Forbush Decreases Associated with Coronal Holes, Coronal Ejections from Active Regions, and Filament Ejections: Comparison in Solar Cycles 23 and 24
- Authors: Melkumyan A.A.1, Belov A.V.1, Abunina M.A.1, Shlyk N.S.1, Abunin A.A.1, Oleneva V.A.1, Yanke V.G.1
-
Affiliations:
- Pushkov Institute of Terrestrial Magnetism, the Ionosphere, and Radio Wave Propagation, Russian Academy of Sciences (IZMIRAN)
- Issue: Vol 63, No 5 (2023)
- Pages: 581-598
- Section: Articles
- URL: https://medbiosci.ru/0016-7940/article/view/134748
- DOI: https://doi.org/10.31857/S0016794023600394
- EDN: https://elibrary.ru/UDXKMY
- ID: 134748
Cite item
Full Text
Abstract
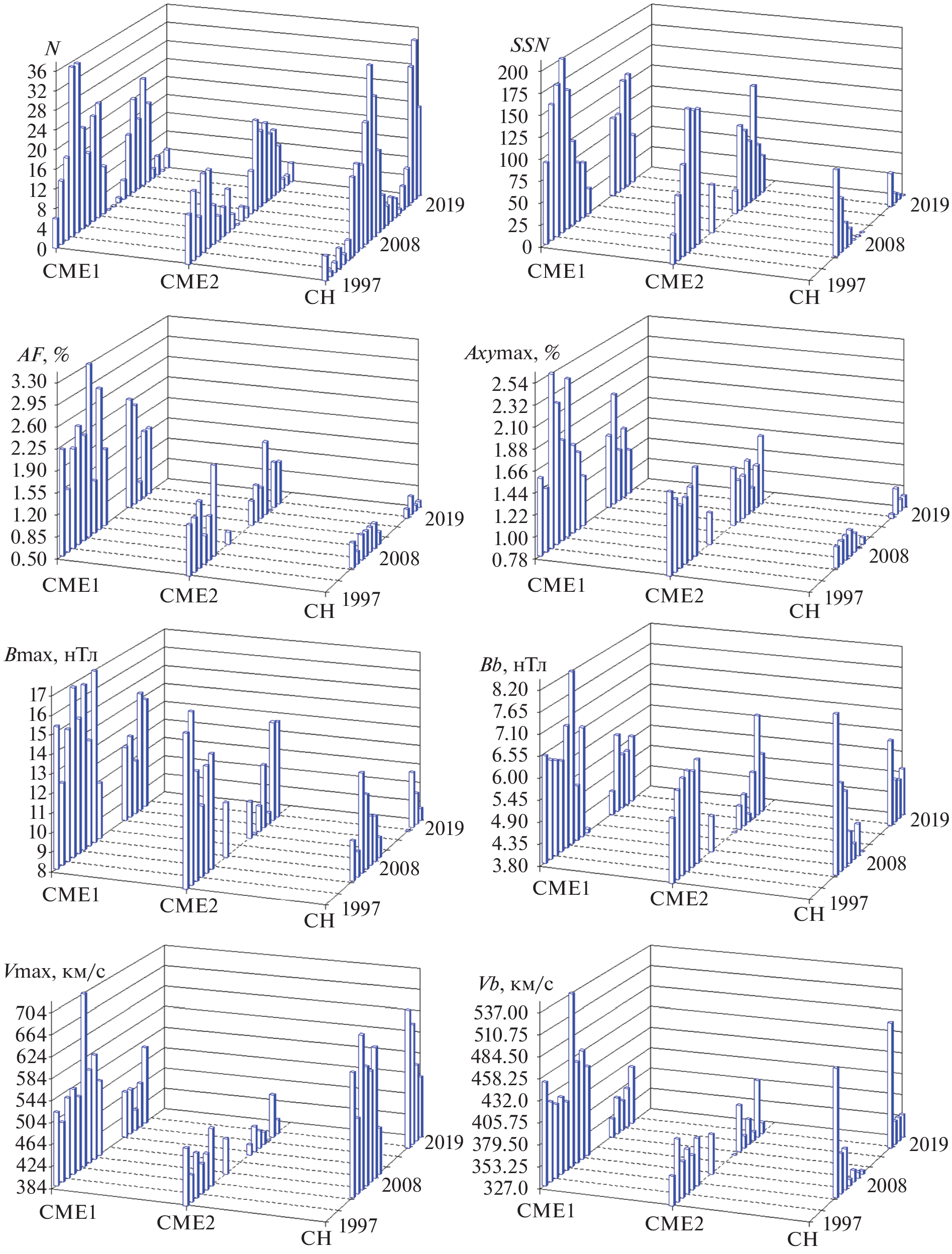
In this paper, we study the similarities and differences of Forbush decreases in solar cycles 23 and
24. Groups of events associated with various types of solar sources were analyzed: coronal mass ejections from
active regions accompanied by solar flares (CME1 group), filament ejections outside active regions (CME2
group), and high-velocity streams from coronal holes (CH group). The distributions and relations of various
parameters were studied: the amplitude of Forbush decreases, the maximum values of the hourly decrease in
the cosmic ray density, the equatorial cosmic ray anisotropy, the solar wind velocity, and the magnetic field
strength, as well as the values of the solar wind velocity and the magnetic field strength 1 hour before the onset
of the Forbush decrease during the event. The results showed that the number of events, parameter values,
and their relations depend on the phase and cycle of solar activity. In the 24th cycle, the number of events in
the CME1 group decreased, did not change in CME2, and increased in CH. The values of the parameters
and the difference between them in various groups of events are higher in cycle 23, which is characterized by
greater asymmetry and long “tails” of distributions. The magnitude of the Forbush decreases in the CME1
group in cycle 23 depends more strongly on the solar wind velocity while, in cycle 24, on the magnetic field
strength, as in the CME2 group in both solar cycles. Multiple linear regression describes the dependences of
the parameters of Forbush reductions in the CME1 and CME2 groups in the 23rd cycle and in the CME1
group in the 24th cycle well.
About the authors
A. A. Melkumyan
Pushkov Institute of Terrestrial Magnetism, the Ionosphere, and Radio Wave Propagation,Russian Academy of Sciences (IZMIRAN)
