LINE-1 methylation index correlates with sister chromatid exchanges and chromatid but not chromosome aberrations in personnel from a nuclear chemical facility with incorporated plutonium-239
- Authors: Vasilyev S.A.1, Tolmacheva E.N.1, Sazhenova E.A.1, Sukhanova N.N.1, Yakovleva Y.S.1,2, Torkhova N.B.1, Plaksin M.B.3, Lebedev I.N.1,2
-
Affiliations:
- Tomsk National Research Medical Center of the Russian Academy of Sciences
- Siberian State Medical University
- Seversk Clinical Hospital, Siberian Federal Clinical Center of the Federal Biomedical Agency
- Issue: Vol 60, No 4 (2024)
- Pages: 114-122
- Section: ГЕНЕТИКА ЧЕЛОВЕКА
- URL: https://medbiosci.ru/0016-6758/article/view/263467
- DOI: https://doi.org/10.31857/S0016675824040106
- EDN: https://elibrary.ru/cqpqmj
- ID: 263467
Cite item
Full Text
Abstract
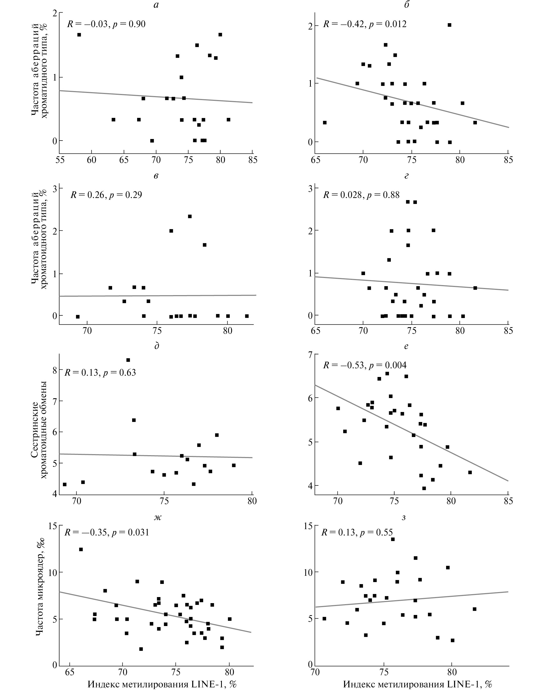
The level of chromosomal abnormalities in the somatic cells of adult individuals is characterized by significant interindividual variability, which may be partly affected by the genetic and epigenetic background. The epigenetic landscape in cells is largely determined by genome methylation. This study aimed to analyse the relationships between global genome methylation and the frequencies of chromosome abnormalities in lymphocytes of plutonium workers. The frequencies of chromosome aberrations, micronuclei, aneuploidy of chromosomes 2, 7, 8, 12, X and Y and sister chromatid exchanges were analysed in the lymphocytes of 40 male workers from a nuclear chemical facility (Seversk, Russia) with incorporated plutonium-239 and 49 healthy male volunteers who had no occupational exposure to ionizing radiation. The long interspersed nuclear elements-1 (LINE-1) methylation index was assessed as a well-known marker of global genome methylation. The frequencies of centromere-negative micronuclei (4.74 ± 2.26‰ vs. 3.02 ± 1.69‰), chromosome-type aberrations (0.81 ± 0.79 vs. 0.44 ± 0.69%) and total chromosome non-disjunction (0.93 ± 0.43 vs. 0.50 ± 0.25%) were significantly higher in the group of workers than in controls (p < 0.05). The LINE-1 methylation index did not differ significantly between the worker and control groups (74.93 ± 3.63 vs. 73.92 ± 4.62%). Correlations between LINE-1 methylation and the frequency of micronuclei (R = –0.35, p = 0.031) were observed in the control group, whereas correlations of LINE-1 methylation with chromatid-type aberrations (R = –0.42, p = 0.012) (but not chromosome-type aberrations) and with sister chromatid exchanges (R = –0.53, p = 0.004) were observed only in the group of plutonium workers. Thus, LINE-1 hypomethylation after plutonium exposure is associated mainly with chromatid breaks, either repaired or misrepaired.
