The redox state of chromium ores of the Polar Urals
- Authors: Shiryaev P.B.1, Vakhrusheva N.V.1
-
Affiliations:
- Institute of Geology and Geochemistry, Ural Branch of the Russian Academy of Sciences
- Issue: Vol 66, No 2 (2024)
- Pages: 185-209
- Section: Articles
- URL: https://medbiosci.ru/0016-7770/article/view/259844
- DOI: https://doi.org/10.31857/S0016777024020049
- EDN: https://elibrary.ru/yqlomw
- ID: 259844
Cite item
Full Text
Abstract
The redox state of chromium ores of the main industrially significant types, developed in ultramafic rocks of the Rayiz-Voikar complex of the Polar Urals, was studied. The chromitites occurring in various geological settings – rocks of the dunite-harzburgite complex and large dunite bodies – have been investigated. For the first time, on a representative sample of analyzes (more than 150 samples), an assessment was made of oxygen fugacity and temperature of olivine-spinel equilibrium in chromium ores of the Rai-Iz and Voikaro-Syninsky massifs.
At each of the studied objects, the iron content of minerals increases linearly from chromitites to their host ultramafic rocks. The temperature of olivine-spinel equilibrium in chromitites varies within 550–800оС. The oxygen fugacity in aluminous chromitites averages FMQ +0.5–1.5 log. units, in medium chromium – FMQ +1.5–2.5 log. units, in high-chromium ones it exceeds +2.5 log. units relative to the FMQ buffer. The fugacity of oxygen in densely disseminated chromitites is 0.5–1 log. units higher than in poorly disseminated and rarely disseminated. The values of T-fO2 parameters correspond to the crustal conditions and are close to those established in the metaultramafites of the studied massifs.
The data obtained may indicate that the concentration of the ore component and the formation of chromium ore deposits occur not only in mantle or lower crustal conditions, characterized by fO2 values close to the FMQ buffer, but also as a result of ultramafic crustal metamorphism occurring in an oxidizing environment.
Full Text
ВВЕДЕНИЕ
Проблема генезиса хромовых руд в ультраосновных породах офиолитовой ассоциации остается дискуссионной. За минувшее столетие взгляды на петрогенезис хромитоносных альпинотипных ультрамафитов значимо изменились. До 1970-х гг. большая часть исследователей связывала их образование с процессами кристаллизации и дифференциации основной или ультраосновной магмы. Возникновение в 1970-х гг. парадигмы тектоники литосферных плит привело к изменению этой модели. Ультрамафиты дунит-гарцбургитовой ассоциации стали рассматриваться как продукты частичного плавления мантии в центрах спрединга под срединно-океаническими хребтами (Книппер, 1975; Добрецов, Молдаванцев и др., 1977; Колман, 1979; Савельева, 1987; и др.). В современных работах установлено, что диапазон геотектонических обстановок, в которых происходит формирование офиолитов, существенно шире (Савельева, Перцев, 1995; Dilek, Furnes, 2011; и др.). Ультрамафиты офиолитовой ассоциации являются мантийными тектонитами, перемещенными из верхней мантии в земную кору в твердо-пластичном состоянии. Тем не менее, образование подиформных хромититов по-прежнему связывается с кристаллизацией расплавов, но, по современным данным, локализованных в пределах изолированных каналов внутри гипербазитовых тел. Эти расплавы образуются как в результате частичного плавления мантии в центрах спрединга, так и в результате плавления слэба. Смешение расплавов различного состава или взаимодействие расплава с вмещающими ультрамафитами может приводить к его пересыщению хромом, и впоследствии – к кристаллизации из него рудообразующего минерала (Zhou, 1994; Arai, Abe, 1995; Батанова, Савельева, 2009; и др.). Источником хрома, необходимого для кристаллизации хромшпинелида (особенно в масштабах промышленного оруденения), является породообразующий энстатит мантийных перидотитов, для которого характерно повышенное содержание данного элемента (Савельева и др., 2013; Payot et al., 2013; Arai, Miura, 2016).
В то же время основных расплавов или вулканитов с повышенным содержанием хрома, то есть потенциальных первичных для хромититов магм, не обнаружено. Вулканиты основного состава, встречающиеся в надсубдукционных обстановках, содержат менее 0.1 мас. % оксида хрома при среднем содержании элемента в этих породах 0.02 мас. % (http://georoc.mpch-mainz.gwdg.de/georoc/; Николаев и др., 2016). В экспериментах Н. Боуэна было установлено, что при взаимодействии с хромшпинелидом базальтовый расплав обогащается алюминием, а не хромом (Боуэн, 1934), что ставит под сомнение саму возможность образования гибридной рудогенерирующей магмы. В экспериментальном исследовании П. Рёдера и И. Рэйнольдса изучена растворимость хрома в базальтовых расплавах, искусственно пересыщенных хромшпинелидом – главным концентратором хрома в перидотитах. Полученные результаты показывают, что в P-T-fO2 условиях, характерных для геологических обстановок, в которых происходит образование и эволюция земных базальтов, растворимость хрома невелика, и его содержание в стекле остается близким к кларковому для мафитов. Повышение растворимости Cr отмечается в восстановительной обстановке при fO2 ниже буфера FMQ (Roeder, Reynolds, 1991). Против магматической кристаллизации рудообразующих хромшпинелидов свидетельствует и отсутствие в них расплавных включений. В хромитах часто встречаются многофазные кристаллические включения, состоящие из оливина, минералов группы амфибола, слюд, хлоритов (Melcher et al., 1997; Li et al., 2005; Borisova et al., 2012; Пушкарев и др., 2015; и др.) и их ассоциаций. Эти включения имеют форму отрицательных кристаллов, или же минералы, входящие в их состав, являются идиоморфными по отношению к вмещающему хромшпинелиду. Первичное происхождение включений природных магматических расплавов в рудообразующих шпинелидах, подобных описанным в исследованиях базит-ультрабазитовых комплексов Южного Урала, вмещающих Fe–Cu–(Co–Ni) оруденение (Tesalina et al., 2003), является спорным. В работах, посвященных исследованию включений, рассматриваемых в качестве расплавных, производится прогрев образца при температуре около 1250оC, вследствие чего происходит плавление кристаллических фаз (Schiano et al., 1997; Симонов и др., 2008 и др.).
Вопросы хромитообразования в большинстве научных работ обсуждаются в контексте петрогенезиса ультрамафитов. В публикациях, посвященных исследованию хромититов, выявляются факты, свидетельствующие об их длительной твердофазной минеральной и структурной эволюции – парагенетическая связь хромшпинелида с водосодержащими метаморфическими и гидротермальными минералами, следы его твердо-пластического течения и динамической рекристаллизации, синдеформационная, несимметричная химическая зональность в минерале (Строение …, 1990; Arai, Akizawa, 2014; Пушкарев и др., 2015; Satsukawa et al., 2015; и др.).
В работах А.Б. Макеева хромититы ультрамафитовых массивов Полярного Урала рассматриваются как продукты “большеобъемного регионального метасоматоза” (Макеев, Брянчанинова, 1999; 2014; и др.). Источником рудного вещества, по мнению авторов, служит породообразующий энстатит ранней генерации. При подъеме мантийного диапира в изменяющихся РТ-условиях минерал становится неустойчивым и перекристаллизовывается с образованием энстатита, диопсида и хромшпинелида. Рудное вещество выносится флюидом в ослабленные зоны, где формируются тела хромититов (Макеев, Брянчанинова, 1999; 2014).
Полученные результаты и интерпретации обуславливают необходимость более детального исследования хромититов, в частности их окислительно-восстановительного состояния.
Используя геотермометр и оксибарометр собственной калибровки, К. Больхауз с соавторами показали, что фугитивность кислорода (fO2) в породах верхней мантии изменяется относительно буфера FMQ от –3 до 1 лог. ед. (Ballhaus et al., 1991). Для базальтов, являющихся мобилизатом при частичном плавлении верхнемантийного вещества, характерны более высокие fO2 (от FMQ –1 в базальтах СОХ до FMQ +2 в таковых океанических островов, и FMQ +3 в островодужных базальтах).
По данным С. Даре с соавторами (Dare et al., 2009), гарцбургиты из супрасубдукционных зон варьируют по фугитивности кислорода в пределах от +0.5 до +1.75 ед. выше буфера FMQ, а гарцбургиты срединно-океанических хребтов от –2.5 до +0.5 ед. Авторы связывают эту особенность с тем, что в надсубдукционных условиях перидотиты взаимодействуют с расплавами, содержащими окисленный флюид, следами просачивания которых являются жилы дунитов.
Исследования параметров образования наиболее типичных разновидностей ультрамафитов и метаультрамафитов массивов Рай-Из и Войкаро-Сыньинский выполнены в работе И.С. Чащухина с соавторами (Чащухин и др., 2007). В породах дунит-гарцбургитового комплекса Войкаро-Сыньинского массива установлены температуры оливин-шпинелевого равновесия в среднем 700–800оC и фугитивность кислорода 0.5–2 лог. ед. выше буфера FMQ. В метаультрамафитах массивов Рай-Из и Войкаро-Сыньинский температура оливин-шпинелевого равновесия составляет 570–780оC, фугитивность кислорода FMQ +2.5 – +5.3 лог. ед. (Чащухин и др., 2007). Эти значения fO2 в породах дунит-гарцбургитового комплекса интерпретируются отдельными авторами (Белоусов и др., 2009; Шмелев, 2011; и др.) как признак взаимодействия перидотитов с расплавами над зоной субдукции.
