Комплексообразованиe Au(I) в хлоридных гидротермальных флюидах
- Авторы: Тагиров Б.Р.1, Акинфиев Н.Н.1,2, Зотов А.В.1
-
Учреждения:
- Институт геологии рудных месторождений, петрографии, минералогии и геохимии РАН
- Российский государственный геологоразведочный университет имени С. Орджоникидзе
- Выпуск: Том 66, № 5 (2024)
- Страницы: 546-564
- Раздел: Статьи
- URL: https://medbiosci.ru/0016-7770/article/view/272745
- DOI: https://doi.org/10.31857/S0016777024050073
- EDN: https://elibrary.ru/abghom
- ID: 272745
Цитировать
Полный текст
Аннотация
Выполнена критическая оценка и обработка опубликованных в литературе экспериментальных данных по устойчивости гидроксо- и хлоридных комплексов Au(I). На основании полученных значений энергии Гиббса AuOH(p-p), AuCl(p-p) и AuCl2- определены стандартные значения термодинамических свойств и параметры модели HKF (Хелгесон–Киркхэм–Флауэрс) этих комплексов. Полученный набор параметров позволяет рассчитывать растворимость Au в хлоридных флюидах вплоть до 1000 °С, 5000 бар с возможностью экстраполяции на более высокие PT-параметры. В качестве геологического приложения полученных данных выполнен модельный расчет отложения самородного золота остывающим хлоридно-сульфидным флюидом с оценкой изменения состава флюида, последовательности образования твердых фаз и изменения пробности золота.
Ключевые слова
Полный текст
Комплексообразованиe Au(I) в хлоридных гидротермальных флюидах[*]
ВВЕДЕНИЕ
Хлоридные комплексы Au – основная форма переноса этого металла высокотемпературными гидротермальными флюидами (Williams-Jones et al., 2009). Количественное описание механизмов образования золоторудных месторождений основано на термодинамических моделях комплексообразования Au. Последняя компиляция значений термодинамических свойств хлоридных комплексов Au в водных растворах выполнена более двадцати лет назад (Акинфиев, Зотов, 2001). Со времени этой публикации появились работы, которые позволяют существенно расширить диапазон PT-параметров термодинамической модели (Zajacz et al., 2010; Guo et al., 2018; Sullivan et al., 2022). Сводка значений термодинамических свойств хлоридных комплексов Au (Акинфиев, Зотов, 2001) основана на экспериментальных данных (Зотов и др., 1989, 1990). Разница значений констант растворения Au с более поздней экспериментальной работой (Stefánsson, Seward, 20031) при одинаковых PT-параметрах составляет до 1.5 л.е., причем расхождение увеличивается по мере роста температуры. Эти разногласия побудили нас выполнить дополнительную работу по изучению хлоридного комплексообразования Au в промежуточной области температур и давлений, 450 °С, 500–1500 бар (Zotov et al., 2018). Результаты этой работы показали, что истинные значения растворимости Au находятся между данными (Зотов и др., 1989, 1990) и (Stefánsson, Seward, 20031), а это значит, что термодинамическая база данных (Акинфиев, Зотов, 2001) нуждается в ревизии.
В настоящей работе мы использовали наиболее надежные экспериментальные данные по растворимости Au в воде и хлоридных флюидах для определения значений термодинамических свойств гидроксо- и хлоридных комплексов этого металла. Диапазон PT-параметров, при которых выполнены эксперименты, расширен до 800−1000 °С, 2000 бар. Термодинамические свойства комплексов рассчитаны с использованием уравнения состояния EoS HKF (Хелгесон–Киркхэм–Флауэрс). Полученный набор параметров модели позволяет точно рассчитывать растворимость Au в хлоридных флюидах вплоть до 1000 °С, 5000 бар с возможностью экстраполяции на более высокие PT-параметры (например, с использованием плотностной модели Anderson et al., 1991 или расширенных версий модели HKF, Sverjensky et al., 2014; Fowler et al., 2024).
ОБЗОР ЛИТЕРАТУРНЫХ ДАННЫХ ПО ГИДРОКСО- И ХЛОРИДНОМУ КОМПЛЕКСООБРАЗОВАНИЮ Au
Определение констант устойчивости гидроксо- и хлоридных комплексов Au выполнено методами потенциометрии и растворимости.
AuOH(р-р)
Данные по устойчивости гидроксокомплекса AuOH(р-р) при стандартных условиях 25 °С, 1 бар ограничиваются одной работой (Vlassopoulos, Wood, 1990). Авторы измерили растворимость порошка Au в растворах NaOH (рН 10.5–12.7). По окончании опытов в растворах измерялись величины pH и Eh и отбирались пробы для определения Au. Результаты опытов интерпретированы с расчетом константы реакции Au(к) + 2H2O(ж) = AuOH(H2O) + H+ + e-. Авторы работ (Баранова и др., 1983) и (Зотов и др., 1985) определили растворимость Au в воде при 300–500 °С, 500, 1000 и 1500 бар. Использовалась автоклавная методика с определением концентрации металла после закалки опыта. Окислительный потенциал системы задавался буферными парами Ni–NiO и Fe3O4–Fe2O3. Кроме того, два опыта в работе (Баранова и др., 1983) выполнены с введением в систему навесок Fe и Al, которые реагируют с водой с образованием водорода. В работе (Stefánsson, Seward, 20032) измерена растворимость Au в воде и растворах NaOH (до 0.5 m, моль·(кг Н2О)-1) при 300–600 °С и давлении 500–1500 бар. В опытах использовался проточный гидротермальный реактор. Раствор, подаваемый в реактор, барботировался смесью газов H2 – Ar. На выходе из реактора отбирались пробы для определения содержания Au и H2. Содержание растворенного H2 менялось в пределах 4·10-6–4·10-4 m. Авторы работы установили, что во всей изученной области PTx параметров доминирующей формой Au является AuOH(р-р), и определили константы устойчивости этого комплекса. В работе (Zajacz et al., 2010) измерена растворимость Au в растворах NaCl, HCl и HCl+NaCl при 1000 °С, 1500 бар. Использовался метод искусственных флюидных включений в кварце, которые захватывали экспериментальный флюид при параметрах опыта. Определение золота выполнялось методом масс-спектрометрии с индуктивно-связанной плазмой и лазерным пробоотбором ЛА-ИСП-МС. Водород вводился в систему в виде смеси H2–Ar. Давление H2 при параметрах опыта оценено в 19 бар. Часть опытов выполнена с введением в систему навески серы. Ввиду отсутствия надежных значений термодинамических свойств серусодержащих частиц при высоких PT-параметрах эти данные в нашей работе не использованы. Экспериментальные данные (Zajacz et al., 2010) обработаны с одновременным расчетом значений энергии Гиббса AuOH(р-р) и AuCl2-.
AuCl(р-р)
В работе (Hutig, Williams-Jones, 2014) приводятся данные по растворимости Au в растворах HCl малой и средней плотности при 300–450 °С и давлении до 366 бар. Использовалась автоклавная методика, окислительный потенциал контролировался парой MoO2–MoO3. Полученные данные интерпретированы с расчетом реакций образования гидратированных частиц AuClx(H2O)y. Сравнение экспериментальных данных (Hutig, Williams-Jones, 2014) с данными других авторов (см. следующий раздел) показывает, что основным комплексом Au являлся AuCl(р-р) (или, более вероятно, AuCl(H2O)(р-р)).
AuCl2-
В нашей предыдущей работе (Zotov et al., 2018) путем измерения растворимости Au в растворах NaCl + HCl были получены ключевые значения констант устойчивости комплекса AuCl2- при 450 °С, 500–1500 бар. Опыты выполнены в двух системах с контрастными значениями окислительного потенциала. В восстановленной системе, при высокой летучести Н2, в автоклавы загружалась навеска Al, который при нагреве реагирует с водой с образованием Н2. В нескольких опытах измерялось давление газа после закалки. В окисленной системе редокс-потенциал задавался смесью H2SO4 + SO2. Рассчитанные константы образования AuCl2- для двух типов систем согласуются в пределах погрешности эксперимента ±0.1 л.е. Такой подход позволил устранить погрешность, связанную с неопределенностью значений окислительного потенциала. Установлено, что AuCl2- – основной комплекс золота в широком диапазоне концентрации хлоридов, от разбавленных растворов (0.1 m HCl + 0.1 m NaCl) до флюидов с высокой соленостью (0.1 m HCl + 3 m NaCl). В работе (Zotov et al., 2018) обсуждаются причины расхождения данных для AuCl2-, полученных раннее из определений растворимости Au при 300–600 °С (Зотов и др., 1989, 1990; Zotov, Baranova, 1989; Stefánsson, Seward, 20031). Разница в данных групп А. Зотова и Т. Сиварда увеличивается с ростом температуры, что не позволяет точно экстраполировать константы устойчивости комплекса в область высоких PT-параметров с использованием результатов этих работ. Поэтому рекомендовано для области промежуточных температур, к которой относятся эти работы, использовать только новые надежные данные (Zotov et al., 2018). В настоящей работе мы будем следовать этой рекомендации.
