Effects of electromagnetic wave propagation over the Caribbean from satellite broadband data
- Authors: Kapustina О.V.1, Gydook V.I.1
-
Affiliations:
- Pushkov Institute of Terrestrial Magnetism, Ionosphere and Radio Waves Propagation, Russian Academy of Sciences
- Issue: Vol 65, No 2 (2025)
- Pages: 197-205
- Section: Articles
- URL: https://medbiosci.ru/0016-7940/article/view/292527
- DOI: https://doi.org/10.7868/S3034502225020054
- EDN: https://elibrary.ru/CXCYAH
- ID: 292527
Cite item
Abstract
To study electromagnetic signals and search for functional connections with sources of disturbances of natural and anthropogenic origin, digital equivalents of recording observations in the frequency range from 20 Hz to 20 kHz on satellites over the Caribbean are used. Graphs of the dependence of the number of signals per minute on time along the satellite orbit are plotted. Fractionally dispersed whistlers at frequencies below 1 kHz (ELF fdw) ranged from 30 to 100% of the total number of fdw. This estimate coincides with the results of ground-based observations of the ELF atmospherics (“tails”) under different conditions. There was an increased frequency of occurrence of fdw and ELF fdw during the action of typhoons in the Pacific Ocean, especially at the stage of depression, and hurricanes in the Atlantic, in the area located on both sides of the meridian passing through the Brazilian anomaly. These results are confirmed by the work of other researchers.
Full Text
1. ВВЕДЕНИЕ
Для исследования электромагнитных сигналов и поиска функциональных связей этих сигналов с источниками возмущений природного и антропогенного характера, а также возможностей диагностики окружающей среды используются наблюдения на спутниках. Далее приводится описание спутников, данные которых были использованы в работе.
Спутник Интеркосмос-24 (Проект “Активный”) был запущен 28 сентября 1989 г. на орбиту с параметрами: высота перигея ~500 км, высота апогея ~2500 км. Наклонение орбиты к плоскости экватора составляло 82.6°, период обращения вокруг Земли – Т ~ 115.8 мин. Для приема электромагнитных сигналов использован УНЧ/ОНЧ бортовой приборный комплекс АНЧ-2МЕ как в широкой полосе (8 Гц−20 кГц), так и на узкополосных фильтрах с центральными частотами 8, 20, 33, 50, 75, 150, 225, 430, 625, 970 Гц; 9 и 15 кГц. Описание аппаратуры и обзор некоторых результатов проведенных исследований опубликованы в работах [Molchanov et al., 1993; Mikhailova et al., 2000], а также в статье [Михайлов, 2015] и в книге [Михайлов, 2018; Mikhailov, 2020].
Спутник Ореол-3 (советско-французский проект “АРКАД 3”) был запущен 21 декабря 1981 г. на орбиту с параметрами: высота апогея 2000 км, высота перигея − 410 км. Наклонение орбиты к плоскости экватора составляло 82.5°. Опубликованы исследования характеристик КНЧ (f = 10−1500 Гц) шумовых излучений в связи с землетрясениями [Larkina et al., 1984]. Экспериментальные результаты сравнивались с теоретическими расчетами характеристик распространения КНЧ электромагнитных волн в многокомпонентной ионной плазме, характерной особенностью которых является наличие затухания на или ниже локальной частоты протонов [Rauch et al., 1984].
Спутник Космос-1809 (К-1809) был запущен на круговую орбиту с апогеем 980 км, перигеем 950 км, наклонением 82.5° 18 декабря 1986 г. В июне−июле 1992 г. на станции, расположенной в Гаване (Куба), проводилась регистрация аналоговой ОНЧ информации со спутника в области широт 0÷50°N и долгот 64°÷100°W. Регистрировались сигналы от молниевых разрядов, вызванных тайфунами в Карибском районе, которые сопровождались необычно высокой грозовой активностью [Sobolev et al., 1998; Соболев и др., 2006].
