Biomarker hydrocarbons in autochthonous and migrated bitumens in Precambrian of the Ust’-Mayskaya-366 well (Siberian platform)
- Authors: Timoshina I.D.1
-
Affiliations:
- Trofimuk Institute of Petroleum Geology and Geophysics SB RAS
- Issue: Vol 69, No 11 (2024)
- Pages: 1022-1038
- Section: Articles
- URL: https://medbiosci.ru/0016-7525/article/view/277710
- DOI: https://doi.org/10.31857/S0016752524110052
- EDN: https://elibrary.ru/IELPXC
- ID: 277710
Cite item
Full Text
Abstract
Within the framework of the problem of establishing the biogeochemical features of Precambrian petroleum-derived organic matter (OM) and naphthides generated by it, the distribution of biomarker hydrocarbons in samples from Ust-Mayskaya-366 well of the Aldano-Maya depression of the Siberian platform has been studied at a detailed modern level. In order to correlate OM and assess the effect of migration on biomarker parameters, allochthonous and mixed bitumens (AllB and MB), as well as extracted from the undivided rock open-pore bitumens (OPB) of the Neryuen, Ignikan, Kandyk, Ust-Kirbin (Riphean) and Sardana (Vendian) Formations were studied in comparison with autochthonous bitumen (AutB), of the Neryuen Formation’s oil-source-rock horizon in samples from the Ust-Mayskaya-366 well of the Aldan-Maya depression. Saturated cyclanes and aromatic fraction compounds for this well were analyzed for the first time. Neryuen mudstones are enriched with organic matter (TOC > 1%) accumulated in clays (in steranes βα/(αα + ββ)=0.5), which survived diagenesis in reducing environments without excess H2S (in homohopanes C35/C34=0.4) and thermally transformed within MC2-MC31 (Tmax – 452–465 °C). The maximum in tricyclanes C19–31 in almost all studied samples is C23, as well as in the Neryuen AutB. Even homologues of a number of 3,7-dimethylalkanes present in the Neryuen AutB and Ust-Kirbin MB, as well as those observed in trace amounts in the Neryuen and Ignikan MBs and in the OPBs of the Sardana formation, apparently disperse at migration. 12- and 13-monomethylalkanes are recorded in all bitumens, and they are especially abundant in the Kandyk OPBs – probably these compounds can accumulate during migration. Migrated bitumens differ from AutB by an increase in the proportion of steranes C29 (to C29/nC27 > 2) and the ratio nC27/nC17 (to > 1). A relationship with the bitumen coefficient was found for: Pr/Ph, nC27/nC17, ΣnCi/ΣizoCi in acyclic hydrocarbons, C29/C27 in steranes, C35/C34 in homohopanes, hopane/tricyclane ratios – these parameters are likely subject to migration effects. Probably, the Riphean bitumens have their source mainly in the carbonaceous Neryuen horizon, variations in characteristics are associated with catagenesis and migration processes of accumulation or dispersion of low molecular weight mobile compounds. The OPBs of the Sardana Formation differ from the Riphean ones. The upper 2 bitumens are immature parautochthonous, the rest are probably a mixture of Riphean and Vendian bitumens, which were influenced by the effects of solutions from the located southeast stratiform polymetallic deposits Sardana (about 35 km) and Perevalnoye (about 20 km) with mineralization in the Vendian.
Full Text
ВВЕДЕНИЕ
Решение задачи по прогнозу нефтегазоносности включает корреляцию нефтей в залежах и органического вещества (ОВ) потенциально нефтематеринских отложений. Для большей части месторождений нефтей докембрия и нижнего кембрия Сибирской платформы считаются нефтематеринскими рифейские углеродистые толщи ее обрамления (Конторович и др., 1999). Однако докембрийское ОВ Сибирской платформы и прилегающих территорий имеет слишком высокую термическую зрелость, поэтому его геохимические характеристики искажены и неприменимы для генетической и катагенетической диагностики и для корреляции с нефтями. В пределах Алдано-Майской впадины на юго-востоке Сибирской платформы докембрийские отложения содержат умеренно преобразованное ОВ, и согласно последним исследованиям на основании изучения геологического строения Алдано-Майской впадины с выделением нефтегазоносных комплексов, с использованием корреляции разрезов глубоких скважин, с учетом нафтидопроявлений перспективы нефтегазоносности Алдано-Майской впадины оцениваются высоко (Фомин и др., 2022). Геохимическое изучение ОВ докембрия Алдано-Майской впадины ранее проводилось многими учеными (Т. К. Баженова, М. В. Дахнова, Т. М. Парфенова, А. Ф. Сафронов, П. Н. Соболев, О. В. Шиганова, О. Н. Чалая, И. Н. Зуева и др.) с целью оценить перспективы нефтегазоносности региона и в частности докембрийских образований на основании характеристик нефтематеринского ОВ: концентраций Сорг и битумоидов, уровня катагенетической преобразованности ОВ, а также следов миграции, нафтидопроявлений. В качестве нефтематеринской рассматривалась в основном обогащенная ОВ малгинская свита, преобразованная в пределах мезокатагенеза. Были обнаружены многочисленные битумопроявления в обнажениях р. Мая. Тем не менее этот труднодоступный район остается слабо изученным методами органической геохимии. Пробуренная в последние годы параметрическая скважина Усть-Майская-366 позволила восполнить недостаток геохимической информации. В недавней работе (Соболев и др., 2017) изучены геолого-геохимические особенности разреза этой скважины, рассмотрены характеристики предположительно нефтематеринского ОВ нерюенской свиты и мигрировавших битумоидов залегающих выше кандыкской и сарданинской свит, в том числе распределение ациклических УВ-биомаркеров, однако в статью не вошли данные по циклическим УВ-биомаркерам и соединениям ароматической фракции, и настоящая работа дополняет эти исследования.
В качестве нефтематеринских в отложениях докембрия Алдано-Майской рассматриваются среднерифейские малгинская и мускельская свиты и верхнерифейская нерюенская свита, но малгинская обогащена ОВ только в южной части Алдано-Майской впадины, а мускельская – в северной (Соболев и др., 2017). Представленная работа охватывает изучение ОВ верхнерифейских майской (нерюенская и игниканской свиты) и уйской (кандыкская и усть-кирбинская свиты) серий, возраст 1100–850 млн лет и 850–650 млн лет соответственно, а также сарданинской свиты венда (юдомская серия, возраст 650–550 млн лет) (Решения…, 1983; Хоментовский, 2005) в разрезе скв. Усть-Майская-366. По составу углеводородов-биомаркеров определены генезис ОВ, особенности его накопления, диагенетическая и катагенетическая преобразованность, влияние миграционных эффектов на состав битумоидов докембрийских толщ района.
ОБЪЕКТ И МЕТОДЫ ИССЛЕДОВАНИЙ
Керн нерюенской, игниканской, кандыкской, усть-кирбинской и сарданинской свит скв. Усть-Майская-366, пробуренной в пределах Алдано-Майской впадины на юго-востоке Сибирской платформы, изучен в Лаборатории геохимии нефти и газа ИНГГ СО РАН. Нерюенская свита (мощность более 315 м), сложена в основном известняками; в нижней части, в интервале 3680–3691 м, судя по темной окраске, известняки обогащены битумом. В верхней части свита имеет горизонт обогащенных ОВ аргиллитов. Нерюенскую свиту перекрывает карбонатная игниканская свита мощностью 300 м, содержащая, судя по темной окраске, твердые битумы в стилолитовых швах в интервале 3208.7–3227.4 м. Выше лежит мощная (1100 м) терригенная кандыкская свита, в которой зафиксированы выпоты нефти в интервалах 3041.6–3052.2 м 3019.2–3026.1 м и 2717.3–2732.7 м. Кандыкскую свиту перекрывает терригенная усть-кирбинская (251 м), на которой несогласно лежат доломиты (участками перекристаллизованные) и мергели с тонкими прослоями аргиллитов вендской сарданинской свиты (289 м), содержащая макробитумы в трещинах и кавернах интервалов 1714–1720.2 м и 1657.9–1670.4 м. Геохимические исследования включали определения концентраций и пиролитических и изотопных характеристик органического углерода (Сорг), концентраций растворимых в хлороформе битумоидов (bхл). Для более детального исследования миграционных эффектов (сравнение характеристик битумоида, содержащего автохтонный компонент, с мигрировавшим битумоидом) из недробленых пород извлекались битумоиды открытых пор и из предварительно раздробленных пород – битумоиды открытых и закрытых пор. В экстрактах проведен анализ группового состава битумоидов, а также состава углеводородов (УВ), в том числе методами газожидкостной хроматографии (ГЖХ) и хроматомасс-спектрометрии (ХМС). Все методики являются традиционными в Лаборатории геохимии нефти и газа ИНГГ СО РАН, их описание дано в работе (Борисова и др., 2019). Анализ ГЖХ метано-нафтеновых фракций проводился на газовом хроматографе “Маэстро” (Agilent Technologies 7820A GC System) с пламенно-ионизационным детектором, кварцевой капиллярной колонкой HP5 (неподвижная фаза – 5 % дифенил- + 95 % диметилсилоксан, толщина 0.25 мкм), в режиме линейного программирования температуры (от 40 до 290 °C, скорость нагрева 4 °C/мин), газ-носитель – гелий. В качестве растворителя использовался пентан. Ввод проб осуществлялся с помощью автоматического устройства в режиме split (1:4). Температура инжектора и детектора – 290 °C. Идентификацию индивидуальных соединений проводили по типовым ГЖХ-хроматограммам и индексам удерживания. Анализ ХМС метано-нафтеновых и нафтено-ароматических фракций осуществлялся на системе, включающей газовый хроматограф “Agilent 6890”, высокоэффективный масс-селективный детектор Agilent MSD5972A и компьютерную систему регистрации и обработки информации HPG 1034. Фракции растворяли в пентане. Ввод проб проводился с помощью автоматического устройства AS7673 в режиме split. Анализ проводился с использованием такой же как для ГЖХ капиллярной кварцевой колонки, газ-носитель – гелий. Температурная программа: начало – изотерма при 100 °C длительностью 4 мин с последующим нагревом до 290 °C со скоростью 4 °C/мин и выдержкой при этой температуре 30 мин. Идентификация анализируемых соединений осуществлялась по временам удерживания путем сравнения полученных масс-фрагментограмм с опубликованными (Peters et al., 2007), а также сопоставлением масс-спектров отдельных компонентов со спектрами из библиотеки Национального института стандартов и технологий (США) NISТ-05.