По результатам экспериментов, выполненных методом рентгеновской спектроскопии поглощения XAS с in situ регистрацией спектров, область преобладания комплекса AuCl2– расширена до концентрированных рассолов и сухого хлоридного расплава (Tagirov et al., 2019). Установлено, что комплексы с катионом щелочного металла во второй координационной сфере Au-типа MeAuCl2(р-р), Me2AuCl2+ и т. д. не образуются. Согласно данным (Zotov et al., 2018), (Tagirov et al., 2019) и результатам изучения растворимости Ag (Zotov et al., 2020), для расчета коэффициентов активности однозарядных ионов даже в концентрированных хлоридных флюидах при температуре выше 250 °C достаточно уравнения Дебая–Хюккеля во втором приближении. Расчет активности нейтральных частиц (включая растворенные газы) может быть выполнен без учета коэффициента Сеченова. Этот подход использован в настоящей работе.
В работе (Николаева и др., 1972) измерена ЭДС ячейки из золотого и хлорталлиевого электродов в хлоридном растворе, содержащем Au(I), при 25–80 °С. По результатам измерений авторы определили значения окислительно-восстановительного потенциала реакции AuCl2− + 0.5 H2(г) = Au(к) + 2 Cl− + H+. Эти данные обработаны в нашей предыдущей работе (Zotov et al., 2018) – c расчетом стандартных значений константы реакции и энергии Гиббса AuCl2–.
В работе (Gammons, Williams-Jones, 1995) определена растворимость сплава Ag-Au + AgCl(к) в растворах HCl + NaCl при 300 °С, Рнас.. Окислительный потенциал в этой системе задавался составом сплава и контролировался реакцией Agсплав + C1– + H+ + 0.25 О2(г) = AgCl(к) + 0.5 H2О. Концентрация соляной кислоты менялась от 0.1 до 5 m. Серия опытов выполнена в системе с переменным отношением концентраций HCl/NaCl, от 0.01 m HCl + 3 m NaCl до 2 m HCl + 1 m NaCl. Авторы установили, что во всех экспериментальных растворах основным комплексом Au является AuCl2−, и определили константу образования этого комплекса. Мы считаем эти данные наиболее надежными в области температур от 100 °С до критических PT-параметров H2О и будем использовать их в качестве опорной точки.
В работе (Guo et al., 2018) использован метод искусственных флюидных включений в кварце для определения растворимости Au и Au80Pd20 сплава с последующим определением концентрации металлов методом ЛА-ИСП-МС. Опыты проводились в диапазоне температур 600–800 °С при давлении 2000–2300 бар. Выполнено несколько серий опытов с растворами HCl + NaCl, HCl + H2SO4 (Na2SO4), с добавками навесок серы к хлоридным растворам. Окислительный потенциал системы либо задавался компонентами раствора, либо контролировался твердыми буферными смесями. Мы будем использовать только данные для простейшей хлоридной системы, в которой флюид содержал 3.5 мас.% HCl + 5 – 20 мас.% NaCl, а окислительный потенциал задавался буферными парами Ni–NiO, Fe3O4–Fe2O3 или MnO–Mn3O4. Параметры этих опытов 800 °С, 2000 бар.
Работа (Sullivan et al., 2022) выполнена группой, которой руководит З. Заяц, и является дальнейшим развитием экспериментального метода (Zajacz et al., 2010). Опыты выполнены при 800–1000 °С, 2000 бар. В качестве источника металлов использованы ампулы Au80Pd20. Общая концентрация хлоридов NaCl + HCl составляла от 2 до 32 m при переменном соотношении концентраций этих компонентов. Окислительный потенциал системы определялся концентрацией водорода в смеси H2 + Ar, которая задавала давление. В одном опыте использовался буфер Re–ReO2. Следует отметить особое внимание авторов к контролю окислительного состояния экспериментальной системы, что наряду с высокой надежностью аналитического ЛА-ИСП-МС метода обусловило высокое качество экспериментальных данных. Результаты апробации методики контроля давления водорода опубликованы в (Alex, Zajacz, 2020). Нами использованы все данные из работы (Sullivan et al., 2022).
МЕТОДИКА ТЕРМОДИНАМИЧЕСКИХ РАСЧЕТОВ
Детально методика термодинамических расчетов описана в ряде предыдущих публикаций (напр., Акинфиев, Зотов, 2023). Обработка экспериментальных данных и предсказание поведения частиц водных растворов в относительно плотных (ρ > 0.35 г⋅см–3) растворах и флюидах выполнено на основе уравнения состояния модели Хелгесон–Киркхэм–Флауэрс (HKF EoS, Tanger, Helgeson, 1988; Shock et al., 1989; Sverjensky et al., 1997; Shock et al., 1997).
В ряде случаев термодинамические свойства газовых частиц рассчитывались методами квантовой химии (DFT B3LYP с набором базисных функций 6-311+G(d,p) для легких атомов и псевдопотенциалом LANL2DZ для Au) с использованием пакета программ Gaussian 09W, Revision C.01 (Frisch et al., 2009). Термохимическим расчетам предшествовала процедура оптимизации структуры молекулы, при этом контролировалось отсутствие мнимых частот с помощью программы GaussView 5.
Для термодинамических расчетов использовали пакет программ HCh (Шваров, 2008). В качестве стандартного состояния для воды и твердых фаз принято чистое вещество при PT-параметрах опытов, для компонентов водного раствора – состояние идеального бесконечно разбавленного раствора, имеющего концентрацию 1 m. Коэффициенты активности ионов и нейтральных частиц рассчитывали согласно уравнению Дебая–Хюккеля во втором приближении:
, (1)
где I – ионная сила и m* – сумма моляльных концентраций всех компонентов раствора. Параметр å принят равным 4.5 Å для всех ионов. Термодинамические свойства воды приняты по (Wagner, Pruβ, 2002), OH- – по (Bandura, Lvov, 2006), частиц водного раствора Na+, Cl–, NaCl(р-р), NaOH(р-р), K+, KCl(р-р), КOH(р-р) и серусодержащих частиц согласно базе данных SUPCRT92 (Johnson et al., 1992), HCl(р-р) – по данным (Tagirov et al., 1997) (табл. 1), растворенных газов H2(р-р), O2(р-р), SO2(р-р) – по данным (Akinfiev, Diamond, 2003) (тaбл. 2). Термодинамические свойства Ni(к), NiO(к), Fe3O4(к), Fe2O3(к) и оксидов Mn приняты по (Robie, Hemingway, 1995).
Таблица 1. Стандартные термодинамические свойства (298.15 K, 1 бар) и параметры HKF EoS частиц водного раствора, принятые по литературным данным и полученные в настоящей работе
Комплекс | ∆fG°298 a | S°298 b | Cp°298 b | V298 c | a1⋅10 d | a2⋅10–2 a | a3 e | a4⋅10–4 f | c1 b | c2⋅10–4 f | ω⋅10–5 a |
HCl(р-р)h | –30411 | 0.420 | 35.74 | 16.38 | 16.1573 | –11.4311 | –46.1866 | –2.3036 | 46.4716 | –5.2811 | 0.0 |
NaCl(р-р)i | –92910 | 28.000 | 8.50 | 24.01 | 5.0363 | 4.7365 | 3.4154 | –2.9748 | 10.8000 | –1.3000 | –0.0380 |
NaOH(р-р)j | –99900 | 10.700 | –3.20 | 3.51 | 2.2338 | –2.3287 | 6.6683 | –2.6826 | 4.0146 | –3.6863 | –0.0300 |
CuCl(p-p)k | –23360 | 61.777 | –101.37 | 26.97 | 5.4552 | 5.5383 | 3.5732 | –3.0080 | –52.5985 | –23.9839 | 0.0 |
CuCl2–k | –58026 | 53.111 | –19.99 | 32.60 | 6.6297 | 8.4060 | 2.4461 | –3.1265 | 4.1186 | –7.1067 | 1.0612 |
AgOH(р-р)l | –22019 | 19.600 | –6.42 | 0.365 | 1.8149 | –3.3498 | 7.0667 | –2.6405 | 2.4041 | –4.3424 | 0.0 |
AgCl2–l | –51350 | 49.780 | –14.95 | 37.60 | 7.1327 | 9.8065 | 1.8947 | –3.1844 | 4.8953 | –6.7789 | 0.6667 |
AuOH(р-р)m | –25947 | 33.492 | 18.03 | 46.58 | 8.1395 | 12.0926 | 0.9972 | –3.2789 | 1.6058 | 8.0824 | 0.0 |
AuCl(р-р)m | –1900 | 52.2 | –71.9 | 50.8 | 8.7165 | 13.5013 | 0.4435 | –3.3371 | –35.9711 | –17.6806 | 0.0 |
AuCl2–m | –36572 | 43.500 | 9.50 | 68.52 | 11.4087 | 20.0747 | –2.1401 | –3.6089 | 16.8432 | –0.4630 | 0.7031 |
Примечание: a кал·моль–1; b кал·моль–1·K–1; c см3·моль–1; d кал·моль–1·бар–1; e кал⋅K·моль–1·бар–1; f кал⋅K·моль–1; h (Tagirov et al., 1997); i SUPCRT92, (Johnson et al., 1992); j (Shock et al., 1997); k (Trofimov et al., 2022); l (Акинфиев, Зотов, 2001); m наст. работа.