В настоящее время работ, посвященных исследованию окислительно-восстановительного состояния хромовых руд, в мировой литературе крайне мало. В хромититах Бушвельдского массива проведено измерение фугитивности кислорода методом электрохимической ячейки. Установлено, что акцессорные хромовые шпинели более восстановлены по сравнению с рудообразующими; повышение фугитивности кислорода на 0.5–1.0 лог. ед. сопровождает процесс концентрации шпинелида в слои массивных хромовых руд. Фугитивность кислорода в хромититах отвечает значению FMQ +1–1.5 ед. при температуре 1160–1200оC (Snethlage, Von Gruenewaldt, 1977).
Как в глиноземистых, так и в высокохромистых хромовых рудах Кемпирсайского массива определены значения фугитивности кислорода от FMQ –1 до +1.4 лог. ед. при температуре оливин-шпинелевого равновесия 1000–1100оC (Чащухин и др., 2007). Авторы отмечают, что в крупных рудных телах наблюдается увеличение fO2 с глубиной, что, по их мнению, свидетельствует о переносе рудных компонентов при хромитообразовании восстановленным флюидом. В работе Ф. Мельчера с соавторами получены данные о более окислительных условиях образования высокохромистых хромититов этого массива – FMQ +2 при температуре 1000–1200оC (Melcher et al., 1997). В другом исследовании хромититов Кемпирсайского массива (Hu et al., 2022) установлены значения fO2 во вкрапленных разновидностях – FMQ +1.6, в сплошных – FMQ +1.4. В сплошных рудах для расчетов использован состав оливина из околорудных дунитов. Вариация параметров, установленных авторами исследований, может являться следствием гетерогенности месторождений хромититов Кемпирсая.
Выводы, сделанные в статье, посвященной вопросу генезиса хромовых руд массива Рай-Из (Xiong et al., 2020), также основаны на исследовании окислительно-восстановительного состояния хромовых руд и ультрамафитов. Авторами изучена небольшая и неоднородная выборка образцов (дунит, гарцбургит и хромитит). Обсуждающийся в статье гарцбургит представлен неметаморфизованной разновидностью, на что указывает химический состав породообразующих минералов. Такие гарцбургиты не встречаются в разрезах, вмещающих хромитовые месторождения и крупные рудопроявления массива, а образуют небольшие реликтовые блоки среди метаультрамафитов на юго-востоке и северо-западе Рай-Иза (Строение …, 1990; Вахрушева и др., 2017). В гарцбургитах установлена крайне низкая фугитивность кислорода dlog fO2 (FMQ) = –2.8… –0.8 ед., а в хромититах и дунитах – fO2 (FMQ +1.2–+2.4), что согласуется с нашими результатами (Вахрушева и др., 2017). Сопоставление хромититов и дунитов, залегающих в областях развития метаультрамафитов, с неметаморфизованными гарцбургитами привело авторов к выводу о том, что дуниты и хромититы образовались в результате взаимодействия гарцбургитов с флюидом в надсубдукционной обстановке (Xiong et al., 2020).
Как видно из приведенного выше краткого обзора, опубликованные данные об окислительно-восстановительном состоянии хромититов и рудовмещающих ультрамафитов немногочисленны и вызывают множество вопросов. Фугитивность кислорода значимо варьирует как в ультрамафитах, так и в хромовых рудах. Комплексное изучение закономерностей изменения окислительно-восстановительного состояния хромовых руд и рудовмещающих ультрамафитов на примере Полярноуральских хромитоносных массивов и составляет цель нашего исследования. В отличие от рассмотренных выше работ мы целенаправленно изучили оливин-шпинелевое равновесие и фугитивность кислорода в рудах различных минеральных типов – высоко- и среднехромистого, а также глиноземистого. Для высокохромистых и глиноземистых руд, в которых наблюдалась широкая вариация содержания рудообразующего хромшпинелида, изучалось влияние фугитивности кислорода на густоту вкрапленности хромовой руды. Подобные исследования выполнены для хромовых руд Полярного Урала впервые.
МЕТОДЫ ИССЛЕДОВАНИЯ
Химический состав хромовых шпинелей и оливинов определен при помощи микрозондового анализа в лаборатории ГЕОХИ РАН (установка Cameca CAMEBAX–Microbeam, аналитик Н.Н. Кононкова). Отдельные химические анализы выполнены в ЦКП “Геоаналитик” ИГГ УрО РАН (установка Cameca SX-100, аналитики В.А. Булатов, А.В. Михеева, И.А. Готтман). Рентгеноструктурный анализ выполнен в ИМин УрО РАН на рентгеновском дифрактометре Shimadzu XRD-6000 (аналитик П.В. Хворов). ЯГР-спектры получены на спектрометре СМ2201 (ИМин УрО РАН, г. Миасс, аналитики Н.К. Никандрова, А.Б. Миронов)
Для расчетов температуры и фугитивности кислорода были использованы геотермометр и оксибарометр, разработанные К. Больхаузом, Р. Берри и Д. Грином (Ballhaus et al., 1991) на основе уравнений Г. О’Нейла и В. Уолла (O’Neill, Wall, 1987). Термометр и оксибарометр применимы для исследования как пироксенсодержащих, так и беспироксеновых пород. Для его калибровки использовались хромшпинелиды с хромистостью 20–95%, что позволяет изучать как глиноземистые, так и высокохромистые хромовые руды. Точность геотермометра, по данным (O’Neill, Wall, 1987), составляет ±100оC, оксибарометр дает ошибку в определении фугитивности кислорода ±0.4 лог. ед. относительно буфера FMQ (Ballhaus et al., 1991).
Важной особенностью, которая обсуждается авторами оксибарометра, является то, что уравнение не учитывает межпозиционного распределения катионов в структуре шпинели. Это, с одной стороны, упрощает его использование, а с другой потенциально ограничивает применимость при температуре ниже 800оC, где может происходить низкотемпературное разупорядочение структуры минерала. Авторы указывают на то, что полученные ими калибровочные кривые прослеживаются и в область низких температур, где они параллельны кривым, установленным при помощи более сложных термодинамических калибровок, учитывающих степень упорядочения шпинелида. Это позволяет авторам настоящей работы предполагать, что полученная Больхаузом и соавторами модель может использоваться в области низких температур. Практика использования фугометра в многочисленных исследованиях природных систем показала, что в перидотитах температуры оливин-шпинелевого равновесия, как правило, ниже 800оC (Parkinson, Arculus, 1999; Чащухин и др., 2007; Dare at al., 2009; и др.). Вудланд с соавторами установили, что при остывании породы значение fO2 изменяется вдоль линии, параллельной буферу FMQ, это означает, что значения fO2 не подвержены влиянию изменения температуры при остывании (Woodland et al., 2006). Кристаллохимические исследования низкотемпературного разупорядочения шпинелидов показывают, что при этом процессе происходит взаимное перераспределение как R3+ в тетраэдрическую позицию, так и R2+ в октаэдрическую. В настоящей работе выполнено мессбауэровское определение соотношения разнозарядных катионов Fe. Установлено, что состав минерала соответствует стехиометрии. Отсюда следует, что в исследованных рудообразующих высокохромистых магнезиальных шпинелидах при установленных температурах структурного разупорядочения не проявляется, а использование оксибарометра является корректным.
Давление при расчетах было принято равным 1 ГПа, по аналогии с другими работами, посвященными окситеромбарометрии ультраосновных пород и хромититов (Parkinson, Pearce, 1998; Dare et al., 2009, Чащухин и др., 2007 и др.). Увеличение значения давления, подставляемого в формулу на 1 ГПа, приводит к пропорциональному уменьшению вычисленной fO2 на 0.4 лог. ед. (что равно максимальной погрешности оксибарометра) и температуры оливин-шпинелевого равновесия на 12–18оC (в 5–8 раз ниже погрешности геотермометра). Влияние температуры на расчетные значения фугитивности кислорода минимально. Увеличение температуры на 100оC приводит к возрастанию расчетной фугитивности кислорода на 0.1 лог. ед.
Принимая во внимание вышесказанное, авторы считают необходимым отметить, что полученные в нашей, а также других цитируемых выше работах, где изученные породы претерпевали метаморфизм при температуре менее 800оC, значения температуры и фугитивности кислорода не могут объективно рассматриваться в качестве абсолютных. Однако они могут быть использованы для целей сравнения между разными типами хромититов и разными объектами.
ГЕОЛОГИЧЕСКОЕ СТРОЕНИЕ ИЗУЧЕННЫХ ОБЪЕКТОВ
В настоящей работе представлены результаты изучения хромовых руд основных промышленно значимых типов, локализованных в породах райизско-войкарского офиолитового комплекса (фиг. 1), где расположено действующее месторождение Центральное, являющееся одним из крупнейших российских источников стратегического хромоворудного минерального сырья (Бортников и др., 2015). Типы хромовых руд выделены по структурно-текстурным особенностям и химическому составу рудообразующего хромшпинелида, а также геологическому положению оруденения.
Фиг. 1. Схема расположения ультрамафитовых массивов Рай-Из и Войкаро-Сыньинский (по Зылёва и др., 2014, Савельева и др., 2015; Вахрушева и др., 2017). Условные обозначения: 1 – ультрамафиты райизско-войкарского комплекса; 2 – серпентинитовый меланж; 3 – кэршорский дунит-верлит-пироксенит-габбровый комплекс; 4 – комплекс диабазовых даек; 5 – метаморфические комплексы; 6 – осадочные комплексы; 7 – региональные сдвиго-надвиги и сдвиго-взбросы; 8 – границы разновозрастных образований; 9 – изученные хромоворудные объекты: 1 – месторождение Центральное, 2 – рудопроявление Енгайское-1, 3 – рудопроявление Аркашорское, 4 – Ямботывисские рудопроявления; 10, 11 – ультрамафитовые массивы: 10 – Рай-Из, 11 – Войкаро-Сыньинский.