В настоящей работе изучены только мигрировавшие (аллохтонные, смешанные битумоиды и битумоиды открытых пор) в сравнении с автохтонным битумоидом нерюенской свиты, обогащенной ОВ и предположительно являющейся источником всех битумоидов.
РЕЗУЛЬТАТЫ ИССЛЕДОВАНИЙ И ОБСУЖДЕНИЕ
Изучена коллекция из 23 образцов рифея и венда скв. Усть-Майская-366. В разрезе по результатам предыдущих исследований (Соболев и др., 2017) выделяется только один прослой потенциально нефтематеринских отложений – в кровле нерюенской свиты (Сорг = 1.26 % на породу) (табл. 1). Органическое вещество этих аргиллитов имеет пограничное значение δ13Сорг между аквагенным и террагенным ОВ (Конторович и др., 1986 и др.) – возможно, высокие градации катагенеза привели к обогащению ОВ изотопом 13С (до δ13С = –28.2‰).
Таблица 1. Некоторые характеристики образцов скв. Усть-Майская-366, по которым проведен анализ УВ-биомаркеров
№ | Глубина, м | Возраст | Свита | Литология | Сорг, % | δ13Сорг, ‰ | bхл, % | β, % | Тип битумоида* | Насыщенные УВ | Ароматические УВ | Смолы | Асфальтены |
1 | 1551.20 | V | сарданинская | доломит | – | – | 0.001 | – | БОП | 16.4 | 7.5 | 76.1 | 0.0 |
2 | 1577.20 | – | – | 0.001 | – | БОП | 21.9 | 1.4 | 76.7 | 0.0 | |||
3 | 1659.20 | – | – | 0.098 | – | БОП | 57.2 | 15.1 | 26.9 | 0.7 | |||
4 | 1659.40 | – | – | 0.011 | – | БОП | 51.9 | 16.4 | 30.7 | 1.0 | |||
5 | 1664.76 | – | – | 0.012 | – | БОП | 32.0 | 19.9 | 47.0 | 1.1 | |||
6 | 1717.63 | карбонат | – | – | 0.218 | – | БОП | 69.8 | 13.3 | 16.4 | 0.5 | ||
7 | 1988.10 | R3 | усть-кирбин-ская | песчаник | 0.06 | – | 0.004 | 5.4 | СмБ | 12.5 | 2.9 | 84.6 | 0.0 |
8 | 2723.63 | кандыкская | – | – | 0.147 | – | БОП | 76.0 | 12.5 | 11.1 | 0.3 | ||
9 | 2728.02 | – | – | 0.057 | – | БОП | 73.6 | 9.8 | 16.2 | 0.4 | |||
10 | 3015.50 | алевро-аргиллит | 0.89 | −32.0 | 0.211 | 17.9 | АллБ | 67.8 | 11.4 | 18.3 | 2.5 | ||
11 | 3020.66 | песчаник | – | – | 0.145 | – | БОП | 77.0 | 13.2 | 9.3 | 0.5 | ||
12 | 3025.59 | – | – | 0.030 | – | БОП | 78.7 | 9.5 | 11.4 | 0.4 | |||
13 | 3047.21 | алевро-аргиллит | 0.40 | −30.5 | 0.088 | 16.4 | АллБ | 71.8 | 9.8 | 17.0 | 1.3 | ||
14 | 3048.43 | песчаник | 0.27 | −29.8 | 0.057 | 15.8 | АллБ | 68.9 | 6.1 | 21.9 | 3.1 | ||
15 | 3048.43 | – | – | 0.009 | – | БОП | 70.3 | 7.8 | 21.9 | 0.0 | |||
16 | 3050.36 | – | – | 0.068 | – | БОП | 78.7 | 9.5 | 11.3 | 0.4 | |||
17 | 3214.3-3215.18 | игникан-ская | известняк | – | – | 0.004 | – | БОП | 62.1 | 10.9 | 25.2 | 1.8 | |
18 | 3215.18 | 0.21 | −26.3 | 0.015 | 5.4 | СмБ | 50.5 | 9.5 | 31.7 | 8.3 | |||
19 | 3474.49-3476.49 | нерюенская | аргиллит | 1.26 | −28.2 | 0.007 | 0.5 | АвтБ | 32.4 | 10.8 | 51.8 | 5.1 | |
20 | 3680-3680.98 | известняк | 0.05 | – | 0.005 | 15.0 | АллБ | 58.7 | 4.4 | 36.3 | 0.6 | ||
21 | 3682.71 | 0.07 | – | 0.011 | 12.8 | АллБ | 62.0 | 6.4 | 30.2 | 1.3 | |||
22 | 3685.23 | 0.05 | – | 0.006 | 7.8 | СмБ | 54.5 | 1.4 | 39.9 | 4.2 | |||
23 | 3685.23 | – | – | 0.003 | – | БОП | 65.9 | 2.3 | 31.8 | 0.0 |
*Тип битумоида: АвтБ – автохтонный битумоид (битумоидный коэффициент β < 5 %), СмБ – смешанный битумоид (5 < β< 10 %), АллБ – аллохтонный битумоид (β > 10 %), БОП – битумоид открытых пор, извлеченный из недробленых образцов.
На рис. 1 образцы нерюенской свиты (к которым добавлены данные пиролиза по непроэкстрагированным образцам – они не пронумерованы) лежат в области керогена типа II, а 3 образца в области керогена типа III – последнее, как и повышение δ13Сорг, объясняется высокой термической преобразованностью.
Рис. 1. Пиролитические характеристики органического вещества нерюенской свиты скв. Усть-Майская-366: 1 – направленность изменений величин HI и Tmax в катагенезе, 2 – линии, ограничивающие максимальные значения водородного индекса для трех типов органического вещества (I – аквагенного озерного, II – аквагенного морского, III – террагенного), 3 – изолинии Rovt, ограничивающие главную зону нефтеобразования; цифры курсивом соответствуют номерам образцов в табл. 1.
Ранее на основании данных пиролиза и по составу пластовых газов было сделано заключение о катагенезе на уровне главной зоны нефтеобразования и более жестких преобразованиях (Соболев и др., 2017). На рис. 1 добавленные данные пиролиза по непроэкстрагированным образцам нерюенской свиты лежат в области мезо- и апокатагенеза, причем 3 наиболее преобразованных образца (Tmax – 488–498 °C) имеют низкое содержание Сорг (0.05–0.23 %). Судя по данным пиролиза обогащенных Сорг (1.16–1.36 %, в среднем 1.26 %) образцов (Tmax – 452–465 °C), нефтематеринское ОВ рифея в целом преобразовано в пределах МК2-МК31. Три образца находятся в области битумов (присутствие твердых битумов может снизить Tmax).
Автохтонный битумоид (АвтБ, битумоидный коэффициент β = 0.5 %) из аргиллитов нерюенской свиты (№ 19 в табл. 1, 2) является аквагенным (максимум в н-алканах на С18, близкие концентрации стеранов С27 и С29, трициклановый индекс ITC = 2C19-20/C23-26 = 0.8), докембрийским (содержит 9.4 % 12- и 13-монометилалканов). Материнское ОВ накапливалось в бассейне с глинистым осадком (в стеранах βα/(αα + ββ) = 0.5, Ts/Tm = 1.0), пережило диагенез в восстановительных обстановках без избытка H2S (в гомогопанах C35/C34 = 0.4), преобразовано в пределах МК2-МК31, снижение стеранового коэффициента зрелости К2 = ββ(20S + 20R)/αα20R (Петров, 1994) в стеранах С29 (до 2.6), возможно, связано его с инверсией при высоком катагенезе (Brocks et al., 2003 и др.).