Таблица 2. Параметры уравнения AD, принятые по литературным данным (Akinfiev, Diamond, 2003)
Частица | ∆fG°298a | S°298 b | Cp°298 b | ξ | a c | b d |
H2(р-р) | 0 | 31.233 | 1.7788 + 2.79804E – 03⋅T – 1.21991E + 05⋅T-2 + + 9.80330E + 01⋅T-0.5 – 3.32194E – 07⋅T2 | 0.3090 | –8.4596 | 10.8301 |
O2(р-р) | 0 | 49.031 | 11.5480 – 1.65233E – 04⋅T + 1.193188E + 05⋅T-2 – – 1.00540E + 02⋅T-0.5 + 6.09895E – 07⋅T2 | 0.0260 | –9.7540 | 12.9411 |
SO2(р-р) | –71730 | 59.327 | 11.0400 + 1.880E – 03⋅T – 1.840E + 05⋅T-2 | –0.4295 | –14.5223 | 14.3512 |
Примечание: a кал·моль–1; b кал·моль–1·K–1; c см3·г–1; d см3·K·моль–1.
Определение значений стандартных термодинамических свойств и параметров HKF EoS выполнено в два этапа. Первый заключался в обработке исходных экспериментальных данных – растворимости Au при заданных РТ-параметрах системы в зависимости от ее химического состава. На этом этапе оптимизация значений энергии Гиббса комплексов выполнена с использованием программы OptimA (Shvarov, 2015). На втором этапе полученные данные использовались для расчета значений стандартных термодинамических свойств комплексов и параметров HKF EoS с помощью программы OptimB. Погрешности термодинамических величин отвечают доверительной вероятности 0.95, они использованы при расчете статистических весов точек (см. раздел Результаты). В случае, когда первый этап был опущен (например, для потенциометрических данных), это особо оговаривается в таблицах и при обсуждении результатов.
При моделировании отложения самородного золота термодинамические свойства силикатов и кварца приняты по (Helgeson et al., 1978) с поправками (Sverjensky et al., 1991). Расчет выполнен с учетом неидеальности сплава Au-Ag (White et al., 1957). Использовался внешний модуль Electrum.dll пакета программ HCh (Пальянова и др., 2005) и метод проточных ступенчатых реакторов, имплементированный в программу Main пакета HCh.
РЕЗУЛЬТАТЫ
Полученные значения стандартных термодинамических свойств комплексов Au и параметры HKF EoS представлены в табл. 1 вместе со вспомогательными величинами. В электронном приложении представлен файл с термодинамическими данными из табл. 1, 2 для импорта в базу данных Unitherm пакета программ HCh. Сравнение результатов обработки экспериментальных данных и модельного расчета приведено в табл. 3 (AuOH(р-р)) и табл. 4 (AuCl2–). Константы реакций растворения Au с образованием AuOH(р-р), AuCl(р-р) и AuCl2–, рассчитанные с использованием параметров HKF EoS из табл. 1, представлены в табл. 5, 6, 7.
Таблица 3. Значения энергии Гиббса ∆G°T,P, установленные в результате обработки первичных экспериментальных данных, соответствующие им константы реакции Au(к) + H2O(ж) = AuOH(р-р) + 0.5 H2(р-р) и результаты расчета по модели HKF.
t, °C | P, бар | ∆G°T,P AuOH, кДж⋅моль–1 | lg K°AuOH | Источникa | |||||
эксп. | 2σ | расч. | эксп. | 2σ | расч. | ∆ расч.-эксп. | |||
25 | 1 | –108.1 | 2.8 | –108.6 | –24.17 | 0.50 | –24.08 | 0.08 | 94VLA/WOO |
300 | 500 | –165.3 | 3.3 | –147.6 | –9.79 | 0.30 | –11.40 | –1.61 | 85ZOT MH |
400 | 500 | –164.1 | 6.4 | –163.1 | –9.26 | 0.50 | –9.34 | –0.08 | 85ZOT MH |
450 | 500 | –170.8 | 3.5 | –171.0 | –8.49 | 0.25 | –8.48 | 0.01 | 83BAR MH |
450 | 1000 | –174.0 | 4.2 | –168.6 | –8.37 | 0.30 | –8.76 | –0.39 | 83BAR MH |
450 | 1500 | –160.3 | 4.2 | –166.2 | –9.34 | 0.30 | –8.91 | 0.43 | 83BAR MH |
500 | 500 | –172.1 | 5.6 | –178.9 | –8.24 | 0.38 | –7.78 | 0.46 | 85ZOT NNO |
400 | 500 | –166.7 | 2.6 | –163.1 | –9.07 | 0.20 | –9.34 | –0.28 | 85ZOT NNO |
450 | 500 | –169.6 | 3.5 | –171.0 | –8.58 | 0.25 | –8.48 | 0.10 | 83BAR NNO |
450 | 1000 | –162.3 | 6.9 | –168.6 | –9.21 | 0.50 | –8.76 | 0.45 | 83BAR NNO |
450 | 1500 | –167.7 | 4.2 | –166.2 | –8.81 | 0.30 | –8.91 | –0.10 | 83BAR NNO |
500 | 500 | –175.1 | 3.7 | –178.9 | –8.04 | 0.25 | –7.78 | 0.25 | 85ZOT NNO |
450 | 500 | –175.5 | 0.0 | –171.0 | –8.15 | n/d | –8.48 | –0.33 | 83BAR Fe |
450 | 500 | –176.6 | 0.0 | –171.0 | –8.07 | n/d | –8.48 | –0.41 | 83BAR Al |
300 | 500 | –164.4 | 1.7 | –147.6 | –9.87 | 0.15 | –11.40 | –1.54 | 03STE/SEW |
350 | 500 | –168.2 | 1.5 | –155.3 | –9.22 | 0.13 | –10.30 | –1.08 | 03STE/SEW |
400 | 500 | –174.1 | 1.0 | –163.1 | –8.49 | 0.08 | –9.34 | –0.85 | 03STE/SEW |
450 | 500 | –174.6 | 1.4 | –171.0 | –8.22 | 0.10 | –8.48 | –0.26 | 03STE/SEW |
500 | 500 | –176.0 | 0.9 | –178.9 | –7.98 | 0.06 | –7.78 | 0.20 | 03STE/SEW |
400 | 1000 | –171.5 | 1.6 | –160.7 | –8.71 | 0.13 | –9.55 | –0.84 | 03STE/SEW |
450 | 1000 | –172.1 | 0.5 | –168.6 | –8.51 | 0.04 | –8.76 | –0.26 | 03STE/SEW |
500 | 1000 | –174.8 | 1.3 | –176.4 | –8.20 | 0.09 | –8.09 | 0.11 | 03STE/SEW |
550 | 1000 | –171.0 | 1.1 | –184.3 | –8.37 | 0.07 | –7.52 | 0.85 | 03STE/SEW |
600 | 1000 | –171.7 | 0.8 | –192.2 | –8.27 | 0.05 | –7.04 | 1.23 | 03STE/SEW |
400 | 1500 | –171.3 | 2.0 | –158.4 | –8.69 | 0.16 | –9.69 | –1.00 | 03STE/SEW |
450 | 1500 | –170.0 | 0.8 | –166.2 | –8.63 | 0.06 | –8.91 | –0.27 | 03STE/SEW |
500 | 1500 | –170.3 | 1.7 | –174.1 | –8.50 | 0.11 | –8.24 | 0.26 | 03STE/SEW |
550 | 1500 | –169.4 | 2.7 | –182.0 | –8.47 | 0.17 | –7.67 | 0.80 | 03STE/SEW |
600 | 1500 | –170.5 | 0.7 | –189.9 | –8.35 | 0.04 | –7.18 | 1.16 | 03STE/SEW |
1000 | 1500 | –257.0 | 7.7 | –254.0 | –4.94 | 0.32 | –5.07 | –0.12 | 10ZAJ |
Примечание: Курсивом выделены данные, которые не использовались при расчете параметров HKF EoS. Эксперимент (эксп.) – результат обработки экспериментальных данных в программе OptimA (наст. работа, за исключением 94VLA/WOO). Расчетные значения (расч.) получены с использованием параметров модели HKF AuOH(р-р) (табл. 1).
a 83BAR (Баранова и др., 1983); 85ZOT (Зотов и др., 1985); 94VLA/WOO (Vlassopoulos, Wood, 1990); 03STE/SEW (Stefánsson, Seward, 20032); 10ZAJ (Zajacz et al., 2010). МН – буфер магнетит-гематит, NNO – буфер никель-бунзенит; Fe – добавка навески Fe как источника H2, Al – добавка навески Al.