В ходе многолетних исследований авторами настоящей работы были разносторонне изучены хромититы большинства проявлений и месторождений массивов Рай-Из и Войкаро-Сыньинский. Высокохромистые руды, близкие по составу рудообразующего шпинелида и структурно-текстурным особенностям к рудам месторождения Центральное, развиты на месторождениях Западное и № 214, рудопроявлениях Юго-Западное-1 и –4 массива Рай-Из. Аналогичное высокохромистое оруденение установлено на рудопроявлениях Войкаро-Сыньинского массива: в северо-западной части Косшорского рудного поля, на рудопроявлении Пайты (рудное тело № 33), на Западно-Лаптапайском проявлении и других. Проявления руд этого типа залегают среди высокопараметрических метаультрамафитов (Вахрушева и др., 2017). В настоящей работе особенности вещественного состава и условий образования высокохромистых хромититов проиллюстрированы на примере месторождения Центральное массива Рай-Из. Хромититы месторождения Центральное относятся по составу рудообразующего хромшпинелида, по классификации ГКЗ, к хромитовому (высокохромистому) природному или минеральному типу руд (Методические …, 2007). Шпинелиды хромовых руд содержат в среднем Cr2O3–58–63 мас. %, Al2O3–8–12 мас. %, MgO – 12–15 мас. % (химические составы шпинелидов приведены в ESM_1 (Электронное приложение). Руды Северного участка месторождения (фиг. 2) залегают в гигантозернистых дунитах с размером зерна оливина до 15 см. Хромититы Южного участка локализованы в породах дунит-гарцбургитового комплекса с дунитовой составляющей от 10–30 до 70%. Гарцбургиты полностью перекристаллизованы с образованием метаультрамафитов – оливин-энстатитовых и амфибол-оливин-энстатитовых пород. Структура руд вкрапленная; преобладают средне- и густовкрапленные разновидности (фиг. 3а–в).
Фиг. 2. Схематическая геологическая карта месторождения Центральное (по материалам (Перевозчиков и др., 2005; Ширяев, Вахрушева, 2017)). Условные обозначения: 1 – 4 породы дунит-гарцбургитового комплекса с различным содержанием дунитовой составляющей (1 – <10%; 2–10–30%; 3–30–50%; 4–50–70%); 5 – дуниты; 6 – серпентиниты; 7 – диабазы; 8 – геологические границы; 9, 10 – тектонические нарушения 1-го и 2-го ранга соответственно; 11 – тела хромовых руд и их номера.
Фиг. 3. Типы хромовых руд массива Рай-Из: месторождение Центральное (а, б, в) и рудопроявление Енгайское-1 (г, д, е). Фото полированных срезов. а – густовкрапленная, крупнозернистая; б – густовкрапленная, мелкозернистая; в – сплошная, крупнозернистая; г – полосчатая, средне-густовкрапленная, среднезернистая; д – вкрапленно-полосчатая, средневкрапленная, мелкозернистая,; е – убоговкрапленная мелкозернистая.
Среднехромистые руды исследованы нами детально на Рай-Изе для рудопроявлений Енгайское-1–2 и –4. Юго-западное-2 и –3 и других (Вахрушева и др., 2017). На Войкаро-Сыньинском массиве руды этого типа известны и были изучены нами на Аркашорском, Лекхойлинском западном, Левопайерском, Хойлинском, Лаптапайском-3 и -4 и других проявлениях. На обоих массивах такие руды образуют зоны шлирово-вкрапленного, вкрапленно-полосчатого оруденения в дунитовых телах и породах дунит-гарцбургитового комплекса. Среднехромистые хромовые руды в настоящей работе рассмотрены на примере хромититов рудопроявлений Енгайское-1 массива Рай-Из и Аркашорское Войкаро-Сыньинского массива. Содержание Сr2О3 в рудообразующих шпинелидах рудопроявлений составляет 52–56 мас. %, Al2O3–10–15 мас.%, MgO – 8–16 мас. %. Оруденение рудопроявления Енгайское развито в теле пегматоидных дунитов, которое залегает среди амфибол-оливиновых и амфибол-оливин-антигоритовых пород. Хромовые руды вкрапленно-полосчатые, убого-редковкрапленные, мелко-среднезернистые. Средне- и густовкрапленные хромититы встречаются в виде полос, шлиров, раздувов в пачках бедных вкрапленных руд (фиг. 3г–е).
Хромититы Аркашорского рудопроявления залегают в породах дунит-гарцбургитового комплекса с содержанием дунитов около 20%. Гарцбургиты преобразованы в амфибол-оливин-антигоритовые породы. Руды представлены в основном средневкрапленными разностями (фиг. 4г–е) с отдельными линзовидными участками и шлирами, сложенными крупнозернистым густовкрапленным хромититом.
Фиг. 4. Типы хромовых руд Войкаро-Сыньинского массива: рудопроявление Ямботывисское (а, б, в) и Аркашорское (г, д, е). Фото полированных срезов. а – средневкрапленная, среднезернистая; б – порфировидная, густовкрапленная мелкозернистая; в – полосчатая, шлирово-вкрапленная, среднезернистая; г – средневкрапленная, неравномернозернистая мелко-среднезернистая; д – шлирово-вкрапленная, неравномернозернистая мелко-среднезернистая; е – средневкрапленная, мелкозернистая.
Глиноземистые руды на массиве Рай-Из представлены локально – на проявлении Верхнесобское-1. В ультрамафитах Войкаро-Сыньинского массива глиноземистые руды распространены гораздо шире и выделяются на Бурхойлинском, Лагортинском, Кершорском, Погурейском и других рудопроявлениях. Оруденение такого типа залегает среди слабометаморфизованных гарцбургитов и пород дунит-гарцбургитового комплекса.
Исследованные в работе хромовые руды рудопроявлений Ямботывисской площади относятся к глиноземистому минеральному типу. Содержание Cr2O3 в рудообразующих шпинелидах составляет 40–42 мас.%, Al2O3–24–30 мас. %, MgO – 14–17 мас. %. Руды залегают как в породах дунит-гарцбургитового комплекса, так и в телах дунитов; в то же время химический состав шпинелидов варьирует в весьма узком диапазоне. Руды представлены, главным образом, средневкрапленными до сплошных, среднезернистыми разностями (фиг. 4а–в). В телах дунитов руды вкрапленно-полосчатые, убого-редковкрапленные (фиг. 4а–в); в породах дунит-гарцбургитового комплекса оруденение более компактное, с преобладанием массивных текстур. В южной части площади известно рудопроявление Морковкинское, представленное нодулярными хромититами.
Исследованные типы хромовых руд и геологические обстановки их локализации являются типичными для промышленных хромоворудных объектов райизско-войкарского комплекса, что подтверждает сопоставление состава исследованных шпинелидов с данными из специализированной монографии, составленной сотрудниками ВИМСа (Никольская и др., 2021).
РЕЗУЛЬТАТЫ ИССЛЕДОВАНИЯ
Изучение хромшпинелидов методом ЯГР-спектроскопии
Для обоснования возможности использования геотермометра и оксибарометра Болхауза-Берри-Грина (Ballhaus et al., 1991) было исследовано межпозиционное распределение разнозарядных катионов железа в рудообразующих хромшпинелидах методом ЯГР-спектроскопии. Низкотемпературное разупорядочение структуры шпинелида сопровождается распределением трехвалентных катионов, в том числе Fe3+, в тетраэдрическую позицию. Следовательно, нормальная структура минерала со стехиометрическим соотношением катионов свидетельствует о том, что минерал не испытывал низкотемпературного разупорядочения. Исследованы 54 монофракции рудообразующих хромшпинелидов Войкаро-Сыньинского и Рай-Изского массивов, характеризующие рассмотренные в статье типы руд. Для разложения спектров использована трехдублетная модель: два дублета приписывались Fe2+ в тетраэдрической позиции с различной конфигурацией катионов во второй координационной сфере и один –Fe3+ в октаэдрической. Модель характеризует распределение катионов железа по позициям структуры минерала, свойственное для нормальных, необращенных шпинелидов. Спектры изученных шпинелидов аппроксимированы при помощи описанной выше трехдублетной модели. Отклонений параметров дублетов (возрастания полуширины спектральных линий) не установлено, что свидетельствует о том, что исследованные шпинелиды имеют необращенную структуру (Osborne et al., 1981).
Результаты определения Fe3+ × 100/Feсумм (далее по тексту – Fe#) в рудообразующих хромшпинелидах массивов Рай-Из и Войкаро-Сынинский по данным ЯГР-спектроскопии и на основе пересчета состава минерала на стехиометрическую формулу приведены на фиг. 5. Как видно на диаграммах, разница значений Fe#, установленных различными методами, изменяется в среднем в пределах ±4–5%, находясь вблизи линии равных значений, тогда как составы отдельных проб значимо отклоняются от нее. В таких пробах, по результатам детального исследования вещественного состава, устанавливается либо присутствие нескольких фаз хромшпинелида, либо химическая зональность зерен минерала. Многофазность шпинелида определена как рентенгофазовым методом, по уширению дифракционных линий, так и оптически с последующим измерением состава фаз микрозондовым анализом. Прямая связь зональности шпинелида и многофазности хромититов с разницей между измеренным и рассчитанным значением Fe# показана в табл. 1.
Фиг. 5. Степень окисления железа в шпинелиде, определенная при помощи ЯГР-спектроскопии и вычисленная при пересчете состава минерала на стехиометрическую формулу. Слева – рудообразующие шпинели массива Рай-Из, справа – Войкаро-Сыньинского массива. 1 – хромшпинелиды высокохромистых и среднехромистых хромовых руд, 2 – хромшпинелиды глиноземистых хромовых руд.