Генерируемые молниевыми разрядами частично-диспергированные свистящие атмосферики (ч. д. СА) с дисперсией D ~ 5 и максимумом на частоте 2.5 кГц, распространяющиеся по короткому пути из волновода Земля–ионосфера до высот спутника, были зарегистрированы над Индонезией 29.11.2006 г. 05:00:00 UT (~13 LT) на спутнике Вулкан-Компасс-2 [Кузнецов и др., 2011]. В работах Группы исследования космоса при университете Этваша (Будапешт, Венгрия) [Ferencz et al., 2009] было высказано предположение о возможности распространения в дактах мод высоких порядков. Это предположение было подтверждено на основании расчетов распространения свистов с учетом полного волнового уравнения. Рассматривалась замагниченная плазма, в которой распределение электронной плотности образует вокруг Hx-компоненты магнитного поля концентрический волновод, в котором возможно распространение мод высоких порядков – “луковичная структура”.
Возможности диагностики приземной плазмы по спутниковым наблюдениям ОНЧ-КНЧ явлений, в частности протонных свистящих атмосфериков (ПСА), подробно изложены в книге [Лихтер и др., 1988]. Наблюдение протонных свистов начались с первыми полетами спутников, имеющих на борту аппаратуру измерения электромагнитных волн в ОНЧ-КНЧ диапазоне [Gurnett et al., 1965, 1966]. Теория трансформации электронной волны в ионную дана в работе [Будько и Рябов, 1977]. Теоретическое обоснование методики определения температуры протонов представлено в работе [Будько, 1979], пример диагностики приведен в работе [Budko et al.,1980], а также в работе [Михайлова и Капустина, 1979]. Анализ данных ПСА, полученных на спутнике DEMETER, представлен в работе [Shklyar et al., 2012] и докладе [Шкляр и др., 2012], где показаны также ранние спектрограммы ПСА из работ [Gurnett et all, 1965; Gurnett and Shawhan, 1966] и работы [Watanabe and Ondoh, 1976] с предельной частотой ПСА ~300 Гц.
В предлагаемой работе основное внимание было направлено на исследование особенностей распространения электромагнитных сигналов, а именно: частично диспергированных свистящих атмосфериков в диапазоне частот ниже 1 кГц (ч. д. КНЧ СА), зарегистрированных над Карибским бассейном.
2. МЕТОДИКА ОБРАБОТКИ И АНАЛИЗ ДАННЫХ
Пункт приема спутниковой информации, возглавляемый Сильвио Гонзалес Родригес, сотрудником института геофизики и астрономии, ИГА-Агентства по охране окружающей среды, АООС (Institute of Geophysics and Astronomy, IgA. Environment Agency, Instituto de Geofísica y Astronomía, IGA. Agencia del Medio Ambiente, AMA), находился в Гаване (Куба): 23°08’12"N, 82°21’32"W. Аналоговые широкополосные записи в диапазоне частот от 20 Гц до 20 кГц сохранялись на магнитной пленке с использованием магнитофона “Ростов”. Далее эти записи воспроизводились на аналогичном магнитофоне и через звуковую карту с помощью программы “SoundForge” в формате “*.wav” c частотой оцифровки 48 кГц вводились в компьютер и сохранялись на диске. Первичная обработка состояла в последовательном вычислении спектров на интервале Dt ~ 0.02 с и построении динамических спектров по ~20 с а экране монитора ПК. При такой обработке фиксировались события в диапазоне частот выше f = 1/Dt = 1/0.02 = 50 Гц. Во время просмотра этих кадров подсчитывалось количество в минуту разного типа сигналов, а затем были построены графики зависимости от времени.
3. РЕЗУЛЬТАТЫ НАБЛЮДЕНИЙ
На рис. 1 приведены динамические спектры разных типов исследуемых сигналов, а именно: частично диспергированные свистящие атмосферики (СА) и ч. д. КНЧ СА (fmax < 1 kHz), протонные СА (ПСА) (а), СА (whistlers) (б), сложный СА с эхо СА (в), дуплет ч. д. СА (г).
Рис. 1. Примеры динамических спектров: (а, б) − ч. д. СА+ ч. д. КНЧ СА; (в) – ПСА; (г)− СА.
На рис. 2 представлены графики зависимости числа сигналов в минуту от времени вдоль орбиты спутника Интеркосмос-24 (ИК-24) на витках 5337 (а); 5338 (б); 5375 (в); 5851 (г); 9413 (д). В табл. 1 внесены дата и время начала приема и результаты анализа данных.