Таблица 4. Значения энергии Гиббса ∆G°T,P комплекса AuCl2-, установленные в результате обработки первичных экспериментальных данных, соответствующие им константы реакции Au(к) + Cl- + HCl(р-р) = AuCl2- + 0.5 H2(р-р) и результаты расчета по модели HKF.
t, °C | P, бар | ∆G°T,P AuCl2-, кДж⋅моль–1 | lg K°AuCl2- | Источникa | |||||
эксп. | 2σ | расч. | эксп. | 2σ | расч. | ∆ расч.-эксп. | |||
25 | 1 | –152.6 | 0.9 | –153.0 | –20.12 | –0.16 | –20.04 | 0.08 | 72NIK |
50 | 1 | –157.5 | 0.9 | –157.6 | –18.09 | –0.15 | –18.06 | 0.03 | 72NIK |
70 | 1 | –160.9 | 0.8 | –161.3 | –16.74 | –0.12 | –16.68 | 0.06 | 72NIK |
80 | 1 | –162.7 | 0.8 | –163.2 | –16.12 | –0.12 | –16.04 | 0.07 | 72NIK |
300 | 0 | –204.1 | 4.4 | –203.6 | –7.46 | –0.40 | –7.51 | –0.05 | 95GAM/WIL |
450 | 500 | –215.5 | 0.3 | –216.7 | –4.56 | –0.02 | –4.48 | 0.08 | 18ZOT |
450 | 1000 | –227.6 | 0.5 | –226.7 | –5.00 | –0.03 | –5.06 | –0.07 | 18ZOT |
450 | 1500 | –225.1 | 0.5 | –226.3 | –5.36 | –0.04 | –5.27 | 0.09 | 18ZOT |
750 | 1500 | –288.8 | 1.6 | –272.7 | –1.38 | –0.08 | –2.20 | –0.82 | 84RYA/ORL |
800 | 2000 | –284.1 | 0.6 | –289.0 | –2.39 | –0.03 | –2.15 | 0.24 | 18GUO |
800 | 2000 | –282.9 | 4.8 | –289.0 | –2.45 | –0.23 | –2.15 | 0.30 | 22SUL |
900 | 2000 | –308.0 | 1.0 | –307.3 | –1.62 | –0.05 | –1.65 | –0.03 | 22SUL |
1000 | 2000 | –334.4 | 5.9 | –327.0 | –0.98 | –0.24 | –1.28 | –0.30 | 22SUL |
1000 | 1500 | –318.0 | 2.1 | –316.1 | –1.13 | –0.08 | –1.21 | –0.08 | 10ZAJ |
Примечание: Эксперимент (эксп.) – значения в пересчете (Зотов и др., 2018) при 25–300 °C и результат обработки экспериментальных данных в программе OptimA (наст. работа) при 450–1000 °C. Расчетные значения (расч.) получены с использованием параметров модели HKF AuCl2– (см. табл. 1).
a 72NIK (Николаева и др., 1972) в пересчете (Zotov et al., 2018); 95GAM/WIL (Gammons and Williams-Jones, 1995) в пересчете (Zotov et al., 2018); 18ZOT (Zotov et al., 2018); 84RYA/ORL (Рябчиков, Орлова, 1984); 18GUO (Guo et al., 2018); 22SUL (Sullivan et al., 2022); 10ZAJ (Zajacz et al., 2010).
Таблица 5. Логарифм константы реакции K°(AuOH), Au(к) + H2O = AuOH(р-р) + 0.5 H2(р-р), в зависимости от температуры и давления. Расчет по данным табл. 1
t,°C | Р, бар | ||||
Pнас. | 500 | 1000 | 2000 | 5000 | |
25 | –24.08 | –24.34 | –24.59 | –25.04 | –26.24 |
50 | –22.01 | –22.26 | –22.49 | –22.92 | –24.06 |
100 | –18.67 | –18.90 | –19.12 | –19.50 | –20.51 |
150 | –16.13 | –16.34 | –16.54 | –16.89 | –17.78 |
200 | –14.14 | –14.34 | –14.52 | –14.84 | –15.64 |
250 | –12.54 | –12.73 | –12.90 | –13.19 | –13.93 |
300 | –11.22 | –11.40 | –11.57 | –11.85 | –12.53 |
350 | –10.09 | –10.30 | –10.47 | –10.74 | –11.37 |
400 | –9.34 | –9.55 | –9.81 | –10.40 | |
450 | –8.48 | –8.76 | –9.03 | –9.57 | |
500 | –7.78 | –8.09 | –8.36 | –8.87 | |
550 | –7.52 | –7.78 | –8.26 | ||
600 | –7.04 | –7.29 | –7.74 | ||
650 | –6.64 | –6.86 | –7.28 | ||
700 | –6.30 | –6.49 | –6.88 | ||
750 | –6.17 | –6.52 | |||
800 | –5.90 | –6.21 | |||
850 | –5.65 | –5.94 | |||
900 | –5.44 | –5.69 | |||
950 | –5.26 | –5.48 | |||
1000 | –5.09 | –5.28 | |||
Таблица 6. Логарифм константы реакции K°(AuCl), Au(к) + HCl(р-р) = AuCl(р-р) + 0.5 H2(р-р), в зависимости от температуры и давления. Расчет по данным Табл. 1
t,°C | Р, бар | ||||
Pнас. | 500 | 1000 | 2000 | 5000 | |
25 | –22.46 | –22.75 | –22.99 | –23.36 | –24.00 |
50 | –19.98 | –20.20 | –20.36 | –20.60 | –20.85 |
100 | –16.30 | –16.45 | –16.55 | –16.66 | –16.61 |
150 | –13.76 | –13.88 | –13.96 | –14.02 | –13.87 |
200 | –11.97 | –12.07 | –12.14 | –12.19 | –12.00 |
250 | –10.67 | –10.78 | –10.84 | –10.89 | –10.70 |
300 | –9.72 | –9.84 | –9.92 | –9.97 | –9.79 |
350 | –8.99 | –9.16 | –9.26 | –9.32 | –9.17 |
400 | –8.65 | –8.79 | –8.88 | –8.74 | |
450 | –8.23 | –8.47 | –8.58 | –8.47 | |
500 | –7.97 | –8.27 | –8.41 | –8.32 | |
550 | –8.17 | –8.33 | –8.26 | ||
600 | –8.15 | –8.32 | –8.27 | ||
650 | –8.20 | –8.38 | –8.34 | ||
700 | –8.31 | –8.48 | –8.46 | ||
750 | –8.62 | –8.61 | |||
800 | –8.80 | –8.79 | |||
850 | –9.00 | –8.99 | |||
900 | –9.22 | –9.21 | |||
950 | –9.46 | –9.45 | |||
1000 | –9.71 | –9.70 | |||
Таблица 7. Логарифм константы реакции K°(AuCl2-), Au(к) + HCl(р-р) + Сl- = AuCl2- + 0.5 H2(р-р), в зависимости от температуры и давления. Расчет по данным табл. 1
t,°C | Р, бар | ||||
Pнас. | 500 | 1000 | 2000 | 5000 | |
25 | –20.04 | –20.33 | –20.55 | –20.86 | –21.20 |
50 | –18.06 | –18.27 | –18.43 | –18.61 | –18.62 |
100 | –14.88 | –15.02 | –15.12 | –15.20 | –14.98 |
150 | –12.44 | –12.57 | –12.65 | –12.70 | –12.43 |
200 | –10.50 | –10.64 | –10.72 | –10.78 | –10.53 |
250 | –8.90 | –9.07 | –9.18 | –9.26 | –9.05 |
300 | –7.51 | –7.75 | –7.90 | –8.02 | –7.87 |
350 | –6.16 | –6.58 | –6.82 | –6.99 | –6.91 |
400 | –5.59 | –5.89 | –6.13 | –6.12 | |
450 | –4.48 | –5.06 | –5.39 | –5.46 | |
500 | –2.95 | –4.31 | –4.74 | –4.91 | |
550 | –3.61 | –4.17 | –4.43 | ||
600 | –2.98 | –3.67 | –4.02 | ||
650 | –2.45 | –3.22 | –3.66 | ||
700 | –2.06 | –2.82 | –3.35 | ||
750 | –2.47 | –3.07 | |||
800 | –2.17 | –2.82 | |||
850 | –1.90 | –2.59 | |||
900 | –1.67 | –2.38 | |||
950 | –1.46 | –2.20 | |||
1000 | –1.29 | –2.03 | |||
AuOH(р-р)
В процедуре оптимизации параметров модели HKF использовались экспериментальные данные (Vlassopoulos, Wood, 1990; Баранова и др., 1983; Зотов и др., 1985; Zajacz et al., 2010). Статистический вес точек рассчитан из погрешности экспериментальных данных как 1/(2σ). Точка 300 °С, 500 бар из работы (Зотов и др., 1985) была исключена из массива данных. При этой температуре время достижения равновесия между твердофазовым буфером (магнетит-гематит) и флюидной фазой превышает длительность опыта. Данные работы (Stefánsson, Seward 20032) не использовались, поскольку не согласуются с температурным ходом константы образования AuOH(p-p) из перечисленных выше работ.
