Peculiarities of CH4 and CO2 Distribution in Sediments of the Arctic Seas
- Authors: Sevastyanov V.S.1, Fedulova V.Y.1, Kuznetsova O.V.1, Naimushin S.G.1, Dushenko N.V.1, Fedulov V.S.1, Krivenko A.P.1, Malova A.I.1, Tkachenko E.A.1
-
Affiliations:
- Vernadsky Institute of Geochemistry and Analytical Chemistry, Russian Academy of Sciences
- Issue: Vol 68, No 2 (2023)
- Pages: 163-172
- Section: Articles
- URL: https://medbiosci.ru/0016-7525/article/view/134787
- DOI: https://doi.org/10.31857/S0016752523020085
- EDN: https://elibrary.ru/CKYTGR
- ID: 134787
Cite item
Full Text
Abstract
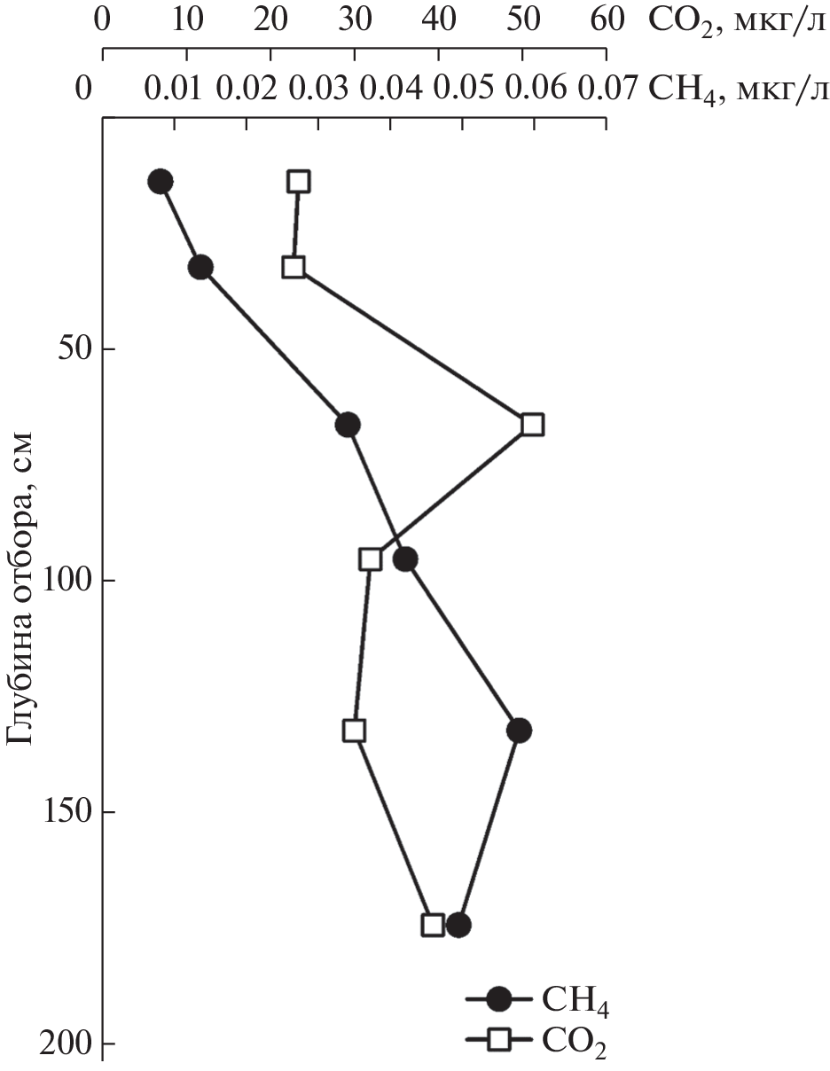
The distribution of the concentrations of CH4 and CO2 and other gases in the sediments of the Kara, Laptev and East Siberian seas was studied. A correlation was found between CH4 and CO2 in most sediment cores. The correlation coefficient R for the sediments of the Kara Sea ranges from 0.58 to 0.97 and does not depend on the gas distribution with depth. Methanogenesis in marine sediments is presumably associated with sulfate reduction, and hydrogenotrophic methanogenesis leads to an increase in CH4 concentration against the background of high CO2 concentration. The high concentration of dimethyl sulfide in the sediments indicates the simultaneous formation of CH4 and CO2 through methylotrophic methanogenesis with the participation of CH3SCH3. In the upper layers of the sediment, opposite trends in the CH4 and CO2 distribution can be observed. The fact that the correlation coefficients between CH4 and CO2 gases in the sediments of the Laptev Sea acquire both negative and positive values is probably related to the fact that gas formation processes in the upper layers of the sediment captured by short columns differ from those of deep layers.