Рис. 2. Зависимость от времени числа сигналов в минуту, n(t) вдоль орбиты спутника ИК-24 на витках: (а) – 5337; (б) – 5338; (в) – 5375; (г) – 5851; (д) − 9413. Сплошная толстая линия и черные точки – ч. д. СА, тонкая линия и крестики – ч. д. КНЧ СА, прерывистая линия и полые кружочки – ПСА, пунктирная линия и полые квадратики – СА разного типа.
Таблица 1. Характеристики ОНЧ-КНЧ событий, наблюдаемых на спутнике ИК-24
Виток | Дата | Начало регистрации, Московское время | Местное время (LT) | Общее число событий и относительно ч. д. СА* | |||
ч. д. СА | ч. д. КНЧ | ПСА | СА | ||||
5337 | 01.12.1990 | 10:56:50 | ~03 (ночь) | 258 | – | 72 (28%) | 16 (6%) |
5338 | 01.12.1990 | 12:52:05 | ~05 (ночь) | 491 | – | 86 (~18%) | 16 (3%) |
5375 | 04.12.1990 | 12:15:20 | ~04 (ночь) | 400 | – | 54 (~14%) | 2 |
5851 | 01.01.1991 | 19:45:17 | ~12 (день) | 113 | 33 (37%) | – | – |
9413 | 24.10.1991 | 16:40 | ~09 (утро) | 90 | 88 (79%) | – | – |
Примечание.* В таблицу внесено суммарное количество обнаруженных событий каждого типа за время пролета спутника в зоне видимости пункта приема. В скобках в процентах показано количество соответствующих событий относительно количества частично диспергированных свистящих атмосфериков (ч. д. СА) на этом интервале.
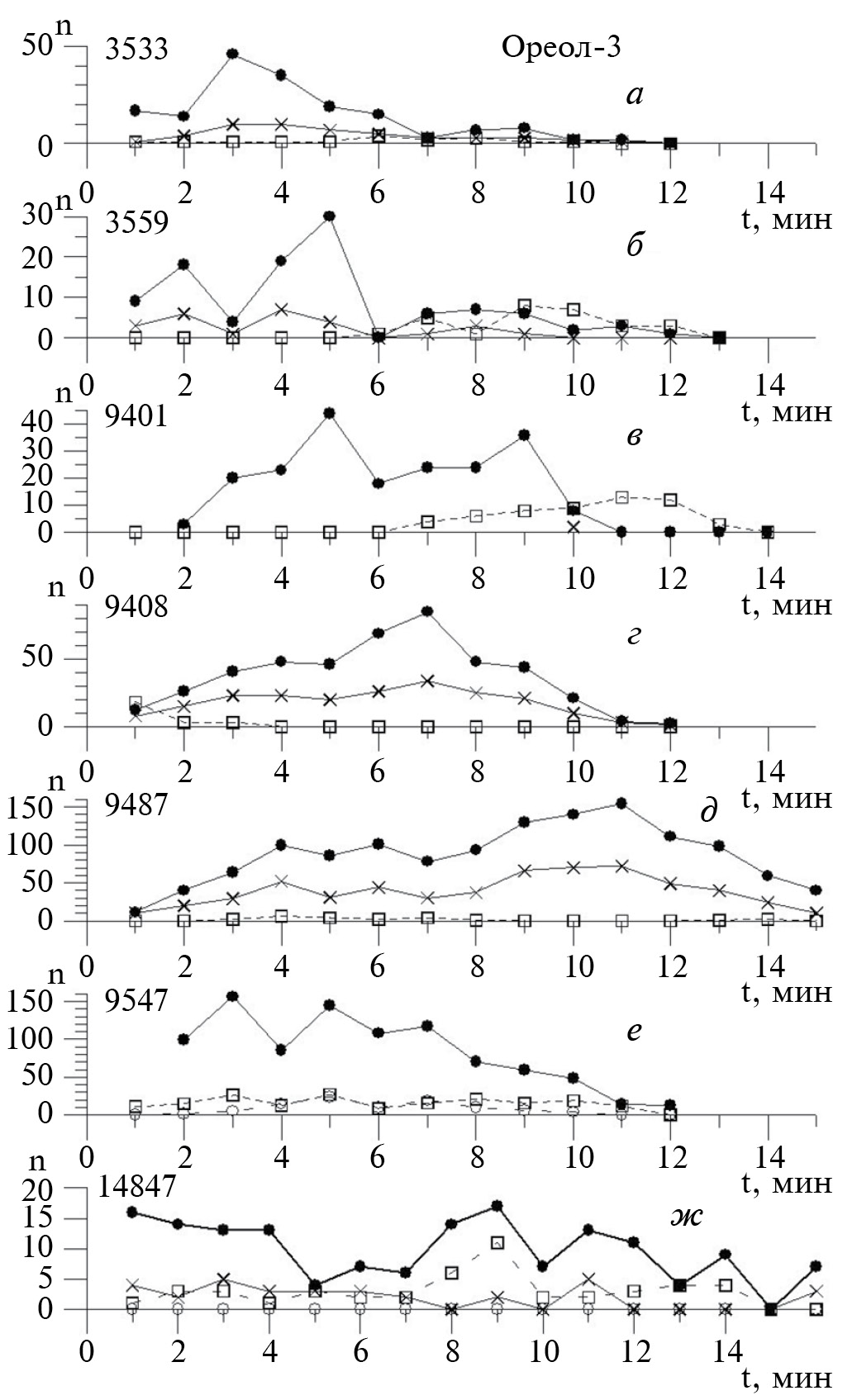
Построены аналогичные графики (рис. 3) по данным спутника Ореол-3 на витках 3533 (а), 3559 (б), 9401 (в), 9408 (г), 9487 (д), 9547 (е), 14847 (ж), а в табл. 2 содержится такая же информация, что и в табл. 1. Карта Карибского региона представлена на рис. 4, где квадратиками показаны места действия ураганов в Атлантическом океане во время прохождения спутника над ними. Кружочками на этом же рисунке показаны места действия тайфунов в Тихом океане. Цифры у этих пунктов соответствуют обозначениям на картах ресурса “U.S. DEPARTMENT OF COMMERCE, NATIONAL WEATHER SERVICE NORT ATLANTIC HURRICANE TRACKING CHART”.