Full Text
About the authors
S. A. Vasilyev
Tomsk National Research Medical Center of the Russian Academy of Sciences
Author for correspondence.
Email: stanislav.vasilyev@medgenetics.ru
Research Institute of Medical Genetics
Russian Federation, Tomsk, 634050E. N. Tolmacheva
Tomsk National Research Medical Center of the Russian Academy of Sciences
Email: stanislav.vasilyev@medgenetics.ru
Research Institute of Medical Genetics
Russian Federation, Tomsk, 634050E. A. Sazhenova
Tomsk National Research Medical Center of the Russian Academy of Sciences
Email: stanislav.vasilyev@medgenetics.ru
Research Institute of Medical Genetics
Russian Federation, Tomsk, 634050N. N. Sukhanova
Tomsk National Research Medical Center of the Russian Academy of Sciences
Email: stanislav.vasilyev@medgenetics.ru
Research Institute of Medical Genetics
Russian Federation, Tomsk, 634050Yu. S. Yakovleva
Tomsk National Research Medical Center of the Russian Academy of Sciences; Siberian State Medical University
Email: stanislav.vasilyev@medgenetics.ru
Research Institute of Medical Genetics
Russian Federation, Tomsk, 634050; Tomsk, 634050N. B. Torkhova
Tomsk National Research Medical Center of the Russian Academy of Sciences
Email: stanislav.vasilyev@medgenetics.ru
Research Institute of Medical Genetics
Russian Federation, Tomsk, 634050M. B. Plaksin
Seversk Clinical Hospital, Siberian Federal Clinical Center of the Federal Biomedical Agency
Email: stanislav.vasilyev@medgenetics.ru
Russian Federation, Seversk, 636035
I. N. Lebedev
Tomsk National Research Medical Center of the Russian Academy of Sciences; Siberian State Medical University
Email: stanislav.vasilyev@medgenetics.ru
Research Institute of Medical Genetics
Russian Federation, Tomsk, 634050; 634050, TomskReferences
- Allshire R.C., Madhani H.D. Ten principles of heterochromatin formation and function // Nat. Rev. Mol. Cell. Biol. 2017. V. 19. № 4. P. 229–244. https://doi.org/10.1038/nrm.2017.119
- Ostertag E.M., Kazazian H.H., Jr. Biology of mammalian L1 retrotransposons // Annu. Rev. Genet. 2001. V. 35. №. P. 501–538. https://doi.org/10.1146/annurev.genet.35.102401.091032
- Lu K.P., Ramos K.S. Identification of genes differentially expressed in vascular smooth muscle cells following benzo[a]pyrene challenge: Implications for chemical atherogenesis // Biochem. Biophys. Res. Commun. 1998. V. 253. № 3. P. 828–833. https://doi.org/S0006-291X(98)99866-7
- Lu K.P., Ramos K.S. Redox regulation of a novel L1Md-A2 retrotransposon in vascular smooth muscle cells // J. Biol. Chem. 2003. V. 278. № 30. P. 28201–28209. https://doi.org/10.1074/jbc.M303888200
- Lu K.P., Hallberg L.M., Tomlinson J. et al. Benzo(a)pyrene activates L1Md retrotransposon and inhibits DNA repair in vascular smooth muscle cells // Mutat. Res. 2000. V. 454. № 1–2. P. 35–44. https://doi.org/S0027-5107(00)00095-6
- Farkash E.A., Kao G.D., Horman S.R. et al. Gamma radiation increases endonuclease-dependent L1 retrotransposition in a cultured cell assay // Nucl. Ac. Res. 2006. V. 34. № 4. P. 1196–1204. https://doi.org/34/4/1196
- Stribinskis V., and Ramos K.S. Activation of human long interspersed nuclear element 1 retrotransposition by benzo(a)pyrene, an ubiquitous environmental carcinogen // Cancer Res. 2006. V. 66. № 5. P. 2616–2620. https://doi.org/66/5/2616