Смешанный битумоид (СмБ, β = 5.4 %) усть-кирбинской свиты № 7 и два битумоида открытых пор (БОП) №№ 1, 2 содержат мало УВ (15.4, 23.8 и 23.3 % соответственно), на уровне автохтонных, но при этом не содержат асфальтенов (табл. 1). Возможно, №№ 1, 2 содержат паравтохтонные битумоиды, пережившие сложные миграционные эффекты.
В АвтБ нерюенской свиты № 19 и в СмБ усть-кирбинской свиты № 7 присутствуют в небольших количествах четные гомологи ряда соединений, ранее идентифицированных как 2-,7-диметилалканы в вендских аргиллитах Присаянья, в ОВ кумахинской и нельканской свит Алдано-Майской впадины (Каширцев и др., 2009, 2017; Парфенова, Суслова, 2019), найденных в малгинской, мильконской и кандыкской свитах и не обнаруженных в ципандинской и игниканской свитах из обнажений р. Мая (Тимошина, Болдушевская, 2020). В дальнейшем при изучении нескольких гомологических рядов диметилалканов все гомологи этого ряда были переопределены как 3-,7-диметилалканы (Каширцев и др., 2021). В настоящей работе они отнесены к 3-,7-диметилалканам (рис. 2, табл. 2). Эти соединения отмечаются также в следовых количествах в нерюенском СмБ № 22 и игниканском СмБ № 18, кандыкском аллохтонном битумоиде (АллБ) № 14 и в БОП сарданинской свиты №№ 1, 2. Вероятно, эти соединения теряются в процессе миграции.
Рис. 2. Хроматограмма по общему ионному току (TIC) и масс-фрагментограммы терпанов по m/z 71 и m/z 127 в автохтонном битумоиде образца № 19 нерюенской свиты (17–31 – пики н-алканов, Pr и Ph – пристан и фитан, 3.7(24)–3.7(32) – пики 3-,7-диметилалканов).
Таблица 2. Характеристики насыщенных УВ-биомаркеров в битумоидах докембрия скв. Усть-Майская-366
№ | Ациклические УВ | Циклические УВ | |||||||||||||||||
стераны | терпаны | ||||||||||||||||||
максимумы | nC27 / nC17 | CPI | Pr / Ph | Pr/nC17 | Ph /nC18 | ΣnCi/ΣizoCi | 3-, 7-диметилалканы | 12-, 13-монометилалканы, % | C29/C27 | К2 | βα/ (αα + ββ) | гопаны С27–35 / трицикланы С19–31 | максимумы | Ts/Tm в гопанах | C35/C34 в гомогопанах | ITC | |||
н-алканы | изопреноиды | гопаны С27–35 | трицикланы С19–31 | ||||||||||||||||
1 | C23 | C23 | 8.2 | 1.1 | 0.2 | 0.3 | 0.4 | 21.8 | следы | 6.5 | 2.3 | 1.9 | 0.1 | 6.6 | С30 | С23 | 0.4 | 1.0 | 0.1 |
2 | C23 | C20 | 4.1 | 1.1 | 0.3 | 0.3 | 0.4 | 23.5 | следы | 4.6 | 2.6 | 1.7 | 0.1 | 6.7 | С30 | С23 | 0.3 | 0.9 | 0.4 |
3 | C22 | C20 | 2.6 | 1.1 | 0.5 | 0.5 | 0.6 | 12.5 | нет | 5.6 | 2.1 | 4.9 | 1.2 | 1.1 | С30 | С21 | 1.6 | 0.6 | 0.5 |
4 | C23 | C20 | 2.3 | 1.0 | 0.6 | 0.4 | 0.5 | 16.4 | нет | 4.1 | 1.8 | 6.6 | 1.5 | 0.7 | С30 | С23 | 2.4 | 0.6 | 0.6 |
5 | C19 | C20 | 1.3 | 1.0 | 0.4 | 0.3 | 0.4 | 11.7 | нет | 5.6 | 2.0 | 3.8 | 1.5 | 1.1 | С30 | С21 | 2.2 | 0.6 | 0.6 |
6 | C23 | C20 | 2.3 | 1.0 | 0.5 | 0.2 | 0.3 | 23.1 | нет | 4.1 | 2.0 | 4.6 | 0.6 | 0.8 | С30 | С21 | 1.3 | 0.6 | 1.0 |
7 | C23 | C20 | 1.6 | 1.2 | 0.5 | 0.4 | 0.4 | 8.8 | есть | 10.9 | 1.0 | 3.1 | 0.3 | 1.4 | С30 | С23 | 1.0 | 0.9 | 0.3 |
8 | C22 | C25 | 1.3 | 1.0 | 0.5 | 0.2 | 0.3 | 10.4 | нет | 8.8 | 1.3 | 5.0 | 0.4 | 0.2 | С30 | С23 | 8.4 | 0.6 | 0.4 |
9 | C24 | C20 | 1.5 | 1.0 | 0.7 | 0.3 | 0.4 | 9.5 | нет | 7.8 | 1.5 | 6.2 | 0.4 | 0.1 | С30 | С23 | 22.9 | 1.0 | 0.3 |
10 | C17 | C18 | 0.1 | 1.1 | 1.0 | 0.2 | 0.2 | 6.5 | нет | 7.7 | – | – | – | – | – | – | – | – | – |
11 | C17 | C18 | 0.1 | 1.0 | 1.1 | 0.2 | 0.2 | 6.3 | нет | 6.4 | – | – | – | – | – | – | – | – | – |
12 | C17 | C20 | 0.2 | 1.1 | 0.8 | 0.2 | 0.3 | 6.5 | нет | 8.4 | – | – | – | – | – | – | – | – | – |
13 | C17 | C18 | 0.2 | 1.0 | 1.1 | 0.2 | 0.2 | 6.6 | нет | 10.0 | 1.0 | 1.6 | 0.4 | 1.4 | С29 | С23 | 0.7 | 0.7 | 0.7 |
14 | C17 | C18 | 0.2 | 1.1 | 0.9 | 0.2 | 0.2 | 6.5 | следы | 12.8 | 0.9 | 3.3 | 0.4 | 1.6 | С29 | С23 | 3.1 | 0.3 | |
15 | C17 | C20 | 0.2 | 1.1 | 0.9 | 0.2 | 0.3 | 5.4 | нет | 14.3 | 1.0 | 4.2 | 0.4 | 2.1 | С29 | С23 | 2.5 | 0.8 | 0.6 |
16 | C17 | C20 | 0.3 | 1.1 | 0.9 | 0.3 | 0.3 | 5.7 | нет | 11.3 | – | – | – | – | – | – | – | – | – |
17 | C18 | C20 | 0.4 | 1.0 | 0.9 | 0.2 | 0.1 | 16.4 | нет | 5.3 | 1.1 | 3.9 | 0.4 | 1.9 | С30 | С23 | 0.9 | 0.8 | 1.0 |
18 | C18 | C20 | 0.4 | 1.0 | 1.0 | 0.2 | 0.1 | 14.6 | следы | 5.5 | 1.1 | 4.2 | 0.4 | 0.7 | С30 | С29 | 0.5 | – | 1.1 |
19 | C18 | C19 | 0.2 | 1.1 | 1.4 | 0.3 | 0.2 | 6.2 | есть | 9.4 | 0.8 | 2.6 | 0.5 | 1.6 | С30 | С23 | 1.0 | 0.4 | 0.8 |
20 | C21 | C25 | 0.9 | 1.0 | 0.9 | 0.2 | 0.1 | 17.4 | нет | 7.2 | 1.3 | 3.6 | 0.3 | 3.8 | С30 | С23 | 0.7 | 0.8 | 0.7 |
21 | C19 | C20 | 0.5 | 1.0 | 0.9 | 0.1 | 0.1 | 14.8 | нет | 6.5 | 1.5 | 3.3 | 0.2 | 2.4 | С30 | С23 | 0.5 | 0.4 | 0.9 |
22 | C19 | C20 | 0.9 | 1.0 | 0.8 | 0.2 | 0.2 | 17.6 | следы | 6.0 | 1.9 | 3.0 | 0.3 | 1.2 | С30 | С21 | 0.6 | 0.9 | 1.8 |
23 | C21 | C25 | 3.0 | 1.0 | 0.4 | 0.1 | 0.1 | 29.7 | нет | 4.3 | – | – | – | – | – | – | – | – | – |
Примечания. CPI = [nC23 + 2(nC25 + nC27 + nC29 + nC31) + nC33]/2/(nC24 + nC26 + nC28 + nC30 + nC32); ΣnCi/ΣizoCi – отношение суммы всех нормальных алканов к сумме всех изоалканов; К2 = ββ(20S + 20R)/αα20R в стеранах С29; ITC = 2C19–20/ C23–26 в трицикланах.
Мигрировавшие битумоиды имеют широкий и пестрый разброс параметров УВ-биомаркеров (табл. 2).