Рис. 3. То же, что на рис. 2 для спутника Ореол-3 на витках: (а) − 3533; (б) − 3559; (в) − 9401; (г) − 9408; (д) − 9487; (е) − 9547; (ж) − 14847.
Таблица 2. Характеристики ОНЧ-КНЧ событий, наблюдаемых на спутнике Ореол-3
Виток | Дата | Начало регистрации, Mocковское время | Местное время (LT) | Общее число событий и относительно ч. д. СА* | |||
ч. д СА | ч. д. КНЧ | ПСА | СА | ||||
3533 | 16.06.1982 | 16:33:30 | ~09 (утро) | 168 | 49 (29) | – | 16 (10%) |
3559 | 18.06.1982 | 15:51:15 “2” | ~08 (утро) | 105 | 26 (25) | – | 28 (~28%) |
9401 | 03.09.1983 | 12:44:55 | ~05 (утро) | 204 | 2 (1) | – | 55 (27%) |
9408 | 04.09.1983 | 02:06:55 | ~19 (вечер) | 446 | 209 (47) | – | 21 (~5%) |
9487 | 10.09.1983 | 01:20:15 “3а” | ~16 (вечер) | 1304 | 584 (45) | – | 2 |
9547 | 14.09.1983 | 13:29:30 “3б” | ~05 (утро) | 928 | ? | 67 (~7) | 178 (~20%) |
14847 | 18.10.1984 | 14:15:45 “11” | ~06 (утро) | 155 | 29 (20) | 3 | (~30%) |
Примечание.
- См. Примечание* к табл. 1.
- Пометка с номером “ ” в графе “Начало регистрации” указывает на наличие урагана в Атлантическом океане во время пролета спутника.
- Координаты и стадия циклона: “2” ‒ 27° N, 85° W STD no name 1982 г. “3а” ‒ 30° N, 65° W TD Shantal 1983 г. “3б” ‒ 40° N, 50° W TS Shantal. “11” ‒ 44° N, 57° W TS Josefine 1984 г.
Рис. 4. В правой части рисунка квадратики показывают ураганы в Атлантическом океане во время пролета спутника Ореол-3. Надпись вверху справа − координаты и стадия циклонов, связанных с витками, помеченными цифрами в табл. 2. В левой части – кружочки – это тайфуны в Тихом океане во время пролета спутника Космос-1809. Надпись вверху слева ‒ координаты и стадия циклонов, связанных с витками, помеченными цифрами в табл. 3.