- Teneng I., Stribinskis V., Ramos K.S. Context-specific regulation of LINE-1 // Genes Cells. 2007. V. 12. № 10. P. 1101–1110. https://doi.org/GTC1117
- Wright R.O., Schwartz J., Wright R.J. et al. Biomarkers of lead exposure and DNA methylation within retrotransposons // Environ. Health. Perspect. 2010. V. 118. № 6. P. 790-795. https://doi.org/10.1289/ehp.0901429
- DʹUrso A., Brickner J.H. Mechanisms of epigenetic memory // Trends Genet. 2014. V. 30. № 6. P. 230–236. https://doi.org/10.1016/j.tig.2014.04.004
- Vasilyev S.A., Timoshevsky V.A., Lebedev I.N. Cytogenetic mechanisms of aneuploidy in somatic cells of chemonuclear industry professionals with incorporated plutonium-239 // Rus. J. of Genet. 2010. V. 46. № 11. P. 381–1385. https://doi.org/10.1134/s1022795410110141
- Muller S., Neusser M., Kohler D. et al. Preparation of complex DNA probe sets for 3D FISH with up to six different fluorochromes // CSH Protoc. 2007. V. 2007. https://doi.org/10.1101/pdb.prot4730
- Pembrey M., Golding J., Connelly J. ZNF277 microdeletions, specific language impairment and the meiotic mismatch methylation (3M) hypothesis // Eur. J. Hum. Genet. 2015. V. 23. № 9. https://doi.org/10.1038/ejhg.2014.262
- Brandom W.F., McGavran L., Bistline R.W. et al. Sister chromatid exchanges and chromosome aberration frequencies in plutonium workers // Int. J. Radiat. Biol. 1990. V. 58. № 1. P. 195–207. https://doi.org/352K8BG4CLW1K5PW
- Tawn E.J., Whitehouse C.A., Tarone R.E. FISH chromosome aberration analysis on retired radiation workers from the Sellafield nuclear facility // Radiat. Res. 2004. V. 162. № 3. P. 249–256.
- Tawn E.J., Whitehouse C.A., Riddell A.E. FISH chromosome analysis of plutonium workers from the Sellafield nuclear facility // Radiat. Res. 2006. V. 165. № 5. P. 592–597. https://doi.org/RR3530
- Hande M.P., Azizova T.V., Burak L.E. et al. Complex chromosome aberrations persist in individuals many years after occupational exposure to densely ionizing radiation: An mFISH study // Genes Chrom. Cancer. 2005. V. 44. № 1. P. 1–9. https://doi.org/10.1002/gcc.20217
- Anderson R.M., Tsepenko V.V., Gasteva G.N. et al. mFISH analysis reveals complexity of chromosome aberrations in individuals occupationally exposed to internal plutonium: A pilot study to assess the relevance of complex aberrations as biomarkers of exposure to high-LET alpha particles // Radiat. Res. 2005. V. 163. № 1. P. 26–35. https://doi.org/RR3286
- Kuzminov A. DNA replication meets genetic exchange: Chromosomal damage and its repair by homologous recombination // Proc. Natl Acad. Sci. USA. 2001. V. 98. № 15. P. 8461–8468. https://doi.org/10.1073/pnas.151260698
- Li H., Hilmarsen H.T., Hossain M.B. et al. Telomere length and LINE-1 methylation is associated with chromosomal aberrations in peripheral blood // Genes Chrom. Cancer. 2013. V. 52. № 1. P. 1–10. https://doi.org/10.1002/gcc.22000
- Lee Y., Kim Y.J., Choi Y.J. et al. Radiation-induced changes in DNA methylation and their relationship to chromosome aberrations in nuclear power plant workers // Int. J. Radiat. Biol. 2015. V. 91. № 2. P. 142–149. https://doi.org/10.3109/09553002.2015.969847
- Chambers J.C., and Taylor J.H. Induction of sister chromatid exchanges by 5-fluorodeoxycytidine: Correlation with DNA methylation // Chromosoma. 1982. V. 85. № 5. P. 603–609.