Keywords
About the authors
V. S. Sevastyanov
Vernadsky Institute of Geochemistry and Analytical Chemistry, Russian Academy of Sciences
Email: vsev@geokhi.ru
Russia 119991 Moscow, Kosygin Str, 19
V. Yu. Fedulova
Vernadsky Institute of Geochemistry and Analytical Chemistry, Russian Academy of Sciences
Email: vsev@geokhi.ru
Russia 119991 Moscow, Kosygin Str, 19
O. V. Kuznetsova
Vernadsky Institute of Geochemistry and Analytical Chemistry, Russian Academy of Sciences
Email: vsev@geokhi.ru
Russia 119991 Moscow, Kosygin Str, 19
S. G. Naimushin
Vernadsky Institute of Geochemistry and Analytical Chemistry, Russian Academy of Sciences
Email: vsev@geokhi.ru
Russia 119991 Moscow, Kosygin Str, 19
N. V. Dushenko
Vernadsky Institute of Geochemistry and Analytical Chemistry, Russian Academy of Sciences
Email: vsev@geokhi.ru
Russia 119991 Moscow, Kosygin Str, 19
V. S. Fedulov
Vernadsky Institute of Geochemistry and Analytical Chemistry, Russian Academy of Sciences
Email: vsev@geokhi.ru
Russia 119991 Moscow, Kosygin Str, 19
A. P. Krivenko
Vernadsky Institute of Geochemistry and Analytical Chemistry, Russian Academy of Sciences
Email: vsev@geokhi.ru
Russia 119991 Moscow, Kosygin Str, 19
A. I. Malova
Vernadsky Institute of Geochemistry and Analytical Chemistry, Russian Academy of Sciences
Email: vsev@geokhi.ru
Russia 119991 Moscow, Kosygin Str, 19
E. A. Tkachenko
Vernadsky Institute of Geochemistry and Analytical Chemistry, Russian Academy of Sciences
Author for correspondence.
Email: vsev@geokhi.ru
Russia 119991 Moscow, Kosygin Str, 19
References
- Богоявленский В.И., Казанин А.Г., Кишанков А.В., Казанин Г.А. (2021) Дегазация Земли в Арктике: комплексный анализ факторов мощной эмиссии газа в море Лаптевых. Арктика: экология и экономика. 11(2), 178-194.
- Вержбицкий В.Е., Косенкова Н.Н., Ананьев В.В., Малышева С.В., Васильев В.Е., Мурзин Р.Р., Комиссаров Д.К., Рослов Ю.В. (2012) Геология и углеводородный потенциал Карского моря. Oil & Gas J. Russia. (1–2), 48-54.
- Галимов Э.М., Кодина Л.А. (1982) Исследование органического вещества и газов в донных толщах дна Мирового океана. М.: Наука, 228 с.
- Галимов Э.М., Кодина Л.А., Степанец О.В., Коробейник Г.С. (2006) Биогеохимия Российской Арктики. Карское море. Результаты исследований по проекту SIRRO 1995–2003 гг. Геохимия. (11), 1139-1191.
- Galimov E.M., Kodina L.A., Stepanets O.V., Korobeinik G.S. (2006) Biogeochemistry of the Russian Arctic. Kara sea: research results under the SIRRO project, 1995–2003. Geochem. Int. 44(11), 1053-1104.
- Каллистова А.Ю., Меркель А.Ю., Тарновецкий И.Ю., Пименов Н.В. (2017) Образование и окисление метана прокариотами. Микробиология. 86(6), 661-683.
- Леин А. Ю., Саввичев А.С., Русанов И.И., Павлова Г.А., Беляев Н.А., Крейн К., Пименов Н.В., Иванов М.В. (2007) Биогеохимические процессы в Чукотском море. Литология и полезные ископаемые. (3), 247-266.
- Леин А.Ю., Иванов М.В. (2009) Биогеохимический цикл метана в океане. М.: Наука, 576 с.
- Леин А.Ю., Кравчишина М.Д., Политова Н.В., Саввичев А.С., Веслополова Е.Ф., Мицкевич И.Н., Ульянова Н.В., Шевченко В.П., Иванов М.В. (2012) Трансформация взвешенного органического вещества на границе вода–дно в морях Российской Арктики (по изотопным и радиоизотопным данным). Литология и полезные ископаемые. (2), 115-145.
- Панова Е.В., Рубан А.С., Дударев О.В., Тези Т., Бредер Л., Густафссон О., Гринько А.А., Шахова Н.Е., Гончаров И.В., Мазуров А.К., Семилетов И.П. (2017) Литологические особенности донных осадков и их влияние на распределение органического материала на территории Восточно-Сибирского шельфа. Известия Томского политехнического ун-та. Инжиниринг георесурсов. 328(8), 94-105.
- Саввичев А.С., Захарова Е.Е., Веслополова Е.Ф., Русанов И.И., Леин А.Ю., Иванов М.В. (2010) Микробные процессы циклов углерода и серы в Карском море. Океанология. 50(6), 942-957.