На рис. 5 построены графики по данным спутника Космос-1809 на витках 6316 (а), 16387 (б), 16986 (в), 21221 (г), 21222 (д), 23090 (е), 27961 (ж), а в табл. 3 содержится информация, аналогично табл. 1 и табл. 2.
Рис. 5. То же, что на рис. 2 для спутника Космос-1809 на витках: (а) − 6316; (б) − 16387; (в) − 16986; (г) −21221; (д) − 21222; (е) − 23090, (ж) − 27961.
Таблица 3. Характеристики ОНЧ-КНЧ событий, наблюдаемых на спутнике Космос-1809
Виток | Дата | Начало регистрации, | LT | Общее число событий и относительно ч. д.* | |||
ч. д. СА | ч. д. КНЧ, (%) | ПСА | СА | ||||
6295 | 17.03.1988 | 00:30:10 | 46 | 13 (28) | – | 2 | |
6316 | 19.03.1988 | 12:20:20 | 72 | 15 (21) | 1 | 8 | |
6330 | 20.03.1988 | 12:39:10 | 49 | 11 (22) | – | 8 | |
6336 | 20.03.1988 | 23:42:17 | 3 | – | – | 3 | |
6344 | 21.03.1988 | 12:56:25 | 1 | – | – | – | |
6357 | 22.03.1988 | 11:32:15 | 46 | ? | – | 5 | |
11018 | 22.02.1989 | 11:49:00 | 8 | 4 | – | – | |
16381 | 17.03.1990 | 14:24:16 | 43 | 40 (93) | – | – | |
16387 | 18.03.1990 | 01:26:35 | 665 | 220 (33) | 17(2.5) | 4 | |
16442 | 22.03.1990 | 10:57:50 | 61 | 40 (55) | – | 4 | |
16986 | 30.04.1990 | 10:05:49 | 33 | 11 (33) | – | 17 | |
16992 | 30.04.1990 | 21:08:22 | 321 | 40 (12) | – | 122 (38) | |
21221 | 02.03.1991 | 849 | 145 (17) | – | 16 | ||
21222 | 02.03.1991 | 405 | 40 (10) | – | 29 | ||
21227 | 03.03.1991 | 06:43 | 290 | 21 (7) | – | 59 | |
21228 | 03.03.1991 | 08:27:49 | 32 | 18 (56) | – | – | |
21332 | 10.03.1991 | 59 | 13 (22) | – | 7 | ||
21345 | 11.03.1991 | 44 | 22 (50) | – | 44 | ||
21351 | 12.03.1991 | 187 | 49 (26) | – | 52 | ||
21352 | 12.03.1991 | 32 | 8 (25) | – | 17 | ||
23051 | 13.07.1991 | 10:24 UT | 06 | 7 | 5 | – | – |
23090 | 16.07.1991 | 07:51 UT “5” | 03 | 100 | 100 | – | 6 |
23091 | 16.07.1991 | 05:36:55 cub “5” | 05 | 638 | ? | – | 136 (21) |
27871 | 02.06.1992 | 04:22 UT “2” | 00 | 1771 | 1771 | – | – |
27953 | 26.06.1992 | “3” | 681 | 26 (4) | – | 75 | |
27960 | 02.07.1992 | 10:12:53 “4” | 16 | 8 | – | 64 | |
27961 | 02.07.1992 | 11:57:30 “4” | 167 | 46 (28) | 1 | 5 | |
Примечание.
- См. Примечание* к табл. 1.
- Пометка с номером “ ” в графе “Начало регистрации” указывает на наличие тайфуна в Северо-Восточной части Тихого океана во время пролета спутника.
- Координаты и стадия циклона согласно данным на картах: “5” 10-12° N, 117° W 1991 г. “2” 17° N, 112° W TD 1992 г. “3” 11° N, 95°W TD 1992 г. “4” 12°N, 97°W TD 1992 г.
- К сожалению, не ко всем виткам есть пояснения, какое время указано, так как мы работаем с архивными данными, а журнала наблюдений у нас нет. Однако нас интересуют статистические характеристики и отсутствие точного времени не критично.