- Hori T.A. Induction of chromosome decondensation, sister-chromatid exchanges and endoreduplications by 5-azacytidine, an inhibitor of DNA methylation // Mutat. Res. 1983. V. 121. № 1. P. 47–52.
- Ikushima T. SCE and DNA methylation // Basic Life Sci. 1984. V. 29. Pt. A. P. 161–172.
- Lavia P., Ferraro M., Micheli A. et al. Effect of 5-azacytidine (5-azaC) on the induction of chromatid aberrations (CA) and sister-chromatid exchanges (SCE) // Mutat. Res. 1985. V. 149. № 3. P. 463–467.
- Shipley J., Sakai K., Tantravahi U. et al. Correspondence between effects of 5-azacytidine on SCE formation, cell cycling and DNA methylation in Chinese hamster cells // Mutat. Res. 1985. V. 150. № 1–2. P. 333–345.
- Bianchi N.O., Larramendy M., and Bianchi M.S. The asymmetric methylation of CG palindromic dinucleotides increases sister-chromatid exchanges // Mutat. Res. 1988. V. 197. № 1. P. 151–156.
- Albanesi T., Polani S., Cozzi R. et al. DNA strand methylation and sister chromatid exchanges in mammalian cells in vitro // Mutat. Res. 1999. V. 429. № 2. P. 239–248.
- Orta M.L., Calderon-Montano J.M., Dominguez I. et al. 5-Aza-2ʹ-deoxycytidine causes replication lesions that require Fanconi anemia-dependent homologous recombination for repair // Nucl. Ac. Res. 2013. V. 41. № 11. P. 5827–5836. https://doi.org/10.1093/nar/gkt270
- Osipov A.N., Grekhova A., Pustovalova M. et al. Activation of homologous recombination DNA repair in human skin fibroblasts continuously exposed to X-ray radiation // Oncotarget. 2015. V. 6. № 29. P. 26876–26885. https://doi.org/10.18632/oncotarget.4946
- Gundy S., Varga L., Bender M.A. Sister chromatid exchange frequency in human lymphocytes exposed to ionizing radiation in vivo and in vitro // Radiat. Res. 1984. V. 100. № 1. P. 47–54.
- Shubber E.K., al-Shaikhly A.W. Cytogenetic analysis of blood lymphocytes from X-ray radiographers // Int. Arch. Occup. Environ. Health. 1989. V. 61. № 6. P. 385–389.
- al-Sabti K., Lloyd D.C., Edwards A.A. et al. A survey of lymphocyte chromosomal damage in Slovenian workers exposed to occupational clastogens // Mutat. Res. 1992. V. 280. № 3. P. 215–223.
- Bozkurt G., Yuksel M., Karabogaz G. et al. Sister chromatid exchanges in lymphocytes of nuclear medicine physicians // Mutat. Res. 2003. V. 535. № 2. P. 205–213.
- Santovito A., Cervella P., Delpero M. Increased frequency of chromosomal aberrations and sister chromatid exchanges in peripheral lymphocytes of radiology technicians chronically exposed to low levels of ionizing radiations // Environ. Toxicol. Pharmacol. 2014. V. 37. № 1. P. 396–403. https://doi.org/10.1016/j.etap.2013.12.009
- Geard C.R. Induction of sister chromatid exchange as a function of charged-particle linear energy transfer // Radiat. Res. 1993. V. 134. № 2. P. 187–192.
- Schmid E., Roos H. Dose dependence of sister chromatid exchanges in humans lymphocytes induced by in vitro alpha-particle irradiation // Radiat. Environ. Biophys. 1996. V. 35. № 4. P. 311–314.
- Cho Y.H., Woo H.D., Jang Y. et al. The association of LINE-1 hypomethylation with age and centromere positive micronuclei in human lymphocytes // PLoS One. 2015. V. 10. № 7. https://doi.org/10.1371/journal.pone.0133909
Supplementary files