Величина Cp°298 = 18.03 кал·моль–1·K–1 получена из изозарядной реакции (∆rCp° = 0):
AuCl2- + AgOH(р-р) = AgCl2- + AuOH(р-р). (2)
Параметр Борна ω AuOH(р-р) принимался равным 0. Начальный расчет значений свободной энергии ∆fG°298, энтропии S°298, парциального мольного объема V°298, параметров c1, c2 и a1…a4 (Cp°298 зафиксирована) выполнен путем регрессии экспериментальных значений ∆G°Т,Р с использованием корреляций по методу, предложенному (Sverjensky et al., 1997). На втором этапе выполнена оптимизация значений ∆fG°298, S°298, параметров c1, c2.
AuCl(р-р)
На начальном этапе была предпринята попытка обработать данные работы (Hurtig, Williams-Jones, 2014) с расчетом параметров модели AD (Akinfiev, Diamond, 2003). Однако последующая экстраполяция на область более высоких температур и давлений с использованием полученных параметров приводит к завышенным концентрациям этого комплекса, который становится доминирующим в области преобладания AuCl2–. Поэтому этот метод расчета значений термодинамических свойств AuCl(р-р) признан неудовлетворительным, причины обсуждаются в следующем разделе. Окончательный расчет значений термодинамических свойств этого комплекса выполнен в рамках модели HKF.
Для оценки ∆fG°298 использована обменная изозарядная реакция в предположении ∆rG° = 0:
AuCl2– + CuCl(р-р) = AuCl(р-р) + CuCl2–, ∆fG°298(AuCl) = -1900 кал⋅моль–1. (3)
Погрешность этого значения можно оценить как ±2000 кал⋅моль–1. Значения S°298, Cp°298 AuCl(р-р) получены из реакции (3).
Парциальный мольный объем оценивался следующим образом:
а) выполнялся расчет структуры AuCl2– и его термодинамических свойств в газовой фазе методами квантовой химии;
б) затем эти значения уточнялись с учетом близкодействующего взаимодействия с окружающими молекулами воды на основе метода SMD (Marenich et al., 2009). Рассчитанное таким образом значение V°298 = 50.8 см3·моль–1 практически совпадает со значением 53.08 см3·моль–1, определенным ранее по изоколумбическим реакциям (Акинфиев, Зотов, 2001). Параметры модели HKF определены по корреляциям (Sverjensky et al., 1997).
AuCl2–
Данные (Николаева и др., 1972; Gammons and Williams-Jones, 1995) использованы в перерасчете, выполненном в работе (Zotov et al., 2018). Экспериментальные данные (Ryabchikov, Orlova, 1984; Zotov et al., 2018, Guo et al., 2018; Zajacz et al., 2010; Sulullivan et al., 2022) обработаны в настоящей работе с использованием программы OptimA и принятых нами наиболее надежных значений термодинамических свойств частиц водного раствора (см. раздел Термодинамические расчеты). Статистический вес принят равным 1/(2σ) для всех точек за исключением точки (Zotov et al., 2018, 450 °С, 1000 бар), которой приписан высокий вес, равный 5. Парциальный мольный объем V°298 получен с использованием квантовохимических расчетов, метод описан в предыдущем разделе. Результаты расчета принимались равными несольватной составляющей Vn (Shock et al., 1989) парциального мольного объема этого комплекса. Значение мольного объема V298 при стандартных условиях рассчитывалось согласно (Shock et al., 1997):
. (4)
Начальный расчет значений свободной энергии ∆fG°298, энтропии S°298, параметров c1, c2 и a1…a4 выполнен путем регрессии экспериментальных значений ∆G°T,P с использованием корреляций (Sverjensky et al., 1997). Окончательная регрессия экспериментальных данных выполнена с оптимизацией значений ∆fG°298, S°298, параметров c1, c2 и ω.
ОБСУЖДЕНИЕ РЕЗУЛЬТАТОВ И ГЕОЛОГИЧЕСКОЕ ПРИЛОЖЕНИЕ
Сравнение термодинамической модели с литературными данными
В целом бóльшая часть точек, использованных при расчете параметров модели HKF, описывается с погрешностью, близкой к экспериментальной (фиг. 1 – AuOH(р-р), фиг. 2 – AuCl2–). В опытах (Hurtig, Williams-Jones, 2014) по изучению растворимости Au в растворах HCl с образованием нейтрального хлоридного комплекса окислительный потенциал задавался парой MoO2 – MoO3. Использование данных (Hurtig, Williams-Jones, 2014) приводит к сильно завышенным константам устойчивости AuCl(р-р). Мы полагаем, это связано с проблемой в контроле редокс-состояния экспериментальной системы.
Фиг. 1. Константа реакции Au(к) + H2O(ж) = AuOH(р-р) + 0.5H2(р-р), по данным из разных источников. Слева: настоящая работа (линии) и данные (Баранова и др., 1983; Зотов и др., 1985); справа – температурный ход константы от 25 до 1000 °С и все данные, использованные при расчете параметров HKF EoS. Черные линии – настоящая работа, синяя пунктирная линия – (Акинфиев, Зотов, 2001), 1500 бар.
Фиг. 2. Константа реакции Au(к) + Cl- + HCl(р-р) = AuCl2- + 0.5H2(р-р), по данным из разных источников.
Для AuCl2– отклонение расчета от экспериментальных данных близко к погрешности эксперимента для всех точек за исключением (Рябчиков, Орлова, 1984). В этой работе растворимость Au определена в двух растворах NaCl с концентрацией 1 и 4.4 m. Вероятно, расхождение связано с погрешностью расчета pH и окислительного потенциала системы. Отклонение расчета от эксперимента составило 0.82 л.е. В силу сказанного такое описание можно признать удовлетворительным. Результаты расчета с использованием наших новых данных близки к модели (Акинфиев, Зотов, 2001). При температуре до 500 °С и давлении до 2000 бар расхождение в константе растворения Au не превышает 0.34 л.е., а при 1000 °С, 5000 бар составляет 0.82 л.е., несмотря на то, что при температуре 350 °С и выше использовались разные наборы экспериментальных данных. Хорошее согласие между двумя системами значений термодинамических величин говорят о высокой предсказательной способности модели HKF и свидетельствуют в пользу надежности результатов обеих работ.
Данные работ (Зотов и др., 1989; Зотов и др., 1990; Stefánsson, Seward, 20031), не использованные при построении термодинамической модели, получены в широком интервале температур и давлений с контролем окислительного состояния системы. Результаты этих авторов сравниваются с новой термодинамической моделью на фиг. 3, 4. Как следует из фиг. 3, в работе (Зотов и др., 1990) растворимость золота завышена при 350 °С, 1000 бар, в то время как при других PT-параметрах (450, 500 °С, P=500, 1000, 1500 бар) согласие расчета с экспериментом удовлетворительное. Этим обусловлено хорошее согласие между расчетом по новой модели (см. табл. 1) и с использованием предыдущей сводки термодинамических величин (Акинфиев, Зотов, 2001). Возможной причиной завышения растворимости при относительно низкой температуре 350 °С может быть разница в скорости подхода системы к равновесным значениям окислительного потенциала и концентрации Au. В случае, если рост растворимости опережает скорость снижения редокс-потенциала, заданного реакцией навески Al c водой, измеренные после закалки опыта концентрации Au отвечают более окислительным условиям. С ростом температуры эта разница нивелируется.
Фиг. 3. Сравнение растворимости Au по данным (Зотов и др., 1990) с расчетом по модели HKF (настоящая работа, табл. 1). Данные этой работы объединены с (Зотов и др., 1989) (табл. 1 в Зотов и др., 1990). Ось ординат – отклонение результатов расчета от эксперимента, логарифмическая шкала.
Фиг. 4. Сравнение растворимости Au по данным (Stefánsson, Seward, 20031) с расчетом по модели HKF (настоящая работа, табл. 1). Ось ординат – отклонение результатов расчета от эксперимента, логарифмическая шкала.