- Севастьянов В.С., Федулова В.Ю., Стенников А.В., Кузнецова О.В., Наймушин С.Г., Душенко Н.В., Кривенко А.П. (2021) Особенности распределения газов в верхнем слое осадков в системе континентальный шельф моря Лаптевых – Ледовитый океан. Океанология. 61(4), 472-487.
- Федоров Ю.А., Тамбиева Н.С., Гарькуша Д.Н., Хорошевская В.О. (2007) Метан в водных экосистемах. Ростов на Дону: Ростиздат, 330 с.
- Флинт М.В. Арашкевич Е.Г., Артемьев В.А., Баранов Б.В., Беззубова Е.М., Белевич Т.А., Веденин А.А., Галкин С.В., Гончаренко И.В., Демидов А.Б., Дриц А.В., Дроздова А.Н., Казеннов А.Ю., Косолапов Д.Б., Кравчишина М.Д., Лобус Н.В., Маккавеев П.Н., Мирошников А.Ю., Мишин А.В., Осадчиев А.А., Полухин А.А., Поярков С.Г., Пронин А.А., Римский-Корсаков Н.А., Романова Н.Д., Саввичев А.С., Суханова И.Н., Чернецкий А.Д., Шатравин А.В., Щука С.А. (2018) Экосистемы морей Сибирской Арктики. Материалы экспедиционных исследований 2015 и 2017 гг. М.: АПР, 232 с.
- Baranov B., Galkin S., Vedenin A., Dozorova K., Gebruk A., Flint M. (2020) Methane seeps on the outer shelf of the Laptev Sea: characteristic, features, structural control, and benthic fauna Geo-Marine Letters. 40, 541-557.
- Bodenbender J., Wassmann R., Papen H., Rennenberg H. (1999) Temporal and spatial variation of sulfur-gas-transfer between coastal marine sediments and the atmosphere. Atmospheric Environment. 33, 3487-3502.
- Boetius A., Ravenschlag K., Schubert C.J., Rickert D., Widdel F., Gieseke A., Amann R., Jùrgensen B.B., Witte U., Pfannkuche O. (2000) A marine microbial consortium apparently mediating anaerobic oxidation of methane. Nature. 407, 623-626.
- Coffin R.B., Smith J.P., Plummer R.E., Yoza B., Larsen R.K., Millholland L.C., Montgomery M.T. (2013) Spatial variation in shallow sediment methane sources and cycling on the Alaskan Beaufort Sea Shelf/Slope. Marine and Petroleum Geology. 45, 186-197.
- Dai J.-X., Song Y., Dai C.-S., Wang D.-R. (1996) Geochemistry and accumulation of carbon dioxide gases in China. AAPG Bulletin. 80(10), 1615-1626.
- Hoehler T.M., Alperin M.J., Albert D.B., Martens C.S. (1994) Field and laboratory studies of methane oxidation in an anoxic marine sediment: Evidence for a methanogen-sulfate reducer consortium. Global Biogeochem Cycles. 8(4), 451-463.
- Keller M.D, Bellows W.K., Guillard R.R. (1989) Dimethyl sulfide production in marine phytoplankton In Biogenic sulfur in the environment. (Eds. Saltzman E.S., Cooper W.J.). Washington, D.C.: American Chemical Society, 167-182.
- Kim J.-H., Hachikubo A., Kida M., Minami H., Lee D.-H., Jin Y.K., Ryu J.-S., Lee Y.M., Hur J., Park M.-H., Kim Y.-G., Kang M.-H., Park S., Chen M., Kang S.-G., Kim S. (2020) Upwarding gas source and postgenetic processes in the shallow sediments from the ARAON Mounds, Chukchi Sea. J. Natural gas Science and Engineering. 76, 103223.
- Knittel K., Boetius A. (2009) Anaerobic Oxidation of Methane: Progress with an Unknown Process. Annual Review of Microbiology. 63, 311-334.
- Meister P., Reyes C. (2019) The Carbon-Isotope Record of the Sub-Seafloor Biosphere. Geosciences. 9(12). 507, 1-25.
- Semenov P., Portnov A., Krylov A., Egorov A., Vanshtain B. (2020) Geochemical evidence for seabed fluid flow linked to the subsea permafrost outer border in the South Kara Sea. Geochemistry. 80(3), 125509.
- Stein R., Fahl K., Futterer D., Galimov E.M., Stepanets O.V. (2003) Siberian river run-off in the Kara Sea. Characterisation, quantification, variability and environmental signification. Amsterdam: Elsevier, 2003. 488 p.
- Whelan T. (1974) Methane and carbon dioxide in coastal marsh sediments. In Natural gases in marine sediments (Ed. Kaplan I.R.), N.Y.: Plenum Press, 47-61.
- Zhuang G.-C., Lin Yu-S., Bowles M.W., Heuer V.B., Lever M.A., Elvert M., Hinrichs K.-U. (2017) Distribution and isotopic composition of trimethylamine, dimethylsulfide and dimethylsulfonniopropionate in marine sediments. Marine Chemistry. 196, 35-46.
Supplementary files