Email: amelkum@izmiran.ru
Moscow, Troitsk, 142191 Russia
A. V. Belov
Pushkov Institute of Terrestrial Magnetism, the Ionosphere, and Radio Wave Propagation,Russian Academy of Sciences (IZMIRAN)
Email: abelov@izmiran.ru
Moscow, Troitsk, 142191 Russia
M. A. Abunina
Pushkov Institute of Terrestrial Magnetism, the Ionosphere, and Radio Wave Propagation,Russian Academy of Sciences (IZMIRAN)
Email: abunina@izmiran.ru
Moscow, Troitsk, 142191 Russia
N. S. Shlyk
Pushkov Institute of Terrestrial Magnetism, the Ionosphere, and Radio Wave Propagation,Russian Academy of Sciences (IZMIRAN)
Email: abunina@izmiran.ru
Moscow, Troitsk, 142191 Russia
A. A. Abunin
Pushkov Institute of Terrestrial Magnetism, the Ionosphere, and Radio Wave Propagation,Russian Academy of Sciences (IZMIRAN)
Email: abunina@izmiran.ru
Moscow, Troitsk, 142191 Russia
V. A. Oleneva
Pushkov Institute of Terrestrial Magnetism, the Ionosphere, and Radio Wave Propagation,Russian Academy of Sciences (IZMIRAN)
Email: abunina@izmiran.ru
Moscow, Troitsk, 142191 Russia
V. G. Yanke
Pushkov Institute of Terrestrial Magnetism, the Ionosphere, and Radio Wave Propagation,Russian Academy of Sciences (IZMIRAN)
Author for correspondence.
Email: abunina@izmiran.ru
Moscow, Troitsk, 142191 Russia
References
- – Абунин А.А., Абунина М.А., Белов А.В., Ерошенко Е.А., Оленева В.А., Янке В.Г. Форбуш-эффекты с внезапным и постепенным началом // Геомагнетизм и аэрономия. Т. 52. № 3. С. 313–320. 2012.
- – Белов А.В., Ерошенко Е.А., Янке Г.В, Оленева В.А., Абунина М.А., Абунин А.А. Метод глобальной съемки для мировой сети нейтронных мониторов // Геомагнетизм и аэрономия. Т. 58. № 3. С. 374–389. 2018. https://doi.org/10.7868/S0016794018030082
- – Гущина Р.Т., Белов А.В., Ерошенко Е.А., Обридко В.Н., Паорис Е., Шельтинг Б.Д. Модуляция космических лучей на фазе роста солнечной активности 24-го цикла // Геомагнетизм и аэрономия. Т. 54. № 4. С. 470–476. 2014. https://doi.org/10.7868/S0016794014040063
- – Крайнев М.Б., Калинин М.С., Аслам О.П.М., Нгобени М.Д., Потгитер М.С. О солнечных минимумах 20/21–24/25 и зависимости максимальной интенсивности галактических космических лучей от гелиосферных факторов // Изв. РАН. Сер. физическая. Т. 85. № 10. С. 1509–1512. 2021. https://doi.org/10.31857/S0367676521100197
- – Крымский Г.Ф., Кузьмин А.И., Кривошапкин П.А., Самсонов И.С., Скрипин Г.В., Транский И.А., Чирков Н.П. Космические лучи и солнечный ветер. Новосибирск: Наука, 224 с. 1981.