Свойственные аквагенному ОВ низкомолекулярные максимумы в н-алканах (Тиссо, Вельте, 1981) сохраняются на С17–19 в 12 битумоидах: в игниканских №№ 17, 18, кандыкских №№ 10–16, сарданинском № 5, нерюенских №№ 21, 22; в остальных 10 пробах сдвинуты на С21–24: в БОП нерюенском № 23, кандыкских №№ 8, 9 и сарданинских №№ 1–4, 6, в нерюенском АллБ № 20 и усть-кирбинском СмБ № 7. Максимумы в ациклических изопреноидах сдвинуты на С23–25 в БОП – сарданинском № 1, кандыкском № 8, нерюенском № 23, а также в нерюенском АллБ № 20. В 4 кандыкских битумоидах – БОП № 11 и АллБ №№ 10, 13, 14 зафиксирован необычный максимум в ациклических изопреноидах на С18, все эти образцы имеют максимум в н-алканах на С17 (табл. 2). Отношение Pr/Ph наиболее высокое в нерюенском АвтБ № 19 (1.4), вероятно, повышено из-за высокой термической преобразованности. В 18 битумоидах преобладает фитан, что характерно для аквагенного ОВ невысоких градаций катагенеза (Тиссо, Вельте, 1981 и др.), а в кандыкских №№ 13–15 и игниканском СмБ № 18 Pr≈Ph. Отношение nC27/nC17 > 1, свойственное террагенному и/или биодеградированному ОВ (Тиссо, Вельте, 1981 и др.) отмечается в БОП: в самых верхних по разрезу битумоидах – во всех сарданинских №№ 1–6, 2 верхних кандыкских №№ 8, 9, и самом нижнем нерюенском № 23, а также в усть-кирбинском СмБ № 7.
Во всех изученных битумоидах зафиксированы свойственные докембрийскому ОВ (Петров, 1984 и др.) 12- и 13-монометилалканы в разных концентрациях: на уровне автохтонного – в 4 кандыкских №№ 8–10, 12, в повышенных (10–14 %) – в усть-кирбинском СмБ № 7 и 4 нижних кандыкских №№ 13–16, наиболее низкие (4.1–4.6 %) отмечаются в нескольких БОП – нерюенском № 23 и сарданинских №№ 2, 4, 6. В целом более высокие концентрации 12-, 13-монометилалканов тяготеют к усть-кирбинской, кандыкской свитам и автохтонному нерюенскому битумоиду, пониженные – к сарданинской, игниканской свитам и аллохтонным битумоидам нерюенской свиты. Возможно, они зависят (накапливаются/рассеиваются) от миграции.
В ряду стеранов в мигрировавших битумоидах по сравнению с автохтонным повышена доля С29 – до С29/С27 > 2 в сарданинской свите (табл. 2). Концентрации этилхолестанов нарастают от нерюенского АвтБ № 19 к сарданинским БОП №№ 1–6 (рис. 3). Возможно, рифейские и вендские битумоиды принадлежат к разным обстановкам накопления ОВ – в работе (Соболев и др., 2017) было высказано предположение о возможности различных источников нафтидов рифея и венда. Концентрации диастеранов в основном высокие и соответствуют глинистым осадкам в бассейне накопления ОВ (Петров, 1994), причем в сарданинских битумоидах №№ 3–5 βα/(αα + ββ) повышено даже до >1, и в сарданинской же свите наблюдается снижение βα/(αα + ββ) в 2 верхних БОП №№ 1, 2 из светлых известняков до свойственного карбонатным осадкам 0.1 (Петров, 1994) – вероятно, они паравтохтонные. Коэффициент зрелости К2 = ββ(20S + 20R)/αα20R (Петров, 1994) в стеранах C29 в основном соответствует зрелому ОВ (2.6–5.0), в кандыкском № 9 и сарданинском № 4 БОП повышен до >6, а в 2 верхних сарданинских БОП №№ 1, 2 понижен до <2, вероятно, последние паравтохтонные слабозрелые.
Рис. 3. Тригонограмма стеранов (обстановки показаны согласно (Huang, Meinschein, 1979; Fang et al., 2019)) в битумоидах докембрия скв. Усть-Майская-366 (1 – нерюенская свита, 2 – игниканская свита, 3 – кандыкская свита, 4 – усть-кирбинская свита, 5 – сарданинская свита) номера образцов курсивом соответствуют таблицам.
Гопаны С27–35 слегка доминируют над трицикланами С19–31 (табл. 2) в нерюенском АвтБ № 19 еще в 6 битумоидах – в нерюенском СмБ № 22 и усть-кирбинском СмБ № 7, в 2 кандыкских АллБ №№ 13, 14 и 2 сарданинских БОП №№ 3, 5, а в нескольких образцах гопаны превышают трицикланы в 2–4 раза – это нерюенские АллБ №№ 20, 21, игниканский БОП № 17 и кандыкский БОП № 15. Высокие концентрации гопанов по сравнению с трицикланами могут являться результатом контаминации более молодыми террагенными битумоидами или/и низкого катагенеза, но также могут быть следствием миграционных процессов в слабопроницаемой среде (Конторович, Тимошина, 2009), т. к. молекулы трицикланов более миграционноспособны: тогда в этих битумоидах преобладают процессы рассеивания, поскольку высокие концентрации гопанов нельзя объяснить низким катагенезом (по крайней мере для рифея). Однако, высокие концентрации гопанов были ранее отмечены в большинстве образцов из обнажений р. Мая, в том числе в большинстве автохтонных битумоидов, и, возможно, это указывает на преимущественно бактериальное материнское ОВ (Тимошина, Болдушевская, 2020). В 2 верхних сарданинских битумоидах №№ 1, 2 гопанов больше, чем трицикланов в 6 раз – вероятно, здесь это признак низкой зрелости, а также процессов рассеивания подвижных компонентов (Соболев и др., 2017). Трицикланы преобладают над гопанами в 5 битумоидах – игниканском СмБ № 18 и в БОП: сарданинских №№ 4, 6 и кандыкских №№ 8, 9, причем в двух последних преобладание резкое (гопаны/трицикланы <0.2) – вероятно, отношение отражает морской генезис и высокую зрелость, в 2 верхних кандыкских усиленное миграционным накоплением подвижных молекул. В гопанах максимум приходится на С30 во всех битумоидах, кроме 3 кандыкских битумоидов №№ 13–15 (максимум на С29), в них же наблюдаются наиболее низкомолекулярные максимумы в ациклических УВ – возможно, причины смещения максимума миграционные и катагенетические. В этих же 3 битумоидах отмечены наиболее высокие концентрации 12-,13-монометилалканов – вероятно, эти соединения могут накапливаться в процессе миграции. Отношение Ts/Tm изменяется широко (0.3–22.9), и наиболее высокие значения (8.4 и 22.9) отмечены в кандыкских БОП №№ 8, 9 и, вероятно, обязаны катагенезу и миграционному накоплению более подвижных соединений. Ранее высокие Ts/Tm (4.2–21.7) отмечались в аллохтонных битумоидах из карбонатов мильконской, игниканской и кандыкской свит в обнажениях р. Мая (Тимошина, Болдушевская, 2020). Тем не менее, возможно, обогащенность Ts указывает на примесь из специфического кандыкского источника. Наиболее низкие Ts/Tm (0.3 и 0.4) зафиксированы в верхних сарданинских №№ 1, 2 и могут быть связаны с низкой катагенетической преобразованностью и рассеиванием подвижных молекул (Соболев и др., 2017). Максимум в трицикланах С19–31 приходится в основном на С23, как и в нерюенском АвтБ № 19. Смещение максимума в трицикланах на С21 в 3 сарданинских БОП №№ 3, 5, 6 и нерюенском СмБ № 22 и на С29 в игниканском СмБ № 18, имеет, вероятно, миграционную причину. Трициклановый индекс ITC повышен только в 3 из этих битумоидов (табл. 2).
На масс-фрагментограммах терпанов в нескольких битумоидах (№№ 1, 5, 19) пик 14, возможно, является гомогопеном (рис. 4).
Рис. 4. Масс-фрагментограмма терпанов по m/z 191 в нерюенском автохтонном битумоиде (№ 19) и сарданинских битумоидах открытых пор (№№ 1, 5): 1, 2, 3 – трицикланы C19, C20, C23, 4 и 5 – триснорнеогопан (Ts) и трисноргопан (Tm) С27, 6 – адиантан С29, 7–17α-диагопан, 8 – гопан С30, 9, 10, 11, 12, 13 – пары гомогопанов С31, С32, С33, С34, С35, 14 – гомогопен (?).