Данные (Stefánsson, Seward, 20031) в кислой обрасти рН (AuCl2– преобладает) удовлетворительно согласуются с расчетом при 300, 350 и 400 °С. Однако в области рН от слабокислых до щелочных (AuOH(p-p) преобладает) измеренная растворимость существенно завышена: в близнейтральной и щелочной области разница составляет > 1.5 л.е., причем разница растет с ростом рН. При температуре 450–600 °С измеренная в кислых флюидах растворимость Au существенно недооценена, причем расхождение с расчетом растет по мере увеличения температуры и превышает 1.5 л.е. при 600 °С. Причина этого отклонения неясна, поскольку авторы тщательно контролировали окислительный потенциал системы. Можно лишь предположить, что в условиях высоких температур при отборе пробы с высокими концентрациями Au металл осаждался на стенке золотого капилляра. Таким образом, рассчитанные концентрации Au находятся между экспериментальными данными, полученными в группах А.В. Зотова и Т.М. Сиварда, в то время как разница в константе растворения Au, определенной в разных лабораториях, может превышать 1.5 л.е. Этот вывод говорит в пользу правильности нашего подхода к расчету термодинамических свойств AuCl2–, который в области “промежуточных” температур основан на новых данных (Zotov et al., 2018), полученных при 450 °С в системах с контрастными значениями редокс-потенциала путем определения валовой концентрации Au после закалки опыта.
На фиг. 5, 6 результаты настоящей работы сравниваются с экспериментальными данными по растворимости Au в системах с твердыми буферами рН и f(O2). В работе (Henley, 1973) измерена растворимость Au в хлоридных флюидах (0.5, 1 и 2 М NaCl) в системе с буфером калиевый полевой шпат – мусковит – кварц – гематит – магнетит при температуре 270–560 °С и давлении 1 кбар. Несколько опытов выполнено при P=2 кбар. Согласно данным, представленным на фиг. 5, при этих условиях основными формами нахождения Au являются комплексы AuOH(p-p) и AuCl2–. Растворимость Au, измеренная (Henly, 1973), существенно превышает расчет с использованием наших новых данных. По мере роста температуры отклонение эксперимента от рассчитанных линий снижается. Такое поведение можно объяснить неравновесным характером экспериментальной системы, которая состоит из мультикомпонентного твердофазового буфера и водного флюида. В этой системе можно ожидать приближения к состоянию равновесия по мере роста температуры.
Фиг. 5. Сравнение с данными (Henley, 1973) по растворимости Au в хлоридных флюидах в системе с буфером калиевый полевой шпат – мусковит – кварц – гематит – магнетит, P=1000 бар. Точки – экспериментальные данные, линии – расчет по нашим данным (см. табл. 1). Cплошная линия – общая концентрация Au, пунктир – концентрации отдельных комплексов. При расчете линий термодинамические свойства комплексов Fe приняты по SUPCRT92.
Фиг. 6. Сравнение с данными (Likhoidov et al., 2000) по растворимости Au в воде и в хлоридных флюидах. Летучесть кислорода задана оксидами Mn. Залитые символы – экспериментальные данные, полые символы, соединенные линиями – расчет по нашим данным (см. табл. 1). При расчете термодинамические свойства комплексов Mn приняты по SUPCRT92.
В работе (Likhoidov et al., 2000) растворимость Au измерялась в воде, 1m NaCl и 0.1 m HCl при 300–500 °С, P=1 кбар. Летучесть кислорода задавалась буферными парами, состоящими из оксидов Mn. Как показывает расчет (полые символы и линии на фиг. 6), во всех случаях основной формой растворенного Au является гидроксокомплекс AuOH(p-p). Поэтому рассчитанная растворимость слабо зависит от состава флюида. Вместе с тем измеренная растворимость Au сильно зависит от концентрации хлоридов, в то время как зависимость от состава буферных пар (или f(O2)) слабее полученной в расчетах. Эти отклонения можно связать как с неравновесным составом сложной экспериментальной системы, так и с погрешностью эксперимента. В частности, опыты проводились с использованием золотых ампул. Смыв со стенок ампул не проводился из-за вероятности загрязнения пробы золотом. Это могло привести к занижению экспериментальных данных относительно расчета. Дополнительным источником погрешности в работах (Henley, 1973; Likhoidov et al., 2000) может служить отсутствие надежных данных для гидроксо- и хлоридных комплексов Fe и Mn, которые сильно влияют на состав экспериментальных флюидов. По перечисленным выше причинам мы не использовали результаты этих работ для построения термодинамический модели комплексообразования Au.
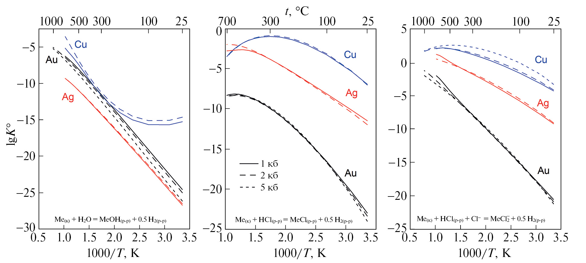
Сравнение констант реакций растворения металлов подгруппы Cu
На фиг. 7 сравниваются константы образования комплексов Сu, Ag и Au при разных температурах. Гидроксокомплексы Au и Ag ведут себя схожим образом, константа их образования растет по мере увеличения температуры. Для меди наблюдается минимум в районе 75 °С. Вероятно, наличие минимума связано с особенностями описания гидратированной частицы уравнением AD (Акинфиев, Зотов, 2023). Такое поведение не характерно для нейтральных комплексов и нуждается в проверке. Температурный ход констант образования хлоридных комплексов (MeCl(р-р), MeCl2–) закономерно меняется в ряду Au – Ag – Cu. Несмотря на то, что минимальные значения констант образования наблюдаются у Au, рост значений констант с температурой для комплексов Au выражен сильнее, чем у Ag и Cu. В результате такого поведения в области температур около 1000 °С разница в константе образования второго хлоридного комплекса Cu и Au составляет 3 л.е. Таким образом, рост температуры нивелирует разницу в поведении металлов; можно условно сказать, что золото становится менее “благородным” металлом.
Фиг. 7. Зависимость констант образования гидроксо- и хлоридных комплексов Cu, Ag, Au от температуры и давления. Au – наст. работа, AgOH(p-p), AgCl2– – (Акинфиев, Зотов, 2001), AgCl(р-р) – (Akinfiev, Zotov, 2016), CuOH(р-р) – (Акинфиев, Зотов, 2023), Cu – Cl комплексы – (Trofimov et al., 2023).
Пример возможного моделирования природных систем
В качестве примера использования полученных данных для моделирования гидротермальных процессов мы выполнили расчет состава системы, состоящей из флюида, содержащего Au и Ag, находящегося в равновесии с минеральной ассоциацией калиевый полевой шпат – мусковит (андалузит) – кварц (фиг. 8). Окислительный потенциал системы отвечает буферной паре никель – бунзенит. Температура меняется от 800 до 200 °С, давление линейно снижается от 3000 до 500 бар. Концентрация Au в исходном флюиде составляет 500 ppb (по данным (Ulrich et al., 1999) С(Au) = 790 ±390 ppb для Cu-Mo-Au порфирового месторождения Bajo de la Alumbrera), отношение концентраций Ag/Au (ppm) = 56 задано согласно (Ulrich et al., 1999). Общая концентрация хлоридов составляет 0.8 m (0.6 m NaCl + 0.2 m KCl). Концентрация серы определена как S/Cl = 0.2. Как видно из результатов расчета, при температуре 800–600 °С основным комплексом Au является AuCl2–, который при охлаждении последовательно сменяется комплексами AuOH(p-p) – AuHS(p-p) – Au(HS)2–. Для Ag ведущим является комплекс AgCl2– вплоть до 290 °С, где основной формой становится AgHS(p-p). Отложение высокопробного самородного золота начинается при 640 °С, и вплоть до 500 °С пробность составляет 990–940. В этом диапазоне температуры концентрация Au во флюидной фазе падает в ~ 40 раз. Дальнейшее охлаждение приводит к еще более сильному снижению концентрации растворенного Au, которому отвечает резкое падение пробности самородного золота вплоть до 420 при 445 °С, когда образование сплава прекращается. При более низкой температуре образуется аргентит, из-за чего концентрация растворенного Ag начинает резко снижаться. Смешанные сульфиды Au и Ag (Ag (петровскаит, ютенбогаардтит) не образуются. Таким образом, при заданном составе системы состав твердых фаз меняется в порядке высокопробное золото – низкопробное золото – аргентит.