Таблица 1. Степень окисления железа (Fe#), определенная при помощи ЯГР-спектроскопии (ЯГР) и при пересчете состава минерала на стехиометрическую формулу (Стех.) в пробах с изученной химической зональностью
Номер пробы | Fe#,% | Fe#ЯГР–Fe#стех. | |||
ЯГР | Стех. | ||||
ц | к | ц-к | |||
3701 | 24.62 | 21.25 | 30.27 | 9.02 | 5.60 |
Х-352 | 22.62 | 23.51 | 24.94 | 1.43 | 2.32 |
Х-6517/23 | 39.58 | 23.30 | 35.38 | 12.08 | 16.28 |
Х-6517/27 | 68.45 | 22.13 | 64.08 | 41.95 | 46.32 |
Е-180/1 | 32.60 | 24.60 | 26.29 | 1.69 | 8.00 |
E-217/10 | 26.87 | 22.25 | 27.21 | 4.96 | 4.62 |
Е-571/3 | 16.70 | 13.62 | 21.07 | 7.45 | 4.37 |
Е-1158/1* | 44.80 | 44.65 | 70.23 | 25.58 | 25.43 |
Примечание. ц, к – центральная и краевая части зерен хромшпинелидов соответственно; * – в пробе Е-1158/1 крупные зерна шпинелида (первой фазы) обозначены “ц”, мелкие зерна (второй фазы) обозначены “к”.
Основываясь на полученных результатах, можно сделать вывод, что изученные рудообразующие шпинелиды основных рудных тел массива Рай-Из и северной части Войкаро-Сыньинского массива имеют нормальную, необращенную структуру, а распределение катионов по ее позициям соответствует кристаллохимической формуле. Отклонения в распределении катионов железа, установленные при исследовании минерала методом ЯГР-спектроскопии, связаны с химической неоднородностью его зерен и присутствием в составе руд нескольких фаз шпинелидов различного состава. Рудообразующие шпинелиды не испытывали низкотемпературного разупорядочения, и для изучения хромовых руд полярноуральских ультрамафитовых массивов можно использовать геотермометр и оксибарометр Больхауза, Берри, Грина (Ballhaus et al., 1991).
Изменение химического состава рудообразующих минералов в пределах рудных тел
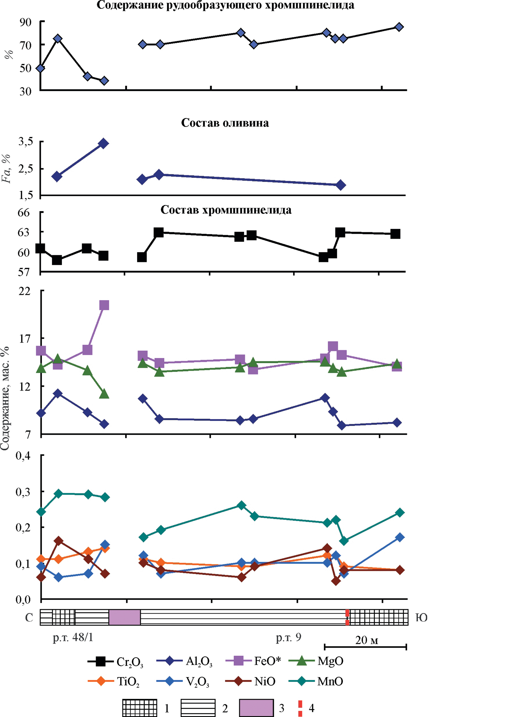
На фиг. 6 показано изменение содержания химических компонентов в хромшпинелидах и оливинах по разрезу через рудные тела № 48/1 и № 9 рудной залежи № 9, вскрытой в штольне месторождения Центральное на горизонте 480 м. Сравнивались составы, определенные в центральных частях зерен минерала. В рудном теле № 48/1 фиг. 6 наблюдается повышение к контактам содержаний FeO и V2O3, а количество MgO, Al2O3, MnO, NiO в шпинелиде, напротив, снижается. Содержание Cr2O3 в минерале варьирует по разрезу слабо, в пределах 59–60.5 мас. %.
Фиг. 6. Изменение химического состава хромшпинелида и оливина по профилю через рудные тела № 48/1 и № 9; месторождение Центральное. 1–2 хромититы: 1 – густовкрапленные, 2 – средневкрапленные; 3 – дуниты; 4 – зона деформации хромовых руд.
В продольном разрезе через рудное тело № 9 содержания компонентов ведут себя иначе. Зона деформации (красный пунктир на фиг. 6) делит рудное тело на два блока. К южному и северному контактам блоков возрастает содержание Al2O3, NiO и убывает количество MnO, Cr2O3. Содержание FeO и MgO в шпинелиде по разрезу выдержано и соответствует таковому во внутренней части рудного тела № 48/1. При этом во внутренней части рудного тела № 9 наблюдается более высокое содержание Cr2O3 и более низкое Al2O3, чем в рудном теле № 48/1. Наибольшая железистость оливина (Fa = 3.4%) установлена в средневкрапленных рудах рудного тела № 48/1, в густовкрапленных рудах Fa составляет 2.2–3.5%.
Рудное тело № 10 было опробовано в Южном карьере, на горизонте +590 м, где оно разбито на два блока, разделенных интервалом дунита, а также по керну скважин (см. фиг. 7). Для рудообразующих хромшпинелидов рудного тела № 10 характерно более низкое, по сравнению с составом минерала из рудного тела № 9, содержание Cr2O3 (58–61 мас. %). Наивысшее содержание компонента устанавливается в хромититах с густотой вкрапленности 85% и более, слагающих центральную часть южного блока тела № 10. Количество Cr2O3 в шпинелиде убывает к контактам рудных блоков с вмещающими дунитами. Одновременно снижается содержание Al2O3 и увеличивается количество суммарного FeO и степень окисления железа. Железистость f = Fe2+/(Fe2+ + Mg) шпинелида и содержание MnO увеличиваются к внутренним частям разделенных интрарудным дунитом рудных блоков, а содержание V2O5, напротив, убывает. Содержание фаялитовой молекулы в оливине возрастает к центру северного блока рудного тела. В южном блоке Fa постепенно понижается от северного контакта рудного тела к контакту сплошных и средневкрапленных руд, где она скачкообразно увеличивается и далее по разрезу вновь понижается к южному контакту рудного тела.
Фиг. 7. Вариации химического состава рудообразующего хромшпинелида, T и fO2 по разрезу через рудное тело № 10, месторождение Центральное. Условные обозначения: 1–5 хромовые руды: 1 – сплошные, 2 – густовкрапленные, 3 – средневкрапленные, 4 – редковкрапленные; 5 – рудовмещающие дуниты; 6 – буровые скважины и их номера.
Изменение составов шпинелида и оливина в хромититах по разрезу рудопроявления Енгайское-1 выражено не так четко, как на месторождении Центральное (см. фиг. 8, 9). Это связано как с изменением первичного состава шпинелида, так и со структурно-текстурными особенностями руд. Хромититы имеют вкрапленно-полосчатую и шлирово-вкрапленную текстуры; структура руд изменяется от убоговкрапленной до средневкрапленной. В шлирах встречаются густовкрапленные и сплошные разности хромититов. Изменчивость структур и текстур руд в пределах рудного тела взаимосвязана с вариациями химического состава рудообразующего шпинелида. Отмечается понижение железистости оливина и шпинелида с увеличением содержания рудообразующего минерала в хромититах.
Фиг. 8. Вариации химического состава рудообразующего хромшпинелида, T и fO2 по разрезу через рудные тела № 742/1, 742/2, 742/3, рудопроявление Енгайское-1. Условные обозначения: 1–3 хромовые руды: 1 – средневкрапленные, 2 – редковкрапленные; 3 – убоговкрапленные; 4 – рудовмещающие дуниты; 5 – буровые скважины и их номера.
Фиг. 9. Вариации химического состава рудообразующего хромшпинелида, T и fO2 по разрезу через рудные тела № 742/2, 742/3, 742/6, 742/7, рудопроявление Енгайское-1. Условные обозначения см. фиг. 8.
Описанные закономерности изменения состава минерала иллюстрируют представленные ниже разрезы через рудные тела № 742/1–742/7 (фиг. 8, 9). Как видно на графиках, по отношению к убоговкрапленным хромититам, хромшпинелиды из средневкрапленных и редковкрапленных разновидностей, содержат большее количество Cr2O3 (55–56 мас. %, против 51–54 мас. % в убоговкрапленных) и Al2O3 (в средне-редковкрапленных 12–13 мас. %, в убоговкрапленных 10–11 мас. %). Кроме этого, для них характерна более низкая железистость (32–35%), чем для шпинелидов из убоговкрапленных руд (40–50%).
Таким образом, на Енгайском рудопроявлении наблюдается увеличение содержаний хрома, глинозема, магния в рудообразующем шпинелиде с возрастанием его количества в руде.
В рудных телах рудопроявлений Ямботывисской площади Войкаро-Сыньинского массива наблюдается асимметричная зональность. На рудопроявлениях № 28, № 118 и № 346 наблюдается увеличение содержания Cr2O3 к одному из контактов (фиг. 10, 11) на 1 мас.% (проявление 346) и около 3 мас. % (проявления № 118 и № 28). Оно сопровождается уменьшением содержания Al2O3 и слабым снижением Fe#.
Фиг. 10. Изменение химического состава рудообразующего шпинелида, температуры оливин-хромшпинелевого равновесия и фугитивности кислорода внутри тел хромититов № 28 и № 118 Ямботывисской площади. 1–3 – структура хромититов по содержанию рудообразующего шпинелида: 1 – сплошные, 2 – густовкрапленные; 3 – средневкрапленные; 4 – дуниты.
Фиг. 11. Изменение химического состава рудообразующего шпинелида, температуры оливин-хромшпинелевого равновесия и фугитивности кислорода внутри тела хромититов № 346 Ямботывисской площади. Условные обозначения см. фиг. 10.