Ранее этот пик был обнаружен в аллохтонных битумоидах из известняков игниканской и кандыкской сопровождался повышением также содержания 17β,21α-норморетана С29 (Тимошина, Болдушевская, 2020). Наличие гомогопена при высоких концентрациях моретанов и низких содержаниях 17α,21β-гопанов могут быть признаком контаминации этих битумоидов более молодыми слабозрелыми УВ (Peters et al., 2007). В изученных образцах наблюдаются высокие пики гомогопена в сарданинских битумоидах №№ 3–6, заметные пики в №№ 1, 2, в остальных либо отсутствуют, либо в следовых количествах, как у нерюенского № 19. Однако в образцах настоящей работы, в том числе и в сарданинских, нет высоких концентраций моретанов и низких содержаний 17α,21β-гопанов (рис. 4). В публикациях отмечалась особенность сарданинских руд – наличие непредельных УВ (Галямов и др., 2020 и др.). В битумоидах №№ 3–6 отмечаются довольно высокие пики 17α-диагопана С30 (рис. 4), который является результатом бактериального вклада в глинистые осадки, откладывавшиеся в окислительных или субокислительных обстановках (Peters et al., 2007), а также может накапливаться при катагенезе, поскольку перегруппированные УВ из серии 17α-диагопанов термодинамически более стабильны, чем соответствующие УВ из серии 17α-гопанов (Ким, Родченко, 2016). Следовательно, не исключена связь накопления 17α-диагопана С30 благодаря влиянию гидротермальных металлоносных растворов месторождения Сардана.
Высокие содержания (78–95 %) фенантренов (Ф) и соответственно низкие (2–3 %, иногда 3–8 %) моно- и триароматических стероидов (МАС и ТАС) характерны для террагенного ОВ (Конторович и др., 2004), и такое распределение отмечается в большинстве изученных битумоидов коллекции (все образцы игниканской и кандыкской свит и 4 образца нерюенской свиты из 5) (табл. 3), причем концентрации МАС и ТАС в этих битумоидах в основном даже ниже 2 %, а в 5 битумоидах МАС не обнаружены.
Таблица 3. Характеристики ароматических и серосодержащих соединений в битумоидах докембрия скв. Усть-Майская-366
№ | Ф | ДБТ | МАС | ТАС | ТАС/ МАС | Ф/ ДБТ | ДБТИ | ФИ | TAСИ | MDR | MPI-1 |
1 | 10.6 | 1.6 | 25.9 | 61.9 | 2.4 | 6.5 | 1.6 | 1.6 | 0.1 | 1.9 | 1.0 |
2 | 4.3 | 0.7 | 5.1 | 89.8 | 17.5 | 6.1 | 1.4 | 1.6 | 0.1 | 1.3 | 0.9 |
3 | 27.5 | 4.9 | 6.7 | 60.9 | 9.1 | 5.6 | 1.3 | 0.5 | 0.3 | 10.5 | 0.5 |
4 | 41.1 | 5.8 | 7.3 | 45.8 | 6.3 | 7.1 | 1.5 | 0.4 | 0.3 | 6.4 | 0.5 |
5 | 55.3 | 12.0 | 2.8 | 29.9 | 10.8 | 4.6 | 1.8 | 0.7 | 0.1 | 5.0 | 0.6 |
6 | 66.9 | 10.4 | 0.0 | 22.8 | – | 6.5 | 3.1 | 1.1 | 0.5 | 6.4 | 0.5 |
7 | 29.0 | 11.6 | 22.8 | 36.6 | 1.6 | 2.5 | 0.4 | 0.4 | 0.3 | 1.7 | 0.5 |
8 | 89.7 | 8.0 | 1.1 | 1.3 | 1.2 | 11.2 | 2.5 | 1.5 | 0.6 | 12.3 | 0.9 |
9 | 89.1 | 9.0 | 0.5 | 1.4 | 2.9 | 9.9 | 2.2 | 0.8 | 0.7 | 8.8 | 0.7 |
10 | 93.1 | 6.7 | 0.0 | 0.2 | – | 13.9 | 1.3 | 1.1 | 1.0 | 16.8 | 1.0 |
11 | 94.1 | 4.9 | 0.6 | 0.5 | 0.8 | 19.2 | 6.3 | 1.8 | 1.0 | 24.1 | 0.9 |
12 | 94.4 | 4.6 | 0.3 | 0.6 | 1.7 | 20.4 | 3.5 | 1.2 | 0.7 | 7.7 | 0.8 |
13 | 92.9 | 6.6 | 0.0 | 0.5 | – | 14.0 | 1.1 | 0.7 | 0.5 | 10.1 | 0.8 |
14 | 92.9 | 5.8 | 0.9 | 0.5 | 0.6 | 16.0 | 1.0 | 0.7 | 0.6 | 6.9 | 0.7 |
15 | 89.3 | 5.4 | 2.8 | 2.5 | 0.9 | 16.5 | 2.5 | 3.4 | 0.3 | 5.1 | 1.0 |
16 | 92.4 | 6.7 | 0.3 | 0.5 | 1.4 | 13.7 | 1.8 | 0.8 | 0.6 | 5.1 | 0.7 |
17 | 83.4 | 15.4 | 0.5 | 0.6 | 1.1 | 5.4 | 3.2 | 1.6 | 0.8 | 18.7 | 1.0 |
18 | 83.6 | 16.1 | 0.0 | 0.3 | – | 5.2 | 2.3 | 0.9 | 1.0 | 20.3 | 0.8 |
19 | 96.8 | 2.3 | 0.0 | 0.8 | – | 41.9 | 0.7 | 0.9 | 0.6 | 8.3 | 1.1 |
20 | 90.7 | 6.6 | 1.4 | 1.4 | 0.9 | 13.8 | 0.8 | 0.6 | 0.3 | 15.6 | 0.8 |
21 | 93.2 | 5.2 | 0.7 | 0.8 | 1.1 | 17.8 | 0.7 | 0.8 | 0.5 | 9.5 | 0.9 |
22 | 86.7 | 8.2 | 1.8 | 3.3 | 1.8 | 10.5 | 0.6 | 1.8 | 0.3 | 11.4 | 1.3 |
23 | 45.6 | 17.6 | 13.3 | 23.5 | 1.8 | 2.6 | 0.9 | 0.6 | 0.7 | 4.1 | 0.6 |
Примечания. Ф – фенантрены, ДБТ – дибензотиофены, МАС и ТАС – моно- и триароматические стероиды, ДБТИ = 2 + 3MDBT/DBT – отношение 2- и 3-метилдибензотиофенов к дибензотиофену, ФИ = 2MP/P – отношение 2-метилфенантрена к фенантрену, TAСИ = (TASC20 + TASC21)/ТАС – отношение суммы низкомолекулярных триароматических стероидов в сумме всех триароматических стероидов, MDR = 4MDBT/1MDBT – отношение 4-метилдибензотиофена к 1-метилдибензотиофену, MPI-1 = 1.5(2MP + 3MP)/(P + 1MP + 9MP) – отношение полуторной суммы 2- и 3-метилфенантренов к сумме фенантрена и 1- и 9-метилфенантренов.
Поскольку террагенного ОВ в докембрии еще не существовало, причиной высоких содержаний фенантренов может быть перераспределение за счет высокой термической преобразованности, в процессе которой фенантрены накапливаются (Конторович и др., 2004), а содержания ароматических стероидов, соответственно, относительно снижается, или, возможно привнос более молодых террагенных примесей. Характерные для аквагенного ОВ концентрации фенантренов (38–63 %) (Конторович и др., 2004) и соответственно высокие ТАС и МАС имеют только БОП № 23 нерюенской и №№ 4 и 5 сарданинской свиты. Отмечаются также битумоиды со слишком низкими концентрациями фенантренов (4.3–29.0 %) и с высокими и очень высокими концентрациями МАС (до 25.9 %) и ТАС (до 89.8 %) в 3 БОП сарданинской свиты (№№ 1–3) и в СмБ усть-кирбинской свиты (№ 7) (табл. 3). Возможно, причиной являются процессы рассеивания более подвижных компонентов. Миграционные эффекты могут быть причиной появления промежуточного между террагенным и аквагенным распределения в БОП № 6.
Отношение ТАС/МАС (табл. 3) только в 2 образцах соответствует аквагенному ОВ – 2–5 (Конторович и др., 2004), в 12 образцах низкое и соответствует террагенному ОВ (битумоиды нерюенской, игниканской, большинство кандыкских и 1 усть-кирбинский), в 4 битумоидах сарданинской свиты ТАС/МАС очень высокое (>5, до 17.5). Причиной низких значений ТАС/МАС может быть высокий катагенез и миграционные эффекты, причем миграция может быть причиной отклонений в обе стороны. Согласно отношению ТАСИ = (TASC20 + TASC21)/ТАС (табл. 3) большинство битумоидов (14) преобразовано в пределах градаций МК12-МК2 (TACИ от 0.1 до 0.6), остальные 9 – в пределах МК2-МК32 (Peters, Moldowan, 1993).