- – Мелкумян А.А., Белов А.В., Абунина М.А., Абунин А.А., Ерошенко Е.А., Оленева В.А., Янке В.Г. Основные свойства форбуш-эффектов, связанных с высокоскоростными потоками из корональных дыр // Геомагнетизм и аэрономия. Т. 58. № 2. С. 163–176. 2018а. https://doi.org/10.7868/S0016794018020025
- – Мелкумян А.А., Белов А.В., Абунина М.А., Абунин А.А., Ерошенко Е.А., Оленева В.А., Янке В.Г. Долгопериодные изменения количества и величины Форбуш-эффектов // Геомагнетизм и аэрономия. Т. 58. № 5. С. 638–647. 2018б. https://doi.org/10.1134/S0016794018050103
- – Мелкумян А.А., Белов А.В., Абунина М.А., Абунин А.А., Ерошенко Е.А., Оленева В.А., Янке В.Г. Рекуррентные и спорадические Форбуш-понижения в 23-ем и 24-ом солнечных циклах // Солнечно-земная физика. Т. 5. № 1. С. 39–47. 2019. https://doi.org/10.12737/szf-51201904
- – Мелкумян А.А., Белов А.В., Абунина М.А., Шлык Н.С., Абунин А.А., Оленева В.А., Янке В.Г. Сходство и различие Форбуш-понижений, связанных с потоками из корональных дыр, волоконными выбросами и выбросами из активных областей // Геомагнетизм и аэрономия. Т. 62. № 3. С. 283–301. 2022. https://doi.org/10.31857/S0016794022030117
- – Aslam O.P.M., Badruddin B. Study of cosmic-ray modulation during the recent unusual minimum and mini-maximum of solar cycle 24 // Solar Phys. V. 290. № 8. P. 2333–2353. 2015. https://doi.org/10.1007/s11207-015-0753-5
- – Belov A.V. Forbush effects and their connection with solar, interplanetary and geomagnetic phenomena / Proc. IAU Symposium. Eds. N. Gopalswamy, D.F. Webb. Cambridge: Cambridge University Press. V. 4. № S257. P. 439–450. 2008. https://doi.org/10.1017/S1743921309029676
- – Belov A.V., Eroshenko. E.A., Oleneva V.A., Struminsky A.B., Yanke V.G. What determines the magnitude of Forbush decreases? // Adv. Space Res. V. 27. № 3. P. 625–630. 2001. https://doi.org/10.1016/S0273-1177(01)00095-3
- – Burlaga L., Sittler E., Mariani F., Schwenn R. Magnetic loop behind an interplanetary shock: Voyager, Helios, and IMP 8 observations // J. Geophys. Res. – Space. V. 86. № 8. P. 6673–6684. 1981. https://doi.org/10.1029/JA086iA08p06673
- – Cane H.V. Coronal mass ejections and Forbush decreases // Space Sci. Rev. V. 93. № 1–2. P. 55–77. 2000. https://doi.org/10.1023/A:1026532125747
- – Forbush S.E. On the effects in the cosmic-ray intensity observed during magnetic storms // Phys. Rev. V. 51. P. 1108–1109. 1937. https://doi.org/10.1103/PhysRev.51.1108.3
- – Gopalswamy N., Akiyama S., Yashiro S., Mäkelä P. Coronal mass ejections from sunspot and non-sunspot regions / Magnetic Coupling between the Interior and the Atmosphere of the Sun. Eds. S. Hasan, R. Rutter / Astrophysics and Space Science Proceedings. Berlin, Heidelberg: Springer. P. 289−307. 2010. https://doi.org/10.1007/978-3-642-02859-5_24
- – Gopalswamy N., Akiyama S., Yashiro S., Xie H., Mäkelä P., Michalek G. The mild space weather in solar cycle 24 / Proc. 14th International Ionospheric Effects Symposium on “Bridging the gap between applications and research involving ionospheric and space weather disciplines”. Alexandria, VA, 2015. P. 1–8. 2015. https://doi.org/10.48550/arXiv.1508.01603
- – Gopalswamy N., Akiyama S., Yashiro S., Michalek G., Xie H., Makelea P. Effect of the weakened heliosphere in solar cycle 24 on the properties of coronal mass ejections // J. Phys.: Conf. Ser. V. 1620. № 1. ID 012005. 2020. https://doi.org/10.48550/arXiv.1508.01603