Таким образом, в рудных телах Ямботывисской площади проявлена тенденция к увеличению содержания окиси хрома (и сопутствующих компонентов) по направлению к юго-восточному контакту – лежачему боку рудного тела, то есть ассиметричная зональность.
По химическому составу рудообразующего шпинелида внутри рудного тела № 3415 Аркашорского рудопроявления выделяется два блока – западный и восточный, которые имеют мощности 4.2 и 6 м соответственно (см. фиг. 12). Рудообразующие хромшпинелиды западного блока содержат Cr2O3–48–56 мас. %; Al2O3–6.9–18.4 мас. %; MgO – 7–16 мас. %. При этом в его пределах содержание Cr2О3 в минерале повышается к контактам с вмещающими породами на западе и рудами восточного блока на востоке, а магния и алюминия, напротив, понижается. В пределах восточного блока наблюдается обратная картина – во внутренней его части содержание Cr2O3 в шпинелиде наиболее высокое – 60.2 мас. %, а к контактам его количество снижается до 47.56 мас.%. Содержание Al2O3 увеличивается к контакту с 6.58 до 18.72 мас. %; изменение содержания MgO менее выражено. Количество компонента убывает к восточному контакту с 12.7 во внутренней части рудного тела до 11.58 мас. % MgO, вблизи контакта.
Фиг. 12. Изменение химического состава рудообразующего шпинелида, температуры оливин-шпинелевого равновесия и фугитивности кислорода внутри тела хромититов 3415 Аркашорского рудопроявления. Красный пунктир – тектоническое нарушение, остальные условные обозначения см. на фиг. 10.
Руды изученного пересечения достаточно однотипны по структурно-текстурным особенностям.
Распределение катионов железа между оливином и рудообразующим хромшпинелидом
Железистость оливина из хромовых руд различных минеральных типов варьирует в интервале f = Fe × 100/(Fe + Mg) = 1.8–7%. В исследованных хромовых рудах рудопроявления Енгайское-1 отмечается наиболее высокая изменчивость этого параметра (f = 2.8–6%), что связано со значительной вариацией густоты вкрапленности рудообразующего шпинелида (Вахрушева и др., 2017). Железистость оливина из руд месторождения Центральное, напротив, принимает значения в узком диапазоне f = 1.8–3.8%. Оливин из руд Ямботывисской площади и Аркашорского проявления содержит 3.0–7.1% фаялитового минала.
Железистость оливина из метаультрамафитов, вмещающих рудопроявления Енгайское-1 и месторождения Центральное, составляет 6.0–8.5 и 3.5–7.4% соответственно. В оливине рудовмещающих дунитов и гарцбургитов Ямботывисских рудопроявлений f выше и находится в пределах 7.0–10.5%.
Как видно, диапазоны значений железистости в оливине для разных объектов сопоставимы. Однако при исследовании ковариации железистости оливина и шпинелида было установлено, что тренды, характеризующие равновесное изменение составов этих минералов, индивидуальны для каждого из исследованных объектов (фиг. 6). Фигуративные точки составов минералов месторождения Центральное, рудопроявления Енгайское-1 и Ямботывисских рудопроявлений располагаются вдоль трех линий с различными углами наклона. Линия с наибольшим углом соответствует метаультрамафитам и хромититам месторождения Центральное, с наименьшим – рудопроявлений Ямботывисской площади. На каждом из изученных объектов железистости минералов монотонно возрастают от хромититов к вмещающим их ультрамафитам, образуя единые линейные последовательности, что свидетельствует о существовании равновесия в системе порода–руда.
Как показано выше, рудное тело № 3415 Аркашорского рудопроявления разделено на два тектонических блока – западный и восточный. По соотношению железистости оливина и шпинелида (фиг. 13) хромититы западного блока соответствуют глиноземистым рудам Ямботывисских проявлений, а хромититы восточного близки к среднехромистым рудам проявления Енгайское-1.
Фиг. 13. Диаграмма зависимости железистость оливина – железистость шпинелида. Условные обозначения: 1, 2 – месторождение Центральное, 1 – хромовые руды, 2 – рудовмещающие породы; 3, 4 – рудопроявление Енгайское-1, 3 – хромовые руды, 4 – рудовмещающие породы; 5, 6 – Ямботывисская площадь, 5 – хромовые руды, 6 – рудовмещающие породы; 7, 8 – хромовые руды рудопроявления Аркашорское, 1 – восточный блок, 2 – западный блок. Сиреневое поле – составы минералов из хромититов и рудовмещающих ультрамафитов месторождения Алмаз-Жемчужина, Кемпирсайский массив, Казахстан (по Царицын, Алимов, 1983).
Необходимо подчеркнуть, что химический состав рудообразующих и акцессорных шпинелидов резко различен (фиг. 14). Это отличает систему хромовая руда–метаультрамафит от экспериментальных систем, обсуждающихся в работах Т. Ирвайна, Л. Перчука и П. Рёдера (Irvine, 1965; Перчук, Рябчиков, 1976; Roeder et al., 1979). Авторами рассмотрены случаи температурного контроля коэффициента распределения железа и магния между оливином и шпинелидом (KD), или же изменение KD под влиянием вариации количества Cr, Al и Fe3+ в шпинелиде. В исследованных породах и рудах не отмечается влияния температуры или соотношения трехвалентных катионов в шпинелиде на тренды изменения железистостей минералов. Хромистость (Cr/(Cr+Al)) у акцессорных шпинелидов месторождения Центральное (87–98%) выше, чем у рудообразующих и (78–82%). На использованном для сравнения (см. фиг. 13) месторождении Алмаз-Жемчужина, наоборот, акцессорные шпинелиды гарцбургитов более глиноземистые (Cr/(Cr + Al) = 40–60%), чем рудообразующие (Cr/(Cr + Al) = 81–84%) (Царицын, Алимов, 1983). На рудопроявлении Енгайское и на Ямботывисской площади хромистости рудообразующих и акцессорных шпинелидов сопоставимы. Однако во всех этих случаях увеличение железистостей оливинов и шпинелидов происходит монотонно и линейно. Следовательно, состав шпинелида не влияет на наклон линии тренда на фиг. 13. Как будет показано ниже, температура оливин-шпинелевого равновесия в рудах различных рассмотренных объектов также принимает сопоставимые значения. Если железистости фаз зависят одновременно от температуры и от соотношения количеств трехвалентных катионов в октаэдрической позиции структуры шпинелида, значит, эти два параметра должны изменяться одновременно, а иначе зависимость между составами минералов не может быть линейной (как и вообще наблюдаться). Кроме этого, обсуждаемые модели не учитывают понижения железистости оливина за счет его окисления (Плечов и др., 2018).
Фиг. 14. Диаграмма составов изученных рудообразующих (слева) и акцессорных (справа) хромшпинелидов массивов Рай-Из и Войкаро-Сыньинский. Условные обозначения: а – месторождение Центральное; б – рудопроявление Енгайское-1; в – рудопроявление Аркашорское; г – рудопроявления Ямботывисской площади. Поля составов по классификации Н.В. Павлова (1949, 1968): 1 – хромит, 2 – субферрихромит, 3 – алюмохромит, 4 – субферриалюмохромит, 5 – ферриалюмохромит, 6 – субалюмоферрихромит, 7 – феррихромит, 8 – хромпикотит, 9 – субферрихромпикотит.
Из этого может следовать, что наблюдаемые равновесия указывают на парагенетическую связь хромитов и вмещающих их пород. В случае месторождения Центральное (и ряда проявлений высокохромистых руд в ультрамафитах райизско-войкарского комплекса) такими породами являются метаультрамафиты. Мы предполагаем, что это свидетельствует о метаморфогенном происхождении высокохромистого оруденения.
Окситермобарометрия хромовых руд
Для хромититов месторождения Центральное и рудопроявления Енгайское-1 характерны близкие температуры оливин-хромшпинелевого равновесия, которые принимают значения в диапазоне 550–780оC (фиг. 15а). Высокохромистые хромовые руды месторождения Центральное более окислены по сравнению со среднехромистыми рудами проявления Енгайское-1. В хромититах месторождения Центральное выделяются две моды dlog fO2 (FMQ): +2–+2.2 и +2.8–+3 лог. ед. выше буфера FMQ, а для рудопроявления Енгайское-1 – +1.8 – +2 и +2.6–+2.8 лог. ед.
Фиг. 15. Диаграмма T – log fO2 для хромититов массивов Рай-Из (а) и Войкаро-Сыньинский (б). Условные обозначения: 1 – месторождение Центральное; 2 – рудопроявление Енгайское-1; 3 – Аркашорское рудопроявление; 4 – рудопроявления Ямботывисской площади.
Рудовмещающие ультрамафиты сравниваемых объектов различаются по температуре оливин-хромшпинелевого равновесия и фугитивности кислорода (фиг. 16). В среднем температура оливин-хромшпинелового равновесия в метаультрамафитах и дунитах месторождения Центральное составляет 580–650оC, фугитивность O2 варьирует относительно FMQ от +2 до +5 ед. Большая часть исследованных образцов дунитов проявления Енгайское-1 фиксирует температуру 630–670оC и fO2(FMQ)= +0.8–+2 лог. ед. (фиг. 17).
Фиг. 16. Диаграмма T –log fO2 для ультрамафитов месторождения Центральное (1) и рудопроявления Енгайское-1 (2).
Фиг. 17. Зависимость фугитивности кислорода от густоты вкрапленности хромшпинелида в рудах рудного тела № 8; месторождение Центральное.
Фугитивность кислорода в исследованных рудных телах месторождения Центральное значимо изменяется по разрезу, нарастая к контактам тел, что затушевывает ее вариацию в зависимости от густоты вкрапленности. При этом в северной части месторождения, в полосчатых рудах, залегающих в апофизе Центрального дунитового тела (рудное тело № 8), четко проявлена прямая зависимость густоты вкрапленности рудообразующего шпинелида от фугитивности кислорода (фиг. 17).