Фиг. 8. Изменение состава флюида, образующихся твердых фаз и пробности самородного золота при охлаждении. Верх – диаграммы распределения комплексов Au и Ag в зависимости от температуры. Низ – концентрации Au и Ag в растворе и массы минералов, образовавшихся при охлаждении флюида (слева), массы минералов отвечают флюиду, содержащему 1 кг H2O); пробность самородного золота в зависимости от температуры (справа). Исходный флюид содержит 0.5 ppm Au и 28 ppm Ag, 0.016 m S, 0.6 m NaCl + 0.2 m KCl. Давление снижается от 3000 бар до 500 бар при снижении температуры от 800 до 200 °С. Окислительный потенциал задается парой никель – бунзенит (NNO). Флюид в равновесии с минеральной ассоциацией калиевый полевой шпат – мусковит (андалузит) – кварц. Границы полей устойчивости минералов (андалузит – мусковит, самородное золото – аргентит) обозначены вертикальными пунктирными линиями. Коэффициенты активности Au и Ag в самородном золоте (сплав) рассчитаны согласно (White et al., 1957).
Приведенный расчет является грубым приближением, которое показывает возможности полученной модели комплексообразования Au и лишь определяет последовательность отложения минералов золота. В частности, отложение самородного золота в модельной системе начинается при высокой температуре – 640 °С, что редко реализуется в природных системах. Более сложный расчет с использованием переменного отношения вода-порода (W/R) может быть следующим приближением к построению модели. В этом случае снижение температуры в процессе подъема (просачивания) флюидной фазы замедляет процессы взаимодействия в системе вода-порода, и этот эффект учитывается путем увеличения отношения W/R при снижении температуры. При этом относительная “скорость просачивания” задается начальным отношением (W/R)0, так что высокие значения этих отношений (малые количества породы, взаимодействующие с флюидом) физически соответствуют высоким скоростям подъема флюида, а низкие – наоборот, медленному просачиванию и соответственно высокой степени “проработки” вмещающих пород (Wood, Walter, 1983; Гричук, 2000). Детальный анализ результатов таких расчетов выходит за рамки настоящей работы. Отметим только, что рост начального отношения (W/R)0 (скорости просачивания) приводит к снижению температуры отложения самородного золота. Например, результатом роста (W/R)0 с 10 до 104 является снижение температуры отложения самородного золота на ~ 100 °С. Таким образом, при высоких значениях отношения (W/R)0 (высокие скорости подъема флюида) Au дольше удерживается в растворенной форме и отложение минералов золота происходит при более низких температурах. Такой режим отвечает подъему флюида в зонах разломов и по трещинам.
Другим фактором, приводящим к снижению температуры образования собственных минералов Au, может служить его захват отлагающимися сульфидами. В настоящее время установлены формы нахождения и предельные содержания “невидимого” золота в сульфидах разного состава в широком диапазоне температуры (напр., Trigub et al., 2017; Filimonova et al., 2020 – пирит, Kovalchuk et al., 2024 – мышьяковистый пирит и марказит, Filimonova et al., 2019 – сфалерит, Tagirov et al., 2016, 2023 – минералы системы Cu–Fe–S). Для построения более точных физико-химических моделей рудообразования с учетом отложения Au в “невидимой” форме необходимо включать в расчет растворимость Au в основных рудообразующих сульфидах. Надеемся, что настоящая работа послужит надежным и необходимым основанием при создании будущих физико-химических моделей природных процессов образования золоторудных месторождений.
БЛАГОДАРНОСТИ
Мы глубоко благодарны рецензентам М.В. Борисову и А.Ф. Редькину за критический анализ результатов нашей работы и весьма ценные замечания по тексту рукописи.
ФИНАНСИРОВАНИЕ
Работа выполнена за счет средств гранта РНФ № 23-17-00090.
[*] *Дополнительная информация для этой статьи доступна по адресу: https://doi.org/10.31857/S0016777024050073
Об авторах
Б. Р. Тагиров
Институт геологии рудных месторождений, петрографии, минералогии и геохимии РАН
Автор, ответственный за переписку.
Email: boris1t@yandex.ru
Россия, Старомонетный пер., 35, Москва, 119017
Н. Н. Акинфиев
Институт геологии рудных месторождений, петрографии, минералогии и геохимии РАН; Российский государственный геологоразведочный университет имени С. Орджоникидзе
Email: boris1t@yandex.ru
Россия, Старомонетный пер., 35, Москва, 119017; ул. Миклухо-Маклая, 23, Москва, 117997
А. В. Зотов
Институт геологии рудных месторождений, петрографии, минералогии и геохимии РАН
Email: boris1t@yandex.ru
Россия, Старомонетный пер., 35, Москва, 119017
Список литературы
- Акинфиев Н.Н., Зотов А.В. Медь в гидротермальных системах: термодинамическое описание компонентов системы Cu(I)–O–H // Геология руд. месторождений. Т. 65. № 1. С. 4–14.
- Акинфиев Н.Н., Зотов А.В. Термодинамическое описание хлоридных, гидросульфидных и гидроксокомплексов Ag(I), Cu(I) и Au(I) в диапазоне температур 25–500 °С и давлений 1–2000 бар // Геохимия. 2001. № 10. С. 1–17.
- Баранова Н.Н., Зотов А.В., Банных Л.Н., Дарьина Т.Г., Савельев Б.В. Экспериментальное изучение растворимости золота в воде при 450 °С и 500 атм в зависимости от окислительно-восстановительных условий // Геохимия. 1983. № 8. 1133–1138.
- Гричук Д.В. Термодинамические модели субмаринных гидротермальных систем // М.: Научный мир, 2000. 304 c.
- Зотов А.В., Баранова Н.Н., Дарьина Т.Г., Банных Л.Н. Растворимость золота в воднохлоридных флюидах при 350–500 °С и давлении 500–1500 атм и термодинамические свойства AuCl2- до 750°С и 5000 атм // Геохимия. 1990. № 7. С. 979–987.
- Зотов А.В., Баранова Н.Н., Дарьина Т.Г., Банных Л.Н. Экспериментальное исследование комплексообразования золота (I) в системе KCl-HCl-H2O при 450 °С и 500 атм // Геохимия. 1989. № 4. С. 541–551.
- Зотов А.В., Баранова Н.Н., Дарьина Т.Г., Банных Л.Н., Колотов В.П. Устойчивость гидроксокомплекса AuOH°p-p в воде при 300–500 °С и давлении 500–1500 атм // Геохимия. 1985. № 1. 105–110.
- Николаева Н.М., Еренбург А.М., Антипина В.А. О температурной зависимости стандартных потенциалов галогенидных комплексов золота // Изв. Сиб. Отд. АН СССP. 1972. № 9. Сер.: Хим. наук. Вып. 4. С. 126–128.
- Пальянова Г.А., Шваров Ю.В., Широносова Г.П., Лаптев Ю.В. Методические подходы к оценке пробности золота при термодинамическом моделировании гидротермальных систем // Геохимия. 2005. № 12. C. 1353–1357.
- Рябчиков И.Д., Орлова Г.П. Золото в магматических флюидах // Физико-химические модели петрогенеза и рудообразования. Новосибирск: Наука, 1984. С. 103–111.
- Шваров Ю.В. HCh: Новые возможности термодинамического моделирования геохимических систем, предоставляемые Windows // Геохимия. 2008. № 8. С. 898–903.
- Akinfiev N.N., Diamond L.W. Thermodynamic description of aqueous nonelectrolytes at infinite dilution over a wide range of state parameters // Geochim. Cosmochim. Acta. 2003. V. 67. № 4. P. 613–627.
- Akinfiev N.N., Zotov A.V. Solubility of chlorargyrite (AgCl(cr./l.)) in water: New experimental data and a predictive model valid for a wide range of temperatures (273–873 K) and water densities (0.01–1 g·cm-3) // Geochim. Cosmochim. Acta. 2016. V. 178. P. 178–194.
- Alex A., Zajacz Z. A new method to quantitatively control oxygen fugacity in externally-heated pressure vessel experiments // Eur. J. Mineral. 2020. V. 32. P. 219–234.
- Anderson G.M., Castet S., Schott J.; Mesmer R.E. The density model for estimation of thermodynamic parameters of reactions at high temperatures and pressures // Geochim. Cosmochim. Acta. 1991. V. 55. P. 1769–1779.
- Bandura A.V., Lvov S.N. The ionization constant of water over wide ranges of temperature and density // J. Phys. Chem. Ref. Data. 2006. V. 35. P. 15–30.
- Filimonova O.N, Trigub A.L., Tonkacheev D.E. et al. Substitution mechanisms in In, Au, and Cu-bearing sphalerites studied by X-ray absorption spectroscopy of synthetic and natural minerals // Mineral. Mag. 2019. V. 83. P. 435–451.
- Filimonova O.N., Tagirov B.R., Trigub A.L. et al. The state of Au and As in pyrite studied by X-ray absorption spectroscopy of natural minerals and synthetic phases // Ore Geol. Rev. 2020. V. 121. Art. № 103475.