- – Iucci N., Parisi M., Storini M. et al. Forbush decreases: origin and development in the interplanetary space // Nuovo Cimento C. V. 2. № 1. P. 1–52. 1979. https://doi.org/10.BF02507712
- – King J.H., Papitashvili N.E. Solar wind spatial scales in and comparisons of hourly Wind and ACE plasma and magnetic field data // J. Geophys. Res. – Space. V. 110. № 2. ID A02104. 2005. https://doi.org/10.1029/2004JA010649
- – Lingri D., Mavromichalaki H., Belov A., Eroshenko E., Yanke V., Abunin A., Abunina M. Solar activity parameters and associated Forbush decreases during the minimum between cycles 23 and 24 and the ascending phase of cycle 24 // Solar Phys. V. 291. № 3. P. 1025–1041. 2016. https://doi.org/10.1007/s11207-016-0863-8
- – Lockwood J. A. Forbush decreases in the cosmic radiation // Space Sci. Revs. V. 12. № 5. P. 658–715. 1971. https://doi.org/10.1007/BF00173346
- – Matzka J., Stolle C., Yamazaki Y., Bronkalla O., Morschhauser A. The geomagnetic Kp index and derived indices of geomagnetic activity // Space Weather. V. 19. № 5. ID e2020SW002641. 2021. https://doi.org/10.1029/2020SW002641
- – Melkumyan A.A., Belov A.V., Abunina M.A., Shlyk N.S., Abunin A.A., Oleneva V.A., Yanke V.G. Forbush decreases associated with coronal mass ejections from active and non-active regions: statistical comparison // Mon. Not. R. Astron. Soc. V. 515. № 3. P. 4430–4444. 2022a. https://doi.org/10.1093/mnras/stac2017
- – Melkumyan A.A., Belov A.V., Abunina M.A., Shlyk N.S., Abunin A.A., Oleneva V.A., Yanke V.G. Development of Forbush decreases associated with coronal ejections from active regions and non-active regions // Geomagn. Aeronomy. V. 22. Suppl. 1. P. S40–S53. 2022b. https://doi.org/10.1134/S0016793222600394
- – Paouris E., Mavromichalaki H., Belov A., Gushchina R., Yanke V. Galactic cosmic ray modulation and the last solar minimum // Solar Phys. V. 280. № 1. P. 255–271. 2012. https://doi.org/10.1007/s11207-012-0051-4
- – Parker E.N. Interplanetary dynamical processes. N.Y.: Interscience Publishers, 272 p. 1963.
- – Patel B.D., Joshi B., Cho K.-S., Kim R.-S., Moon Y.-J. Near-earth interplanetary coronal mass ejections and their association with DH type II radio bursts during solar cycles 23 and 24 // Solar Phys. V. 297. № 10. ID 139. 2022. https://doi.org/10.1007/s11207-022-02073-7
- – Richardson I.G. Energetic particles and corotating interaction regions in the solar wind // Space Sci. Rev. V. 111. № 3. P. 267–376. 2004. https://doi.org/10.1023/B:SPAC.0000032689.52830.3e
- – Shi X., Fu H., Huang Z., Ma C., Xia L. The Solar Cycle Dependence of In Situ Properties of Two Types of Interplanetary CMEs during 1999–2020 // Astrophys. J. V. 940. № 2. ID 103. 2022. https://doi.org/10.3847/1538-4357/ac9b20
- – Thakur N. Smaller Forbush decreases in solar cycle 24: Effect of the weak CME field strength? / American Geophysical Union, Fall Meeting 2015. ID SH23A-2428. 2015.
- – Yermolaev Yu.I., Lodkina I.G., Khokhlachev A.A. et al. Drop of solar wind at the end of the 20th century // J. Geophys. Res. – Space. V. 126. № 9. ID e29618. 2021. https://doi.org/10.1029/2021JA029618
- – Yermolaev Yu.I., Lodkina I.G., Khokhlachev A.A. et al. Dynamics of large-scale solar-wind streams obtained by the Double Superposed Epoch Analysis: 5. Influence of the solar activity decrease // Universe. V. 8. № 9. ID 472. 2022. https://doi.org/10.3390/universe8090472
Supplementary files