На рудопроявлении Енгайское-1 наблюдается увеличение fO2 от убоговкрапленных руд к густовкрапленным. В убоговкрапленных рудах fO2 изменяется относительно буфера FMQ от +0.8 до +2.1 лог. ед.; в редковкрапленных – от +1.8 до +2.6 лог. ед.; в средневкрапленных и густовкрапленных – от +2.3 до +2.8 лог. ед. Температура оливин-шпинелевого равновесия для руд различных типов варьирует в близких пределах.
В среднехромистых рудах Аркашорского рудопроявления значение фугитивности кислорода в среднем изменяется в пределах FMQ от +2 до +2.5 ед. (см. фиг. 15б). Температура оливин-шпинелевого равновесия варьирует в пределах 570–750оC. Значения fO2 и Т в хромовых рудах Аркашорского проявления Войкаро-Сыньинского массива близки к таковым проявления Енгайское-1 массива Рай-Из.
Для глиноземистых хромовых руд Ямботывисской площади (фиг. 15б) Войкаро-Сыньинского массива вычисленные температуры оливин-шпинелевого равновесия варьируют в диапазоне 610–795оC, в том числе и в пределах отдельных рудных залежей. В целом, наименьшие на Ямботывисской площади значения fO2, равные 0.6–1.5 ед. выше буфера FMQ, устанавливаются в хромовых рудах, которые залегают в телах дунитов. Наибольшая фугитивность кислорода, FMQ от +1.5 до +1.9 ед. отмечена в хромититах, локализованных в гарцбургитах. Убого- и редковкрапленные глиноземистые хромититы более восстановлены, чем средневкрапленные, густовкрапленные и сплошные (фиг. 18). Хромититы внутренних частей рудных залежей менее окислены, по сравнению с эндоконтактовыми частями.
Фиг. 18. Диаграмма T – fO2 для хромититов Ямботывисского рудопроявления. 1 – убого- и редковкрапленные; 2 – от средневкрапленных до сплошных.
В рудном теле № 346 Ямботывисского рудопроявления наблюдается увеличение от центра к северному эндоконтакту густоты вкрапленности хромшпинелида. Структура хромитита изменяется от редковкрапленной и средневкрапленной до густовкрапленной. Одновременно с этим повышается значение fO2 от 0.8 до 1.4 лог. ед. выше буфера FMQ.
Полученные данные показывают, что на Войкаро-Сыньинском массиве хромовые руды среднехромистого минерального типа фиксируют более высокие значения фугитивности кислорода, чем глиноземистого. Можно сделать вывод, что повышение хромистости рудообразующего шпинелида и увеличение густоты вкрапленности хромовых руд, локализованных в ультрамафитах массивов Рай-Из и Войкаро-Сыньинский, происходит в условиях возрастания фугитивности кислорода.
ОБСУЖДЕНИЕ РЕЗУЛЬТАТОВ
Фугитивность кислорода, на 1–2 ед. превышающая буфер FMQ, типична для ультрамафитов, сформировавшихся в надсубдукционных обстановках (Parkinson, Arculus, 1999; Dare at al., 2009; и др.). Для хромититов месторождения Центральное характерна фугитивность O2 в среднем FMQ +2.5 ± 0.5 лог, ед., а в рудовмещающих породах она достигает +5 лог. ед. Такие высокие значения fO2 не объясняются образованием или преобразованием пород и руд под влиянием надсубдукционных магматических расплавов.
С другой стороны, увеличение фугитивности кислорода отражает изменение глубинности образования горных пород. Окислительно-восстановительная обстановка выше границы Мохо соответствует значениям фугитивности O2, которые превышают буфер FMQ (O’Neill et al., 1993; Orcutt et al., 2019; и др.). Это подтверждается повышенной степенью окисленности малоглубинных ксенолитов шпинелевых перидотитов, по сравнению c ксенолитами глубинных мантийных эклогитов и гранатовых перидотитов (Orcutt et al., 2019). На возрастание фугитивности кислорода вверх по разрезу океанической коры указывает увеличение степени окисления железа в слагающих ее породах (Lécuyer, Yanick, 1999; McCammon, 2005).
Согласно литературным данным, коровый метаморфизм ультрамафитов Полярного Урала происходил при температуре 570–780оC и фугитивности кислорода FMQ +2.5–+5.3 лог. ед. (Чащухин и др., 2007; Вахрушева и др., 2017), которая соотносится с параметрами, установленными в высокохромистых хромовых рудах. С одной стороны, это может являться следствием твердофазных преобразований хромититов при наложенном метаморфизме. Однако авторы настоящей работы полагают, что такие параметры свидетельствуют о непосредственной взаимосвязи метаморфизма и рудообразования для высокохромистых руд.
Как было отмечено выше, прямо пропорциональное увеличение железистостей оливина и шпинелида каждого из объектов от хромовых руд к ультрамафитам указывает на равновесие в системе руда–порода. Рудовмещающими породами на месторождении Центральное являются метаультрамафиты. Акцессорные шпинели из этих пород отличаются от рудообразующих повышенным содержанием трехвалентного железа и пониженным алюминия. При этом руды и породы месторождения Центральное равновесны друг с другом по железистости сосуществующих оливина и шпинелида также как руды и породы Ямботывисских проявлений, где вмещающие ультрамафиты представлены серпентинизированными гарцбургитами и дунитами. Тренды, характеризующие изменение составов минералов этих объектов, имеют различные углы наклона (см. фиг. 6).
Согласно литературным данным, коэффициент распределения железа между оливином и шпинелидом зависит от температуры и соотношения трехвалентных катионов в структуре минерала, главным образом хрома и алюминия (хромистость минерала) (Irvine, 1965; и др.). В рассматриваемом случае положение точек составов минералов на диаграмме обусловлено не хромистостью шпинелида, а параметрами, при которых образовались минеральные парагенезисы ультрамафитов и хромовых руд. На это указывает полное совпадение поля составов глиноземистых хромититов – рудовмещающих серпентинизированных гарцбургитов Ямботывисской площади с таковыми высокохромистых руд Кемпирсайского массива (по данным (Царицын, Алимов, 1983)). О близости условий эволюции гарцбургитов этих объектов можно судить по составам породообразующих энстатитов. Энстатиты из рудовмещающих гарцбургитов Кемпирсайского и Войкаро-Сыньинского массива содержат примеси Al2O3 (0.5–3 мас. %) и Cr2O3 (0.14–1.2 мас. %) (Савельева, Перцев, 1995; Чащухин и др., 2007; Савельева и др., 2015). Это значимо отличает их от энстатитов рудовмещающих энстатит-оливиновых и амфибол-энстатит-оливиновых пород массива Рай-Из, содержащих 0–0.15 мас. % Cr2O3 и 0.1–0.25 мас. % Al2O3 (Чащухин и др., 1986; Вахрушева и др., 2017). Перераспределение хрома и алюминия из энстатита в другие силикатные и окисные фазы происходит в результате метаморфизма пород (Вахрушева и др., 2017). Следовательно, можно предполагать, что геологические и T-fO2 условия преобразования пород Ямботывисской площади и Кемпирсайского массива близки и обуславливают схожие по углу наклона тренды изменения составов оливинов и шпинелидов (см. фиг. 5). Предположительно, различное содержание хрома в шпинелидах хромититов связано с разными давлениями в рудообразующей системе. Как было показано в работах (Klemme, O’Neill, 2000; Маракушев, Панеях и др., 2004; и др.), хромистость шпинелида возрастает с увеличением давления, при котором он образовался. Рудообразующие шпинелиды рудопроявлений Ямботывисской площади имеют существенно более низкую хромистость, по сравнению с таковыми месторождения Алмаз-Жемчужина, и, следовательно, можно предполагать, что они сформировались при относительно более низких давлениях. С точки зрения магматической петрологии такая разница в составах шпинелидов объясняется различным составом магм, из которых они кристаллизовались. Например, высокохромистые руды могли кристаллизоваться из магм, схожих по составу с бонинитами, а глиноземистые – из промежуточных между бонинитами и MORB, как показано в работе (Zhang et al., 2020).
Таким образом, мы предполагаем, что пропорциональное равновесное распределение железа между оливином и шпинелидом в системе руда–порода свидетельствует о том, что высокохромистые хромититы образовались одновременно с рудовмещающими метаультрамафитами. Рудообразование, концентрирование рудного компонента, может происходить не только в мантийных или нижнекоровых условиях, характеризующихся значениями fO2, близкими к буферу FMQ, но и в обстановке корового метаморфизма ультрамафитов, в наиболее окислительных условиях. В таком случае образование хромититов не связано с магматическим переносом рудных компонентов, а является следствием твердофазного минерального изменения пород рудовмещающего комплекса в ходе высокопараметрического метаморфизма. Схожий механизм предложен Д. Савельевым для объяснения накопления хромититов в массивах Крака и Кемпирсай (Saveliev, 2021).
Установленные в хромититах и рудовмещающих ультрамафитах рудопроявления Енгайское-1 и месторождения Центральное значения fO2 и температуры оливин-шпинелевого равновесия не соотносятся с условиями, типичными для магматических процессов, в том числе импрегнации ультрамафитов надсубдукционными магматическими расплавами. В то же время, результаты оценки условий формирования оливин-хромшпинелевого парагенезиса в рудовмещающих ультрамафитах и хромититах приводят к выводу о возможном метаморфогенном образовании рудных концентраций.
Повышение фугитивности кислорода в хромитоносных ультрамафитах Полярного Урала в результате перемещения массивов в коровые условия согласуется с тектонической реконструкцией деформационной эволюции массива Рай-Из, выполненной В.Н. Пучковым и В.Р. Шмелевым. По данным этих авторов, подъем массива происходил на этапе коллизии и сопровождался динамической рекристаллизацией ультрамафитов (Строение …, 1990).