- Fowler S.J., Sherman D.M., Brodholt J.P., Lord. O.T. Mineral–water reactions in Earth’s mantle: Predictions from Born theory and ab initio molecular dynamics study // Geochim. Cosmochim. Acta. 2024. V. 372. P. 111–123.
- Frisch M.J. et al. Gaussian 09, Revision C.01. Gaussian, Inc., Wallingford CT, 2009.
- Gammons C.H., Williams-Jones A.E. The solubility of Au-Ag alloy + AgCl in HCl/NaCl solutions at 300 °C: New data on the stability of Au(I) chloride complexes in hydrothermal fluids // Geochim. Cosmochim. Acta. 1995. V. 59. P. 3453–3468.
- Guo H., Audétat A., Dolejš D. Solubility of gold in oxidized, sulfur-bearing fluids at 500–850 °C and 200–230 MPa: A synthetic fluid inclusion study // Geochim. Cosmochim. Acta. 2018. V. 222. P. 655–670.
- Helgeson H.C., Delaney J.M., Nesbitt H.W., Bird D.K. Summary and critique of the thermodynamic properties of rock-forming minerals // Amer. J. Sci. 1978. V. 278A. P. 1 –229.
- Henley R.W. Solubility of gold in hydrothermal chloride solutions // Chem. Geol. 1973. V. 11. P. 73–87.
- Hurtig N.C., Williams-Jones A.E. An experimental study of the transport of gold through hydration of AuCl in aqueous vapour and vapour-like fluids // Geochim. Cosmochim. Acta. 2014. V. 127. P. 305–325.
- Johnson J.W., Oelkers E.H., Helgeson H.C. SUPCRT92: A software package for calculating the standard molal thermodynamic properties of minerals, gases, aqueous species, and reactions from 1 to 5000 bars and 0° to 1000 °C // Comp. Geosci. 1992. V. 18. P. 899–947.
- Kovalchuk E.V., Tagirov B.R., Borisovsky S.E. et al. Gold and arsenic in pyrite and marcasite: hydrothermal experiment and implications to natural ore-stage sulfides // Minerals. 2024. V. 14. № 2, Art. № 170.
- Likhoidov G.G., Plyusnina L.P., Scheka J.A., Aphanas’eva T.B. Experimental study of gold and platinum solubility in a complex fluid under hydrothermal conditions // Resource Geology. 2000. V. 50. № 2. P. 83–92.
- Robie R.A., Hemingway B.S. Thermodynamic properties of minerals and related substances at 298.15 K and 1 bar (105 ascals) pressure and at higher temperatures // U.S. Geological Survey Bulletin 2131. 1995. U.S. Government Printing Office, Washington.
- Shock E.L., Helgeson H C., Sverjensky D.A. Calculation of the thermodynamic properties of aqueous species at high pressures and temperatures: Standard partial molal properties of inorganic neutral species // Geochim. Cosmochim. Acta. 1989. V. 53. P. 2157–2183.
- Shock E.L., Sassani D.C., Willis M., Sverjensky D.A. Inorganic species in geologic fluids: Correlations among standard molal thermodynamic properties of aqueous ions and hydroxide complexes // Geochim. Cosmochim. Acta. 1997. V. 61. P. 907–950.
- Shvarov Yu.V. A suite of programs, OptimA, OptimB, OptimC, and OptimS compatible with the Unitherm database, for deriving the thermodynamic properties of aqueous species from solubility, potentiometry and spectroscopy measurements // Appl. Geochem. 2015. V. 55. P. 17–27.
- Stefánsson A., Seward T.M. Stability of chloridogold(I) complexes in aqueous solutions from 300 to 600°C and from 500 to 1800 bar // Geochim. Cosmochim. Acta. 20031. V. 67. P. 4559–4576.
- Stefánsson A., Seward T.M. The hydrolysis of gold (I) in aqueous solutions to 600 °C and 1500 bar // Geochim. Cosmochim. Acta. 20032. V. 67. P. 1677–1688.
- Sullivan N.A., Zajacz Z., Brenan J.M. et al. The solubility of gold and palladium in magmatic brines: Implications for PGE enrichment in mafic-ultramafic and porphyry environments // Geochim. Cosmochim. Acta. 2022. V. 316. P. 230–252.
- Sverjensky D.A., Hemley J.J., D’Angelo W.M. Thermodynamic assessment of hydrothermal alkali feldspar-mica-aluminosilicate equilibria // Geochim. Cosmochim. Acta. 1991. V. 55. P. 989–1004.
- Sverjensky D.A., Shock E.L., Helgeson H.C. Prediction of thermodynamic properties of aqueous metal complexes to 1000°C and 5 kb // Geochim. Cosmochim. Acta. 1997. V. 61. P. 1359–1412.
- Sverjensky D.A., Harrison B., Azzolini D. Water in the deep Earth: the dielectric constant and the solubilities of quartz and corundum to 60kb and 1200°C. Geochim. Cosmochim. Acta. 2014. V. 129. P. 125–145.
- Tagirov B.R., Filimonova O.N., Trigub A.L. et al. The state of gold in phases of the Cu-Fe-S system: In situ X-ray absorption spectroscopy study // Geosci. Front. 2023. V. 14. № 3. Art. № 101533.
- Tagirov B.R., Trigub A.L., Kvashnina K.O. et al. Covellite CuS as a matrix for “invisible” gold: X-ray spectroscopic study of the chemical state of Cu and Au in synthetic minerals // Geochim. Cosmochim. Acta. 2016. V. 191. P. 58–69.
- Tagirov B.R., Zotov A.V., Akinfiev N.N. Experimental study of dissociation of HCl from 350 to 500 °C and from 500 to 2500 bars: Thermodynamic properties of HCl(aq) // Geochim. Cosmochim. Acta. 1997. V. 61. P. 4267–4280.
- Tanger IV J.C., Helgeson H.C. Calculation of the thermodynamic and transport properties of aqueous species at high pressures and temperatures: Revised equations of state for standard partial molal properties of ions and electrolytes // Amer. J. Sci. 1988. V. 288. P. 19–98.
- Trigub A.L., Tagirov B.R., Kvashnina K.O. et al. X-ray spectroscopy study of the chemical state of “invisible” Au in synthetic minerals in the Fe–As–S system // Am. Mineral. 2017. V. 102. P. 1057–1065.
- Trofimov N.D., Tagirov B.R., Akinfiev N.N. et al. Chalcocite Cu2S solubility in aqueous sulfide and chloride fluids. Thermodynamic properties of copper(I) aqueous species and copper transport in hydrothermal systems // Chem. Geol. 2023. V. 625. Art. № 121413.
- Ulrich T., Günther D., C. A. Heinrich C.A. Gold concentrations of magmatic brines and the metal budget of porphyry copper deposits // Nature. 1999. V. 399. P. 676–679.
- Vlassopoulos D., Wood S.A. Gold speciation in natural waters: I. Solubility and hydrolysis reactions of gold in aqueous solution // Geochim. Cosmochim. Acta. 1990. V. 54. P. 3–12.
- Wagner W., Pruβ A. The IAPWS formulation for the thermodynamic properties of ordinary water substances for general and scientific use // J. Phys. Chem. Ref. Data. 2002. V. 31. P. 387–535.
- White J.L., Orr R.L., Hultgren R. The thermodynamic properties of silver-gold alloys // Acta Metallurgica. 1957. V. 5. № 12. P. 747–760.
- Williams-Jones A., Bowell R.J., Migdisov A.A. Gold in solution // Elements. 2009. V. 5. P. 281–287.
- Wood B.J., Walther J.V. Rates of hydrothermal reactions // Science. 1983. V. 222. № 4622. P. 413–415.
- Zajacz Z., Seo J.H., Candela P.A., Piccoli P.M., Heinrich C.A., Guillong M. Alkali metals control the release of gold from volatile-rich magmas // Earth Planet. Sci. Lett. 2010. V. 297. P. 50–56.
- Zotov A.V., Baranova N.N. Thermodynamic properties of the aurochloride complex AuCl2- at temperatures of 350–500 °С and pressures of 500–1500 bars // Sci. Géol., Bull. 1989. V. 42. № 4. P. 335–342.
- Zotov A.V., Diagileva D.R., Koroleva L.A. Silver solubility in supercritical fluids in a wide range of NaCl concentration (0.6–50 wt%) – experimental and thermodynamic description // ACS Earth Space Chem. 2020. V. 4. № 12. P. 2403–2413.
- Zotov A.V., Kuzmin N.N., Reukov V.L., Tagirov B.R. Stability of AuCl2- from 25 to 1000 °C at pressures to 5000 bar and consequences for hydrothermal gold mobilization // Minerals. 2018. V. 8. № 7. Art. № 286.
Дополнительные файлы