В случае избытка сероводорода в придонных водах происходит бактериальное внедрение серы в органическое вещество в диагенезе, вследствие чего образуются высокие концентрации дибензотиофенов (Конторович и др., 2004, 2005). Концентрации ДБТ в битумоидах докембрия скв. Усть-Майская-366 (включая нерюенский АвтБ) в основном соответствуют ОВ, пережившему диагенез в морском осадке без сероводородного заражения (табл. 3). Содержания ДБТ повышены (>9 %) в 6 битумоидах с 4 уровней разреза – 3685.23 м (БОП нерюенской свиты), 3214.3–3215.18 м (битумоиды игниканской свиты), 1988.10 м (битумоид усть-кирбинской свиты), 1664.76–1717.63 (битумоиды сарданинской свиты), возможно, время от времени сероводородное заражение возникало. Во всех битумоидах отмечаются высокие концентрации 4MDBT или DBT в дибензотиофенах, что указывает на терригенные нефтематеринские породы (Бушнев, 1999). Отношение ДБТИ = 2 + 3MDBT/DBT в битумоидах коллекции в основном слишком высокое (>1.0, до 6.3), при этом во всех битумоидах нерюенской свиты и в битумоиде усть-кирбинской свиты ДБТИ < 1.0. Возможно, повышение ДБТИ связано с миграцией. Значения отношения гомологов метилдибензотиофенов MDR = 4MDBT/1MDBT в изученной коллекции >1 (табл. 3), что указывает на высокий уровень термического преобразования ОВ и/или привнос террагенных (из более молодых пород) примесей (Sсhou, Myhr, 1988). Согласно MDR (Radke et al., 1991; Чахмахчев и др., 1995 и др.) 10 битумоидов (5 из сарданинской, 1 из усть-кирбинской, 3 из кандыкской и 1 битумоид из нерюенской свиты) претерпели катагенез в пределах МК11-МК2 (MDR – 1.3–6.9), 4 битумоида (2 из нерюенской и 2 из кандыкской свиты) соответствуют МК2-МК31 (MDR – 7.7–9.5), 9 битумоидов (2 из нерюенской, 2 из игниканской, 4 из кандыкской и 1 из сарданинской свиты) соответствуют зоне образования конденсата и жирного газа (Виноградова и др., 2001) МК31- МК32 (MDR – 10.1–24.1) (табл. 3).
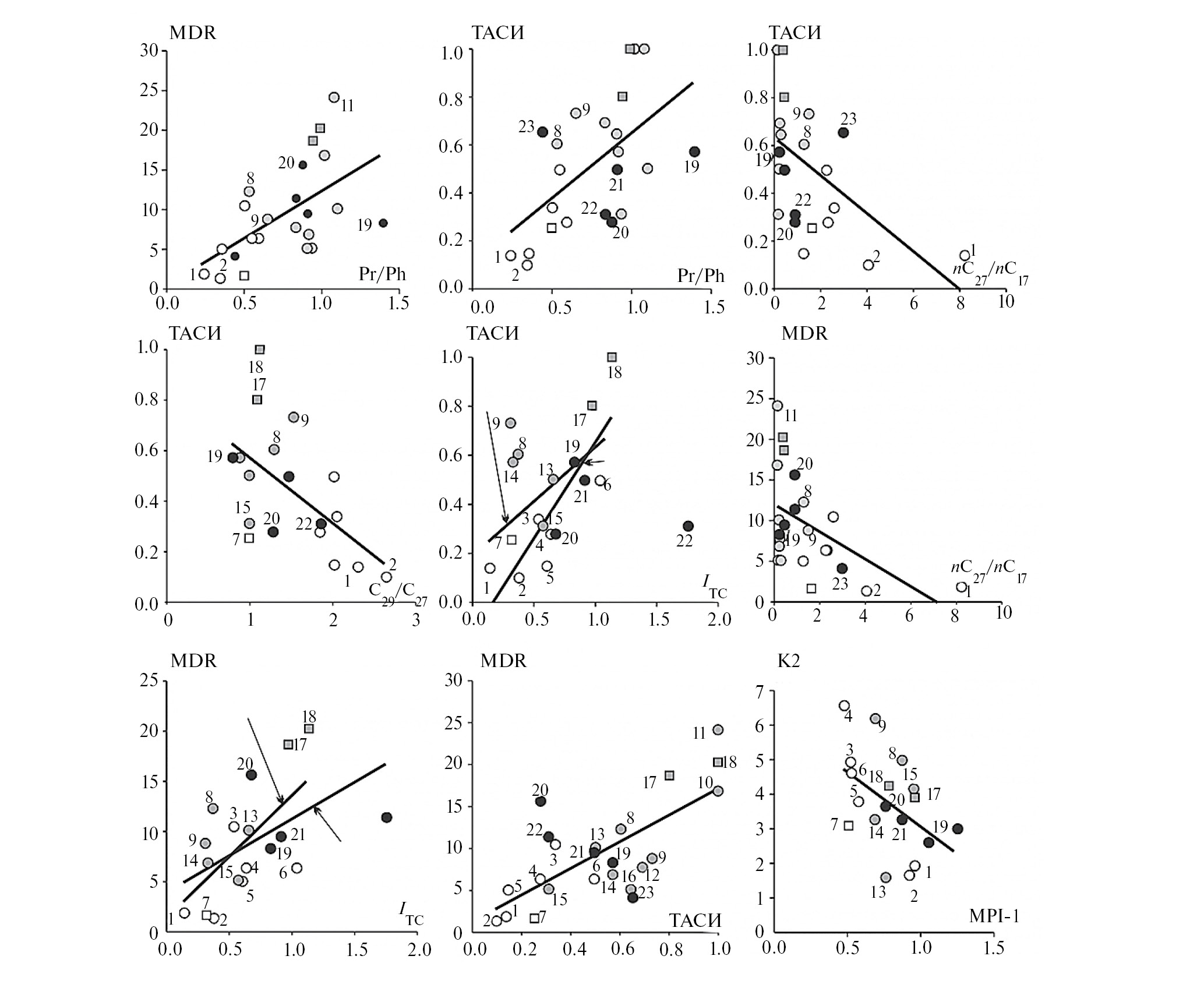
Ряд биомаркерных параметров обнаруживает связь с битумоидным коэффициентом β (рис. 5): обратно пропорциональные для nC27/nC17, ΣnCi/ΣizoCi, C29/C27 в стеранах, C35/C34 в гомогопанах, гопаны С27–35/ трицикланы С19–31 (два тренда – для аллохтонных и для остальных), ТАС/МАС, прямо пропорциональные для Pr/Ph, концентраций фенантренов, отношений Ф/ДБТ, ДБТИ, ТАСИ, ФИ. Почти везде нерюенский АвтБ № 19 и часто игниканский СмБ № 18 и усть-кирбинский СмБ № 7 битумоиды лежат вне тренда. Возможно, игниканский № 18 является паравтохтонным – тогда закономерности можно отнести преимущественно к вторичной миграции. Вероятно, пристан мигрирует лучше, чем фитан, nC17 – лучше, чем nC27, изоалканы – лучше, чем n-алканы, C27 в стеранах – лучше, чем C29, C34 в гомогопанах – лучше, чем C35, трицикланы – лучше, чем гопаны, фенантрены – лучше, чем дибензотиофены, 2 + 3-метилдибензотиофены – лучше, чем дибензотиофен, низкомолекулярные триароматические стероиды – лучше, чем высокомолекулярные, моноароматические стероиды – лучше, чем триароматические. Однако образцов аллохтонных и смешанных битумоидов мало, и эти предположения следует проверить на более обширном материале.
Рис. 5. Зависимость характеристик УВ-биомаркеров (параметры расшифрованы в табл. 2 и 3) от битумоидного коэффициента β в аллохтонных (1) и смешанных (2) битумоидах в сравнении с автохтонным нерюенским № 19 скв. Усть-Майская-366 (остальные условные обозначения на рис. 3).
На рис. 6 в корреляции для нескольких зависимых от битумоидного коэффициента β параметров насыщенных УВ включены результаты по битумоидам открытых пор. Видно, что повышение концентраций н-алканов сопровождается повышением их высокомолекулярности и снижением отношения Pr/Ph в изопреноидах.
Рис. 6. Взаимосвязь характеристик насыщенных УВ-биомаркеров (табл. 2) в битумоидах скв. Усть-Майская-366 (условные обозначения на рис. 3).