4. ОБСУЖДЕНИЕ РЕЗУЛЬТАТОВ
В зимнее время ночью на витках спутника ИК-24 5337 (рис. 2а), 5338 (рис. 2б) и 5375 (рис. 2в) наблюдалось достаточно большое количество ч. д. СА, а именно ~50‒80 импульсов в минуту, а также серия ПСА 10−15 сигналов в минуту и до 5 СА в минуту. Относительное количество протонных свистов составляет 14−28% от числа электронных за весь сеанс приема, причем уменьшается ближе к утру. Задержка ионной ветви по отношению к электронной составляет порядка 2 с, что согласуется с оценкой в работах [Шкляр и др., 2012; Shklyar et al., 2012]. Частота максимума ПСА приближается к 300 Гц, как и в работе [Watanabe and Ondoh, 1976], однако не совпадает с данными, представленными в работе [Будько и др., 1980], которые были получены на спутнике Интеркосмос-5, а также в работе [Шкляр и др., 2012] по данным спутника DEMETER. Протонные свисты наблюдались также на витке 9547 спутника Ореол-3 летом в ночное время, и относительное их количество составило в среднем ~7%. На спутнике Космос-1809 из проанализированных ~30 пролетов можно было видеть только 17 событий ПСА на витке 16387 и по одному на витках 6316 и 27961.
Днем на витке 5851 спутника ИК-24 и в утреннее время на витке 9413 количество атмосфериков (ч. д. СА) значительно меньше, чем ночью (в 2−4 раза). Сигналы с максимумом в спектре ниже 1 кГц (ч. д. КНЧ СА), которые в наземных исследованиях называют “хвосты”, на витке 5851 составили до 30% по отношению к общему числу разрядов, а на витке 9413 почти все 100% (табл. 1). Эта оценка совпадает с результатами наземных наблюдений в разных условиях [Hepburn, 1957; Tepley, 1959; Дружин и др., 2023]. Большое количество атмосфериков (~1300 имп/мин) наблюдалось 10.09.1983 на витке 9487 спутника Ореол-3 в вечернее время во время действия урагана “3” на стадии тропической депрессии и несколько меньше (~930 имп/мин) утром 13:29.30 на витке 9547, когда циклон перешел в стадию тропического шторма. Повышенная активность ч. д. атмосфериков наблюдалась также на спутнике Космос-1809 18.03.1990 на витке 16387 (~650 имп/мин), а также 02.03.1991 на витке 21221 (~850 имп/мин), 16.07.1991 на витке 23091 (~650 имп/мин) во время действия тайфуна “5”, 02.06.1992 на витке 27871 (1770 имп/мин) во время действия тайфуна “2” на стадии тропической депрессии и 01.07.1992 на витке 27953 (~680 имп/мин) во время действия тайфуна “3” на стадии тропической депрессии (табл. 3 и рис. 4). Количество “хвостов” варьируется в широких пределах от нескольких до 100 процентов.
Свистящие атмосферики (СА) наблюдались, в основном, ночью, что соответствует как теории, так и данным опубликованных наблюдений [Helliwell, 1963; Лихтер и др., 1988]: на спутнике ИК-24 (до 16 за сеанс), на Ореол-3 (от 20 до 178) и на спутнике Космос-1809 от единиц до 136.
5. ЗАКЛЮЧЕНИЕ
- Широкополосные записи электромагнитных наблюдений в диапазоне частот от 20 Гц до 20 кГц, выполненные на спутниках во время пролета над Карибским бассейном и записанные на магнитофон Ростов в пункте приема Гавана, оцифрованы c частотой 48 кГц.
- Первичная обработка 54 файлов данных, записанных на диске компьютера, показала, что в записях спутника Ореол-3 (7), Интеркосмос-24 (5), Космос-1809 (42) наблюдались несколько различных типов сигналов, источниками которых могут быть молниевые разряды.
- Частично-диспергированные свистящие атмосферики (ч. д. СА) были видны в любое время суток, причем ночью их количество было значительно больше и особенно во время действия тропических циклонов на стадии депрессии.
- Протонные СА (ПСА) были обнаружены в ночное время на спутнике Интеркосмос-24 (до 30%), на спутнике Ореол-3 на витке 9547 (67%), Космос-1809 на витке 16387 (2.5%). Во всех случаях предельная частота стремилась к ~300 Гц.