Глиноземистые хромититы можно рассматривать в качестве продуктов наиболее раннего этапа рудообразования, который происходил в близких к мантийным нижнекоровых условиях при fO2 = FMQ +0.5–1.5 лог. ед. Высокохромистые руды сформировались в наиболее окислительной обстановке, фиксирующей наивысший относительный уровень литосферы, где значения fO2 превышали +2.5 лог. ед. относительно FMQ. Среднехромистые хромовые руды образовывались на промежуточном относительном уровне при fO2=FMQ+ +1.5–2.5 лог. ед.
ВЫВОДЫ
Согласно полученным данным, фугитивность кислорода в глиноземистых хромититах составляет в среднем FMQ +0.5–1.5 лог. ед., в среднехромистых – FMQ +1.5–2.5 лог. ед., в высокохромистых – превышает +2.5 лог. ед. относительно буфера FMQ. Фугитивность кислорода в густовкрапленных хромититах на 0.5–1 лог. ед. выше, чем в убоговкрапленных и редковкрапленных. Температура оливин-шпинелевого равновесия для исследованных хромититов, изменяется в пределах 550–800оС.
Оцененные в хромовых рудах значения температуры оливин-шпинелевого равновесия и фугитивности кислорода, по нашему мнению, соответствуют параметрам коровой эволюции ультрамафитов. Повышение хромистости рудообразующего хромшпинелида и увеличение густоты вкрапленности хромовых руд, локализованных в ультрамафитах массивов Рай-Из и Войкаро-Сыньинский, происходит в условиях возрастания фугитивности кислорода. Равновесное увеличение железистости оливина и шпинелида от хромовых руд к рудовмещающим ультрамафитам может свидетельствовать о том, что хромититы массива Рай-Из образовались одновременно с рудовмещающими метаультрамафитами.
Полученные результаты показывают, что образование хромовых руд, концентрирование рудного компонента, может происходить не только в мантийных или нижнекоровых условиях, характеризующихся значениями fO2, близкими к буферу FMQ, но и сопровождать коровый метаморфизм ультрамафитов, который происходит в окислительной обстановке.
БЛАГОДАРНОСТИ
Авторы благодарны академику РАН Виктору Алексеевичу Коротееву, который проявлял искренний интерес и оказывал всестороннюю поддержку нашим исследованиям. Мы признательны рецензентам за ценные критические замечания, способствовавшие улучшению статьи.
ФИНАНСИРОВАНИЕ
Исследование выполнено при финансовой поддержке гранта Российского научного фонда № 22-17-00027 (https://rscf.ru/project/22–17–00027/).
About the authors
P. B. Shiryaev
Institute of Geology and Geochemistry, Ural Branch of the Russian Academy of Sciences
Author for correspondence.
Email: pavel.shiryayev@gmail.com
Russian Federation, 620016, Yekaterinburg, st. Academician Vonsovsky, 15
N. V. Vakhrusheva
Institute of Geology and Geochemistry, Ural Branch of the Russian Academy of Sciences
Email: pavel.shiryayev@gmail.com
Russian Federation, 620016, Yekaterinburg, st. Academician Vonsovsky, 15
References
- Батанова В.Г., Савельева Г.Н. Миграция расплавов в мантии под зонами спрединга и образование дунитов замещения: обзор проблемы // Геология и геофизика. 2009. Т. 50. № 9. С. 992–1012.
- Белоусов И.A., Батанова В.Г., Савельева Г.Н., Соболев А.В. Свидетельство надсубдукционной природы мантийных пород Войкаро-Сыньинского офиолитового массива, Полярный Урал // Докл. РАН. 2009. Т. 429. № 2. С. 238–243.
- Бортников Н.С., Лобанов К.В., Волков А.В., Галямов А.Л., Викентьев И.В., Тарасов Н.Н., Дистлер В.В., Лаломов А.В., Аристов В.В., Мурашов К.Ю. Месторождения стратегических металлов Арктической зоны // Геология руд. месторождений. 2015. Т. 57. № 6. С. 479–500.
- Вахрушева Н.В., Ширяев П.Б., Степанов А.Е., Богданова А.Р. Петрология и хромитоносность ультраосновного массива Рай-Из Полярный Урал. Екатеринбург: ИГГ УрО РАН, 2017. 265 с.
- Добрецов Н.Л., Молдаванцев Ю.Е., Казак А.П. и др. Петрология и метаморфизм древних офиолитов (на примере Полярного Урала и Западного Саяна) // Тр. Ин-та геол. и геоф. Сиб. отд. АН СССР. Новосибирск: Наука, Сибирское отделение, 1977. Вып. 368. 221 с.
- Зылёва Л.И., Коновалов А.Л, Казак А.П. и др. Государственная геологическая карта Российской Федерации. Масштаб 1 : 1 000 000 (3-е покол.). Сер. Зап.-Сибирская. Лист Q-42 – Салехард. Об. зап. СПб.: ВСЕГЕИ, 2014, 396 с.
- Книппер А.Л. Океаническая кора в структуре альпийской складчатой области: (юг Европы, западная часть Азии и Куба). М.: Наука, 1975. 208 с.
- Колман Р.Г. Офиолиты. М.: Мир, 1979. 262 с.
- Макеев А.Б., Брянчанинова Н.И. Топоминералогия ультрабазитов Полярного Урала. СПб.: Наука, 1999. 252 с.
- Макеев А.Б., Брянчанинова Н.И. Крупномасштабное минералогическое картирование хромитоносных участков на примере Хойлинского рудного узла (Войкаро-Сыньинский массив, Полярный Урал) Статья 2. Особенности образования и преобразования руд и пород // Изв. ВУЗов. Геология и разведка. 2014. № 2. С. 15–22.
- Маракушев А.А., Панеях Н.А., Горбачев Н.С., Зотов И.А. Минералого-геохимическая специфика гигантских месторождений хрома и платиновых металлов и проблема глубинности их мантийных источников // Крупные и суперкрупные месторождения: Закономерности размещения и условия образования. М.: ОНЗ РАН, 2004. С. 137–159.
- Методические рекомендации по применению Классификации запасов месторождений и прогнозных ресурсов твердых полезных ископаемых. Хромовые руды. М.: ФГУ ГКЗ МПР РФ, 2007. 36 с.
- Николаев Г.С., Арискин А.А., Бармина Г.С., Назаров М.А., Альмеев Р.Р. Тестирование Ol-Opx-Sp оксибарометра Балльхауса-Берри-Грина и калибровка нового уравнения для оценки окислительного состояния расплавов, насыщенных оливином и шпинелидом // Геохимия. 2016. № 4. С. 323–343.
- Никольская Н.Е., Казеннова А.Д., Николаев В.И. Типоморфизм рудообразующего хромшпинелида месторождений хромовых руд // Минеральное сырье. № 42. М.: ФГБУ “ВИМС”, 2021. 238 c.
- Павлов Н.В. Химический состав хромшпинелидов в связи с петрографическим составом пород ультраосновных интрузивов // Труды института геол. наук. Серия рудных месторождений. 1949. Вып. 103. 87 с.
- Павлов Н.В., Кравченко Г.Г., Чупрынина Г.Г. Хромиты Кемпирсайского плутона. М.: Наука, 1968. 178 с.
- Перчук Л.Л., Рябчиков И.Д. Фазовое соответствие в минеральных системах. М.: Недра, 1976. 287 с.
- Перевозчиков Б.В., Кениг В.В., Лукин А.А., Овечкин А.М. Хромиты массива Рай-Из на Полярном Урале (Россия) // Геология руд. месторождений. 2005. № 47 (3). С. 230–248.
- Плечов П.Ю., Щербаков В.Д., Некрылов Н.А. Экстремально магнезиальный оливин в магматических породах // Геология и геофизика 2018. № 59(12). С. 2129–2167. https://doi.org/10.15372/GiG20181212
- Пушкарев Е.В., Каменецкий В.С., Морозова А.В., Хиллер В.В., Главатских С.П., Родеманн Т. Онтогения рудных хромшпинелидов и состав включений как индикаторы пневматолито-гидротермального образования платиноносных хромититов массива Кондер (Алданский щит) // Геология руд. месторождений. 2015. Т. 57. № 5. С. 394–423.
- Савельева Г.Н. Габбро-ультрабазитовые комплексы офиолитов Урала и их аналоги в современной океанической коре. М.: Наука, 1987. 244 с.
- Савельева Г.Н., Батанова В.Г., Соболев А.В., Кузьмин Д.В. Минералы мантийных перидотитов – индикаторы хромовых руд в офиолитах // Докл. РАН. 2013. Т. 452. № 3. С. 313–316.
- Савельева Г.Н., Батанова В.Г., Кузьмин Д.В., Соболев А.В. Состав минералов мантийных перидотитов как отражение рудообразующих процессов в мантии (на примере офиолитов Войкаро-Сыньинского и Кемпирсайского массивов) // Литология и полезные ископаемые. 2015. № 1. С. 87–98.
- Савельева Г.Н., Перцев А.Н. Мантийные ультрамафиты в офиолитах Южного Урала, Кемпирсайский массив // Петрология. 1995. Т. 3. № 2. С. 115–132.
- Cимонов В.А., Смирнов В.Н., Иванов К.С., Ковязин С.В. Расплавные включения в хромшпинелидах расслоенной части Ключевского габбро-гипербазитового массива // Литосфера. 2008. № 2. С. 101–115.
- Строение, эволюция и минерагения гипербазитового массива Рай-Из. Ред.: Пучков В.Н., Штейнберг Д.С. Свердловск: УрО АН СССР, 1990. 228 с.