На графике (рис. 6) Pr/nC17 – Ph/nC18 от весьма четкого тренда несколько отклоняются нерюенский АвтБ № 19 и усть-кирбинский СмБ № 7; зрелость битумоидов в целом снижается от нерюенской и игниканской свит к сарданинской свите. На других графиках рис. 6 нерюенский АвтБ № 19 и СмБ №№ 7, 18 не отклоняются от тренда, в стороне от тренда лежат сарданинский битумоид № 1 и часто № 2. Для графика nC27/nC17 – С29/С27 без этих битумоидов тренд меняется на более крутой и отчетливый. По-видимому, сарданинские битумоиды отличаются по происхождению и/или эволюции, а №№ 1, 2 отличаются от всех. В сарданинских произошло накопление стеранов С29, высокомолекулярных н-алканов, повышение концентраций пристана. В них же за исключением №№ 1, 2 повышены отношения βα/(αα + ββ) в стеранах и коэффициент зрелости К2 в стеранах С29. Это зрелые битумоиды, чье материнское ОВ накапливалось в глинистом осадке, т. е. не во вмещающих отложениях. На всех графиках (кроме Pr/nC17 – Ph/nC18) нерюенский АвтБ № 19 и сарданинские битумоиды находятся на противоположных концах тренда. Возможно, тренд сформирован не только катагенезом, но в значительной мере миграционными процессами, ответственными за рассеивание подвижных компонентов в проницаемой и не экранированной сарданинской свите. Кроме того, в нижней части разреза катагенетическая преобразованность может быть высокой и соответствовать области инверсии стерановых коэффициентов зрелости, а в сарданинской свите возможно влияние гидротермальных металлоносных растворов полиметаллических стратиформных месторождений Сардана и Перевальное с оруденением в венде (Галямов и др., 2020 и др.), находящихся юго-восточнее скв. УМ-366, первое примерно в 35 км, второе в 20 км. Сарданинские БОП №№ 1, 2 характеризуются высокими концентрациями высомолекулярных н-алканов, пристана, стеранов С29, гопанов С27–35, низкими значениями К2 в стеранах С29, βα/(αα + ββ) в стеранах и Ts/Tm в гопанах – это слабозрелые битумоиды, принадлежащие вмещающей карбонатной толще (паравтохтонные). Все корреляции на рис. 6 (кроме Pr/nC17 – Ph/nC18) пропадают, если исключить битумоиды открытых пор, по-видимому, они созданы в значительной мере миграционными эффектами.
Отмечаются корреляции между ароматическими и насыщенными ациклическими параметрами в перемещенных битумоидах и нерюенском АвтБ (рис. 7).
Рис. 7. Взаимосвязь концентраций ароматических соединений (табл. 3) с параметрами насыщенных ациклических углеводородов (табл. 2) в битумоидах рифея и венда скв. Усть-Майская-366 (условные обозначения на рис. 3).
Прямо пропорциональные зависимости концентрации фенантренов (Ф) и обратно пропорциональные зависимости концентраций МАС и ТАС от Pr/Ph, видимо, отражают катагенетическую преобразованность, как и зависимости концентраций этих соединений от nC27/nC17. Образцы сарданинской и усть-кирбинской свит в основном обогащены ТАС (>20 %) и обеднены фенантренами (<70 %) (табл. 3, рис. 7). С отношением Pr/Ph коррелируют отношения Ф/ДБТ (прямо пропорционально) и ТАС/МАС (обратно пропорционально), и битумоиды сарданинской свиты на графике Pr/Ph – Ф/ДБТ лежат в области наименьшей преобразованности, а автохтонный битумоид нерюенской – в области наибольшей преобразованности. Битумоид открытых пор нерюенской свиты № 23 обычно расположен близ противоположного конца тренда от АвтБ № 19 и тяготеет к области расположения битумоидов сарданинской свиты (№№ 1, 2), претерпевшими рассеивание легких компонентов, вероятно, его состав обусловлен тоже потерей миграционноспособных форм. Судя по графику Pr/Ph – ТАС/МАС, коэффициент ТАС/МАС с увеличением катагенетической преобразованности уменьшается, что подтверждается и соотношением ТАС/МАС и nC27/nC17.
Обнаружена прямо пропорциональная связь между ТАС, а также отношением ТАС/МАС и отношением стеранов C29/C27 (рис. 8).
Рис. 8. Взаимосвязь некоторых параметров ароматической фракции (табл. 3) с параметрами насыщенных циклических углеводородов (табл. 2) в битумоидах рифея и венда скв. Усть-Майская-366 (условные обозначения на рис. 3).
Возможно, эта зависимость является генетической, и концентрации ТАС растут параллельно с концентрациями стеранов С29, которые встречены в обилии в докембрийских образованиях (Петров, 1984, 1994; Конторович и др., 1999). Однако зависимость создают в основном БОП сарданинской свиты, не исключено накопление ТАС и стеранов С29 за счет миграционных процессов накопления и рассеивания УВ. Эти же причины могут создавать зависимости между концентрациями Ф, ТАС и ITC в трицикланах. Обратная связь концентраций ДБТ и отношения гопанов С27–35 к трицикланам С19–31, вероятно, обязана отличию сарданинских слабо зрелых битумоидов №№ 1 и 2.
Коррелируют катагенетические коэффициенты ТАСИ = (TASC20 + TASC21)/ТАС, MDR = 4MDBT/1MDBT с отношением Pr/Ph (рис. 9).
Зависимости прямо пропорциональные, однако не наблюдается отчетливой последовательности по разрезу, лишь БОП сарданинской свиты и по ТАСИ, и по MDR лежат в области наименьшей преобразованности. Отношения ТАСИ и MDR в целом имеют отрицательную взаимосвязь с nC27/nC17, видимо отражая катагенез – чем выше термическая преобразованность, тем меньше высокомолекулярных соединений.
Между катагенетическими параметрами ароматической фракции ТАСИ = (TASC20 + TASC21)/ТАС и MDR = 4MDBT/MDBT отмечается прямая зависимость (рис. 9), а с MPI-1 = 1.5(2MP + 3MP)/(P + 1MP + 9MP) и стерановым коэффициентом зрелости К2 они не коррелируют. Параметры MPI-1 и К2 обнаруживают обратную связь, причина не ясна. Битумоиды игниканской и нерюенской свит могут находиться на стадии инверсии стеранового коэффициента (Brocks et al., 2003 и др.), судя по высоким MDR. Корреляция ТАСИ и MDR с генетическими параметрами насыщенной фракции (рис. 9) отражает, вероятно, катагенез – с ростом термической преобразованности увеличивается трициклановый индекс и уменьшаются концентрации стерана С29 по сравнению с С27.
Рис. 9. Корреляция катагенетических параметров ароматической фракции (табл. 3) с параметрами насыщенных углеводородов (табл. 2) в битумоидах рифея и венда скв. Усть-Майская-366 (условные обозначения на рис. 3).
ЗАКЛЮЧЕНИЕ
В изученном в целом низкоуглеродистом разрезе докембрия скв. Усть-Майская-366 мигрировавшие битумоиды в толще рифея подобны нерюенскому автохтонному битумоиду с глубины 3474 м из обогащенных ОВ аргиллитов (Сорг > 1 %), которые могут рассматриваться в качестве нефтематеринских, исчерпавших свой нефтегазоматеринский потенциал (градации МК2-МК31 и возможно выше). Этот битумоид аквагенный (распределение ациклических УВ, стеранов, трицикланов). Битумоид содержит характерные для докембрия 12- и 13-монометилалканы, которые присутствуют во всех образцах коллекции в разных количествах. Материнское ОВ накапливалось в глинистом осадке (много диастеранов), пережило диагенез в восстановительных обстановках без сероводородного заражения (распределение гомогопанов). Все изученные в работе битумоиды рифея скв. Усть-Майская-366, вероятно, имеют источником нерюенское ОВ или содержат примеси из нерюенских сланцев.
Отмечено воздействие миграционных эффектов (накопление и рассеивание более низкомолекулярных и подвижных соединений) на ряд характеристик: Pr/Ph, nC27/nC17, ΣnCi/ΣizoCi, C29/C27 в стеранах, Ts/Tm в гопанах, гопаны С27–35/ трицикланы С19–31. Возможно, 12- и 13-монометилалканы способны накапливаться в коллекторах при миграции, а 2- и 3-диметилалканы, наоборот, теряются при миграции. Комбинация результатов процессов накопления и рассеивания подвижных соединений вероятна в 2 битумоидов открытых пор (2723.63–2728.02 м) из песчаников кандыкской свиты, но процесс рассеивания выражен слабее, ограничился ациклическими УВ, вероятно, за счет лучшего экранирования, накопление огромных концентраций триснорнеогопана возможно также связано с миграционным накоплением, но не исключено и проявление особенной специфики исходного ОВ кандыкской свиты, а также миграции этих битумоидов из погруженных, термически более преобразованных слоев – в них высокозрелые стераны и много трицикланов.
Сарданинская свита отличается, вероятно, главным образом благодаря миграционной истории битумоидов из-за различной проницаемости толщи и отсутствия надежной покрышки. В сарданинской свите 2 типа битумоидов открытых пор. Два битумоида с глубин 1551.2–1577.2 м из верхних светлых карбонатов являются аквагенными (низкие трициклановые индексы), слабозрелыми (слабо зрелые стераны С29, высокие концентрации гопанов, низкие концентрации триснорнеогопана) и, вероятно, паравтохтонными (низкие концентрации диастеранов). Высокие концентрации стеранов С29 и обогащенность высокомолекулярными н-алканами могут быть их генетической особенностью или результатом эмиграции более подвижных соединений. Остальные сарданинские битумоиды (1659.20–1717.63 м) могут иметь комплексный источник – сарданинский и рифейский. Они сначала могли сформировать обогащенные более подвижными компонентами проявления макробитумов, затем в коллекторе могло происходить рассеивание более миграционноспособных соединений (эмиграция низкомолекулярных ациклических, стеранов С27, трицикланов), причем на процессы накопления и рассеивания могли повлиять низкотемпературные гидротермальные процессы находящихся юго-восточнее Сарданинского и Перевального стратиформных полиметаллических месторождений. Возможно, именно благодаря термическому и транспортному воздействию растворов этого месторождения в битумоидах произошло повышение Pr/Ph, Ts/Tm, зрелости стеранов, концентраций диастеранов, трицикланов и трицикланового индекса, и снижение концентраций высокомолекулярных н-алканов, стеранов С29 по сравнению с незрелыми сарданинскими битумоидами. Наличие гомогопенов в заметных и даже значительных количествах с параллельным повышением 17α-диагопана С30 в сарданинских битумоидах и без снижения концентраций гопанов, возможно, также связано с влиянием гидротермальных растворов месторождения Сардана.
