 2004. V. 27. P. 183.
- Wang L., Li J., Zhou Q., Yang G., Ding X.L., Li X., Chen X.C., Zhao Z., Hai Y.W., Tian H.L., Xing W.D., Xiao H.H. Rare earth elements activate endocytosis in plant cells // Proc. Natl. Acad. Sci. USA. 2014. V. 111. P. 12936.
- Klughammer C., Schreiber U. Complementary FSII quantum yield calculated from simple fluorescence parameters measured by PAM fluorometry and the saturation pulse method // J. PAM Appl. Notes. 2008. V. 1. P. 27.
- Hendrickson L., Furbank R.T., Chow W.S. A simple alternative approach to assessing the fate of absorbed light energy using chlorophyll fluorescence // Photosynth Res. 2004. V. 82. P. 73.
- Ikeuchi M., Uebayashi N., Sato F., Endo T. Physiological functions of PsbS-dependent and PsbS-independent NPQ under naturally fluctuating light conditions // Plant Cell Physiol. 2014. V. 55. P. 1286.
- Samson G., Bonin L., Maire V. Dynamics of regulated YNPQ and non-regulated YNO energy dissipation in sunflower leaves exposed to sinusoidal lights// Photosynth Res. 2019. V. 141. P. 315.
- Мартиросян Л.Ю., Мартиросян Ю.Ц., Кособрюхов А.А., В.М. Гольдберг, Гачок И.В., Мартиросян В.В., Гладченко М.А., Гайдамака С.Н., Америк А.Ю., Миних А.А., Варфоломеев С.Д. Биосинтез каучука и инулина в зависимости от спектрального состава света и активности фотосинтетического аппарата при аэропонном культивировании Taraxacum kok-saghys E. Rodin // Сельскохоз. биол. 2023. Т. 58. С. 100.
- Scott D.J., Da Costa B.M.T., Espy S.C., Keasling J.D., Cornish K. Activation and inhibition of rubber transferases by metal cofactors and pyrophosphate substrates // Phytochemistry. 2003. V. 64. P. 123.
- Cornish K. Biosynthesis of natural rubber (NR) in different rubber-producing species // Chemistry, Manufacture and Applications of Natural Rubber / Eds. Kohjiya S., Ikeda Y. Cambridge, Woodhead Publishing Limited. 2014. P. 3.
- da Costa B.M.T., Keasling J.D., McMahan C.M., Cornish K. Magnesium ion regulation of in vitro rubber biosynthesis by Parthenium argentatum Gray // Phytochemistry. 2006. V. 67. P. 1621.
Supplementary files