- Царицын Е.П., Алимов В.Ю. Оливин-хромшпинелидовые парагенезисы в гипербазитах Кемпирсайского массива // Минералы и парагенезисы минералов месторождений Урала. Свердловск: УНЦ АН СССР, 1983. С. 87–102.
- Чащухин И.С., Вотяков C.Л., Щапова Ю.Л. ЯГР кристаллохимия хромшпинели и окситермобарометрия ультрамафитов складчатых областей. Екатеринбург: ИГГ УрО РАН, 2007. 345 с.
- Чащухин И.С., Перевозчиков Б.В., Царицын Е.П. Метаморфизм гипербазитов массива Рай-Из (Полярный Урал) // Исследования по петрологии и металлогении Урала. УНЦ АН СССР, 1986. С. 49–75.
- Ширяев П.Б., Вахрушева Н.В. Особенности состава и условий образования рудообразующих хромовых шпинелей южного участка месторождения Центральное (массив Рай-Из) // Ежегодник-2016. Труды ИГГ УрО РАН. 2017. № 164. С. 204–206.
- Шмелев В.Р. Мантийные ультрабазиты офиолитовых комплексов Полярного Урала: петрогенезис и обстановка формирования // Петрология. 2011. Т. 19. № 6. С. 649–672.
- Arai S., Abe N. Reaction of orthopyroxene in peridotite xenoliths with alkali basalt melt and its implication for genesis of alpine-type chromitite // Amer. Mineral. 1995. V. 80. P. 1041–1047.
- Arai S., Akizawa N. Precipitation and dissolution of chromite by hydrothermal solutions in the Oman ophiolite: new behavior of Cr and chromite // Amer. Mineral. 2014. V. 99. V. 28–34.
- Arai S., Miura M. Formation and modification of chromitites in the mantle // Lithos. 2016. V. 264. P. 277–295.
- Ballhaus C., Berry R.F., Green D.H. Experimental calibration of the olivine-orthopyroxene-spinel oxygen barometer – implications for oxygen fugacity in the Earth’s upper mantle // Contrib. Miner. Petrol. 1991. V. 107. P. 27–40.
- Borisova A.Y., Ceuleneer G., Arai S., Kamenetsky V., Béjina F., Polvé M., Aigouy T., Pokrovski G.S. A new view on the petrogenesis of the Oman ophiolite chromitites from microanalyses of chromite-hosted inclusions // J. Petrol. 2012. V. 53. Р. 2411–2440.
- Dare S.A., Pearce J.A., McDonald I., Styles M.T. Tectonic discrimination of peridotites using fO2–Cr# and Ga-Ti-FeIII systematics in chrome–spinel // Chem. Geol. 2009. V. 261. P. 199–216.
- Dilek Y., Furnes H. Ophiolite genesis and global tectonics: Geochemical and tectonic fi ngerprinting of ancient oceanic lithosphere // Geological Society of America Bulletin. 2011. V. 123. P. 387–411.
- Hu W.-J., Zhou M.-F., Yudovskaya M.A., Vikentyev I.V., Malpas J., Zhang P.-F. Trace elements in chromite as indicators of the origin of the giant podiform chromite deposit at Kempirsai, Kazakhstan // Econ. Geol. 2022. V. 117(7). P. 1629–1655. https://doi.org/10.5382/econgeo.4955
- Irvine T.N. Chromian spinel as a petrogenetic indicator. Part 2. Petrologic applications // Can. J. Earth Sci. 1967. V. 4. P. 71–103.
- Klemme S., O’Neill H.S.C. The effect of Cr on the solubility of Al in orthopyroxene: experiments and thermodynamic modeling// Contrib. Mineral. Petrol. 2000. V. 140. P. 84–98.
- Lécuyer C., Yanick R. Long-term fluxes and budget of ferric iron: Implication for the redox state of the Earth’s mantle and atmosphere // Earth Planet. Sci. Lett. 1999. V. 165. P. 197–211.
- Li C., Ripley E.M., Sarkar A., Shin D., Maier W.D. Origin of phlogopite-orthopyroxene inclusions in chromites from the Merensky Reef of the Bushveld Complex, South Africa // Contrib. Miner. Petrol. 2005. V. 150. P. 119–130.
- McСammon C.A. Mantle Oxidation State and Oxygen Fugacity: Constraints on Mantle Chemistry, Structure, and Dynamics // Earth’s Deep Mantle: Structure, Composition, and Evolution (eds R.D. Van Der Hilst, J.D. Bass, J. Matas and J. Trampert). American Geophysical Union, 2005. 334 p.
- Melcher F., Grum W., Simon G., Thalhammer T.V., Stumpfl E.F. Petrogenesis of the ophiolitic giant chromite deposits of Kempirsai, Kazakhstan: a study of solid and fluid inclusions in chromite // J. Petrol. 1997. V. 38. P. 1419–1458.
- O’Neill H.S.C., Rubie D.C., Canil D., Geiger C.A., Ross II C.R., Seifert F., Woodland A.B. Ferric iron in the upper mantle and in transition zone assemblages: implications for relative oxygen fugacities in the mantle // Evolution of the Earth and Planets, International Union of Geodesy and Geophysics and the American Geophysical Union, Geophysical Monograph 74. IUGG, 1993. V. 14. P. 73–88.
- O’Neill H.S.C., Wall V.J. The olivine-orthopyroxene-spinel oxygen geobarometer, the nickel precipitation curve, and the oxygen fugacity of the Earth’s upper mantle // J. Petrol. 1987. V. 28. P. 1169–1191.
- Osborne M.D., Fleet M.E., Michael Bancroft G. Fe2+-Fe3+ ordering in chromite and Cr-bearing spinels // Contrib. Mineral. Petrol. 1981. V. 77(3). P. 251–255.
- Orcutt B., Daniel I., Dasgupta R.. Orcutt B. Deep Carbon: Past to Present. Cambridge: Cambridge University Press, 2019. 653 p.
- Parkinson I.J., Arculus R.J. The redox state of subduction zones: insights from arc-peridotites // Chem. Geol. 1999. V. 160. P. 409–423.
- Parkinson I.J., Pearce J.A. Peridotites from the Izu–Bonin–Mariana forearc (ODP Leg 125): evidence for mantle melting and melt–mantle interaction in a supra-subduction zone setting // J. Petrol. 1998. V 39 (9). P. 1577–1618.
- https://doi.org/10.1093/petroj/39.9.1577
- Payot B.D., Arai S., Tamayo R.A. Graciano Y.P. Textural Evidence for the Chromite-Oversaturated Character of the Melt Involved in Podiform Chromitite Formation // Resource geology. 2013. V 63 (3). P. 313–319.
- Roeder P.L., Campbell L.H. and Jamieson H.E. A re-evaluation of the olivine-spinel geothermometer // Contrib. Mineral. Petrol. 1979. V. 68. P. 325–334.
- Roeder P.L., Reynolds I. Crystallization of chromite and chromium solubility in basaltic melts // J. Petrol. 1991. V. 32. P. 909–934.
- Satsukawa T., Piazolo S., González-Jiménez J.M., Colás V., Griffin W.L., O’Reilly S.Y., Gervilla F., Fanlo I., Kerestedjian T.N. Fluid-present deformation aids chemical modification of chromite: insights from chromites from Golyamo Kamenyane, SE Bulgaria // Lithos. 2015. V. 228. P. 78–89.
- Saveliev D.E. Chromitites of the Kraka ophiolite (South Urals, Russia): Geological, mineralogical and structural features // Miner. Depos. 2021. V. 56 P. 1111–1132. https://doi.org/10.1007/s00126–021–01044–5
- Snethlage R., Von Gruenewaldt G. Oxygen fugacity and its bearing on the origin of chromitite layers in the Bushveld Complex // Time- and strata-bound ore deposits. Klemm D.D. and Schneider H.J., eds. Berlin: Springer-Verlag, 1977. P. 352–370.
- Shiryaev P.B., Vakhrusheva N.V. Chemical zoning of ore-forming spinels from Cr-saturated and Al-rich chromitites of the Voikaro-Syninsky massif // Известия Уральского государственного горного университета. 2021. № 2 (62). P. 39–47. https://doi.org/10.21440/2307–2091–2021–2–39–47
- Schiano P., Clocchiatti R., Lorand J.-P., Massare D., Deloule E., Chaussidon M. Primitive basaltic melt included in podiform chromites from the Oman ophiolite // Earth Planet. Sci. Lett. 1997. V. 146. P. 489–497.
- Tesalina, S.G, Nimis P., Auge T., Zaykov, V. Origin of chromite in mafic-ultramafic-hosted hydrothermal massive sulfides from the Main Uralian Fault, South Urals, Russia // Lithos. 2003. V. 70. P. 39–59.
- Woodland A.B., Kornprobst J., Tabit A. Ferric iron in orogenic lherzolite massifs and controls of oxygen fugacity in the upper mantle // Lithos. 2006. V. 89. № 1–2. P. 222–241.
- Xiong F., Zoheir Basem, Robinson P.T., Yang Jingsui, Xu X., Meng F. Genesis of the Ray-Iz chromitite, Polar Urals: Inferences to mantle conditions and recycling processes // Lithos. 2020. V. 374–375.
- https://doi.org/10.1016/j.lithos.2020.105699
- Zhang P, Zhou M, Yumul G.P. Coexistence of high-Al and high-Cr chromite orebodies in the Acoje block of the Zambales ophiolite, Philippines: Evidence for subduction initiation // Ore Geol. Rev. 2020. V. 126. 103739.
- https://doi.org/10.1016/j.oregeorev.2020.103739
- Zhou M.-F., Robinson P.T., Bai W.-J. Formation of podiform chromitites by melt/rock interaction in the upper mantle // Mineral. Deposita. 1994. V. 29. P. 98–101.
Supplementary files




