Автор благодарит научного редактора статьи М. Ю. Спасенных и рецензентов за ценные замечания и рекомендации.
Работа выполнена при поддержке проекта ФНИ № FWZZ-2022-0011.
About the authors
I. D. Timoshina
Trofimuk Institute of Petroleum Geology and Geophysics SB RAS
Author for correspondence.
Email: TimosinaID@ipgg.sbras.ru
Russian Federation, Ak. Koptyuga Ave. 3, Novosibirsk, 630090
References
- Борисова Л. С., Фурсенко Е. А., Костырева Е. А., Тимошина И. Д. (2019) Комплекс химических и физических методов получения и исследования компонентов органического вещества пород и нафтидов: учебно-методическое пособие. Новосибирск: ИПЦ НГУ, 84 с.
- Бушнев Д. А. (1999) Основы геохимической интерпретации данных по составу и распределению индивидуальных органических соединений в нефтях и осадочных породах. Сыктывкар: Институт геологии Коми НЦ УРО РАН, 48 с.
- Виноградова Т. Л., Чахмахчев В. А., Агафонова З. Г., Якубсон З. В. (2001) Углеводородные и гетероатомные соединения – показатели термической зрелости органического вещества пород и нафтидов. Геология нефти и газа. (6), 49–55.
- Галямов А. Л., Волков А. В., Мурашов К. Ю., Сидорова Н. В., Кузнецова Т. П. (2020) Перспективы выявления месторождений миссисипского типа на Северо-Востоке России. Литосфера. 20 (2), 254–270. https://doi.org/10.24930/1681-9004-2020-20-2-254-270.
- Каширцев В. А., Советов Ю. К., Костырева Е. А., Меленевский В. Н., Кучкина А. Ю. (2009) Новый гомологический ряд молекул-биометок из вендских отложений Бирюсинского Присаянья. Геология и геофизика. 50 (6), 698–702.
- Каширцев В. А., Долженко К. В., Фомин А. Н., Конторович А. Э., Шевченко Н. П. (2017) Углеводородный состав битумоидов террагенного органического вещества больших глубин (зоны апокатагенеза). Геология и геофизика. 58 (6), 869–879. doi: 10.15372/GiG20170604
- Каширцев В. А., Дзюба О. С., Никитенко Б. Л., Костырева Е. А., Иванова И. К., Шевченко Н. П. (2021) Геохимия высокомолекулярных диметилалканов. Геология и геофизика. 62 (8), 1056–1068. doi: 10.15372/GiG2021108
- Ким Н. С., Родченко А. П. (2016) Гопановые углеводороды в битумоидах мезозойских отложений западной части Енисей-Хатангского регионального прогиба. Геология и геофизика. 57 (4), 758–770. https://doi.org/10.15372/GiG20160408
- Конторович А. Э., Бахтуров С. Ф., Башарин А. К., Беляев С. Ю., Бурштейн Л. М., Конторович А. А., Кринин В. А., Ларичев А. И., Ли Году, Меленевский В. Н., Тимошина И. Д., Фрадкин Г. С., Хоменко А. В. (1999) Разновозрастные очаги нафтидообразования и нафтидонакопления на Северо-Азиатском кратоне. Геология и геофизика. 40 (11), 1676–1693.
- Конторович А. Э., Верховская Н. А., Тимошина И. Д., Фомичев А. С. (1986) Изотопный состав углерода рассеянного органического вещества и битумоидов и некоторые спорные вопросы теории образования нефти. Геология и геофизика. (5), 3–12.
- Конторович А. Э., Тимошина И. Д. (2009). Насыщенные углеводороды-биомаркеры в нефтях и битумонасыщенных породах докембрия Катангской нефтегазоносной области. Геология нефти и газа. (1), 90–98.
- Конторович А. Э., Меленевский В. Н., Иванова Е. Н., Фомин А. Н. (2004) Фенантрены, ароматические стераны и дибензтиофены в юрских отложениях Западно-Сибирского нефтегазоносного бассейна и их значение для органической геохимии. Геология и геофизика. 5 (7), 873–883.
- Конторович А. Э., Парфенова Т. М., Иванова Е. Н. (2005) Ароматические углеводороды-биомаркеры и дибензотиофены в битумоидах куонамской свиты (северо-восток Сибирской платформы). ДАН. 402 (6), 804–806.
- Парфенова Т. М., Суслова Е. А. (2019) Новые сведения о геохимии рассеянного органического вещества пород неопротерозоя на юго-востоке Сибирской платформы. Новые идеи в геологии нефти и газа: Материалы международной научно-практической конференции. М.: Перо, 363–367.
- Петров А. А. (1984) Углеводороды нефти. М.: Наука, 264 с.
- Петров Ал.А. (1994) Геохимическая типизация нефтей. Геохимия. (6), 876–891.
- Решения Всесоюзного стратиграфического совещания по докембрию, палеозою и четвертичной системе Средней Сибири. (1983) Ч. 1 (Верхний докембрий, нижний палеозой). (Ред. В. Е. Савицкий, В. И. Краснов, В. В. Хоментовский). Новосибирск, 215 с.
- Соболев П. Н., Шиганова О. В., Дыхан С. В., Ахмедова А. Р. (2017) Новые данные о перспективах нефтегазоносности Алдано-Майской впадины. Геология и геофизика. 58 (3–4), 643–656. https://doi.org/10.15372/GiG20170325
- Тимошина И. Д., Болдушевская Л. Н. (2020) Геохимия органического вещества неопротерозоя на юго-востоке Сибирской платформы. Георесурсы. 22 (4), 41–54. https://doi.org/10.18599/grs.2020.4.41-54
- Тиссо Б., Вельте Д. (1981) Образование и распространение нефти. М.: Мир, 502 c.
- Фомин А. М., Константинова Л. Н., Губин И. А., Моисеев С. А. (2022) Результаты корреляции протерозойско-фанерозойских разрезов глубоких скважин и нефтегазоносные комплексы Алдано-Майской потенциально нефтегазоносной области. Нефтегазовая геология. Теория и практика. 17 (3), 1–20. http://www.ngtp.ru/rub/2022/29_2022.html
- Хоментовский В. В. (2005) Актуальные вопросы стратиграфии неопротерозоя в сибирском гипостратотипе рифея. Геология и геофизика. 46 (5), 529–545.
- Чахмахчев А. В., Виноградова T. Л., Агафонова З. Г., Гордадзе Т. И., Чахмахчев В. А. (1995) Бензотиофены – высокомолекулярные показатели катагенеза углеводородных систем. Геология нефти и газа. (7), 32–37.
- Brocks J. J., Buick R., Summons R. E., Logan G. A. (2003) A reconstruction of Archean biological diversity based on molecular fossils from the 2.78 to 2.45 billion-year-old Mount Bruce Supergroup, Hamersley Basin, Western Australia. Geochimica & Cosmochimica Acta. 67 (22), 4321–4335. https://doi.org/10.1016/S0016-7037(03)00209-6
- Fang R., Littke R., Zieger L., Baniasad A., Li M., Schwarzbauer J. (2019) Changes of composition and content of tricyclic terpane, hopane, sterane, and aromatic biomarkers throughout the oil window: A detailed study on maturity parameters of Lower Toarcian Posidonia Shale of the Hils Syncline, NW Germany. Org. Geochem. 138 (103928). https://doi.org/10.1016/j.orggeochem.2019.103928
- Huang W.-Y., Meinschein W. G. (1979) Sterols as ecological indicators. Geochim. Cosmochim. Acta. 43 (5), 739–745. https://doi.org/10.1016/0016-7037(79)90257-6
- Peters K. E., Moldowan J. M. (1993) The biomarker Guide: Interpreting molecular fossils in petroleum and ancient sediments. New Jersey: Prentis Hall, Englewood Cliffs, 363 p.
- Peters K. E., Walters C. C., Moldowan J. M. (2007) The biomarker guide. Cambridge University Press, 1155 p.
- Radke M., Welte D. H., Willsch H. (1991) Distribution of alkylated aromatic hydrocarbons and dibenzothiophenes in rocks of the Upper Rhine Graben. Chemical Geology. 93 (3–4), 325–341. https://doi.org/10.1016/0009-2541(91)90122-8
- Sсhou L., Myhr M. B. (1988) Sulfur aromatic compounds as maturity parameters. Org. Geochem. 13, 61–66. https://doi.org/10.1016/0146-6380(88)90025-3
Supplementary files