- Ч. д. КНЧ СА (fmax < 1 kHz), так называемые “хвосты” наблюдались в дневное и утреннее время на спутниках ИК-24 (5851 и 9413), Ореол-3 на всех витках, К-1809 почти на всех витках.
- СА (whistlers), а также эхо СА и дуплеты ч. д. СА наблюдались на спутнике ИК-24 ночью в небольшом количестве (до 6%), на Ореол-3 – утром и вечером до 30%, а на К-1809 почти на всех витках.
В дальнейшем предполагается сопоставить свойства КНЧ атмосфериков в спутниковых и наземных данных.
БЛАГОДАРНОСТИ
Авторы благодарят операторов и Сильвио Гонзалес Родригес ‒ руководителя приемного центра в Гаване за качественный прием и сохранение спутниковых данных.
ФИНАНСИРОВАНИЕ РАБОТЫ
Работа выполнена в рамках Государственного задания “Исследование структуры и динамики ионосферы и условий распространения радиоволн”, ГР № 01201356396.
About the authors
О. V. Kapustina
Pushkov Institute of Terrestrial Magnetism, Ionosphere and Radio Waves Propagation, Russian Academy of Sciences
Author for correspondence.
Email: olkap@izmiran.ru
Russian Federation, Moscow, Troitsk
V. I. Gydook
Pushkov Institute of Terrestrial Magnetism, Ionosphere and Radio Waves Propagation, Russian Academy of Sciences
Email: olkap@izmiran.ru
Russian Federation, Moscow, Troitsk
References
- Будько Н.И. Об амплитудном спектре ионно-циклотронных свистящих атмосфериков вблизи ионной гирочастоты // Геомагнетизм и аэрономия. Т. 19. № 2. С. 363−365. 1979.
- Будько Н.И. Амплитудный спектр ионно-циклотронных свистящих атмосфериков вблизи ионной гирочастоты в верхней ионосфере. В сборнике: Низкочастотные волны и сигналы в магнитосфере Земли. Сборник статей. ответственный редактор: Я.И. Лихтер; АН СССР. ИЗМИР. Москва, 1980. С. 81−87.
- Будько Н.И., Рябов Б.С. О трансформации электронной волны в ионную в многокомпонентной плазме при квазипродольном распространении // Геомагнетизм и аэрономия. Т. 17. № 4. С. 751–753. 1977.
- Дружин Г.И., Малкин Е.И., Капустина О.В. Атмосферики, связанные со спрайтами, по КНЧ/ОНЧ-наблюдениям на п-ове Камчатка // Геомагнетизм и аэрономия. Т. 63. № 5. С. 657–666. 2023. https://doi.org/10.31857/S001679402260051X
- Кузнецов В.Д., Боднар Л., Гарипов Г.К., Данилкин В.А., Дегтярь В.Г., Докукин В.С., Корепанов В.Е., Михайлов Ю.М. и др. Орбитальный мониторинг ионосферы и аномальных явлений // Геомагнетизм и аэрономия. Т. 51. № 3. С. 333−345. 2011.
- Лихтер Я.И., Гульельми А.В., Ерухимов Л.М., Михайлова Г.А. Волновая диагностика приземной плазмы. М.: Наука. С. 86–122. 1988.
- Михайлов Ю.М. Экспериментальные исследования генерации и распространения ультра-крайне-очень низкочастотных электромагнитных волн в околоземном космическом пространстве. В сборнике Электромагнитные и плазменные процессы от недр Солнца до недр Земли. Юбилейный сборник ИЗМИРАН-75. Москва. С. 185−200. 2015.
- Михайлов Ю.М. Низкочастотные электромагнитные волны. Космические и наземные эксперименты / LAP LAMBERT Academic Publishing RU. 91 c. 2018.
- Михайлова Г.А., Капустина О.В. Определение температуры протонов во внешней ионосфере по амплитудным спектрам протонных свистящих атмосфериков (ИСЗ Интеркосмос-5). Геомагнетизм и аэрономия. Т. 19. № 3. С. 564. 1979.
- Соболев Я.П., Михайлов Ю.М. Регистрация на ИСЗ “Космос-1809” и “Интеркосмос-24” ОНЧ явлений, вызванных циклонами в Карибском районе. Четвертая всероссийская открытая ежегодная конференция Современные проблемы дистанционного зондирования из космоса. ИКИ РАН. Тезисы докладов. IV.D.17.2006.
- Шкляр Д.Р., Иржичек Ф., Немец Ф., Парро М., Сантолик О., Стори Л.Р.О., Титова Е.Е., Хум Я. Спектральные характеристики ионно-циклотронных волн, возбуждаемых молниевыми разрядами на низких широтах. Наблюдения на спутнике DEMETER и численное моделирование. Физика плазмы в солнечной системе, 6−10 февраля 2012 г. ИКИ РАН, Москва.
- Budko N.I., Kapustina O.V., Mikhailova G.A. Determination of the proton temperature in the outer ionosphere from the amplitude spectra of proton whistling atmospherics (Intercosmos-5) // Artificial Satellites. V. 15. № 3. P. 194‒198. 1980.
- Gurnett D.A. Shawhan S.D., Brice N.H., Smith R.L. Ion Cyclotron Whistlers // J.Geophys. Res. 70. № 7. 1665. 1965.
- Gurnett D.A., Shawhan S.D. Determination of Hydrogen Ion Concentration, Electron Density, and Proton Gyrofrequency from the Dispersion of Proton Whistlers // J.Geoph.Res. 71. № 3. 741. 1966.
- Helliwell R.A. Whistlers and related ionospheric phenomena. Palo Alto Calif. Stanford Univ.Press. 1965. 350 p.
- Hepburn F. Atmospheric waveforms with very low-frequency components below 1 kc/s known as slow tails. J. Atm. Terr. Phys. V/10. № 5. P. 266−287. 1957.
- Larkina V.I., Migulin V.V., Mogilevsky M.M., Molchanov O.A., Galperin Yu.I., Jorjio N.V., Gokhberg M.B., Lefeuvre F. Earthquake effects in the ionosphere according to Intercosmos 19 and Aureol 3 satellite data // Results of THE ARCAD 3 PROJECT and of the recent programmes in magnetospheric and ionospheric physics Toulouse 84 CNES CEPADUES-EDITIONS. France, Toulouse. P. 685−699. 1984.
- Mikhailov Yu. Low frequency electromagnetic waves. Space and ground experiments. Second edition / LAP LAMBERT Academic Publishing RU. 91 p. 2020.
- Mikhailova G.A., Mikhailov Yu.M., Kapustina O.V. ULF-VLF electric fields in the external ionosphere over powerful typhoons in Pacific Ocean // International Journal of Geomagnetism and Aeronomу. V. 2. № 2. P. 153‒158. 2000.
- Molchanov O.A., Mazhaeva O.A., Golyavin A.N., Hayakava M. Observation by the Intercosmos-24 satellite of ELF/VLF electromagnetic emission associated with earthquakes // Annales Geophysicae. V. 11. P. 431−440. 1993.
- Rauch J.L., Boud’ko N.I., Mikhailova G.A., Kapustina O.V. Attenuation bands and cut off frequencies for ELF electromagnetic waves // Results of the ARCAD 3 PROJECT and of recent programmes in magnetosphere and ionosphere physics. Toulouse 1984. Toulouse: Cepadues-editions. P. 465−483. 1985.
- Shklyar D.R., Storey L.R.O., Chum J., Jirícek F., Nemec F., Parrot M., Santolik O., and Titova E.E. Spectral features of lightning-induced ion cyclotron waves at low latitudes: DEMETER observations and simulation, J. Geophys. Res. 117. A12206. 2012. https://doi.org/10.1029/2012JA018016
- Sobolev Ya.P., Mikhailov Yu.M. Typhoons in Caribbean region registered on satellites in VLF band // Geomagnetic field and ionosphere variations. Proc. of Second INDO-RUSSIAN Symposium on Nature and Variations of the Geomagnetic Field. Moscow, 28–31 July 1997 / Ed. Kanonidi Kh., Ruzhin Yu.Ya: IZMIRAN. P. 230−231. 1998.
- Tepley L.R. A comparison of sferics as observed in the VLF and ELF bands // J. Geophys. Research. V.64. № 12. P. 2315−2329. 1959.
Supplementary files
Note
In the print version, the article was published under the DOI: 10.31857/S0016794025020054







