Study of the Slow Pyrolysis of Lignin, Hemicellulose, and Cellulose and the Effect of Their Interaction in Plant Biomas
- Autores: Zaichenko V.M.1, Lavrenov V.A.1, Faleeva Y.M.1
-
Afiliações:
- Joint Institute of High Temperatures, Russian Academy of Sciences
- Edição: Nº 6 (2023)
- Páginas: 66-74
- Seção: Articles
- URL: https://medbiosci.ru/0023-1177/article/view/232860
- DOI: https://doi.org/10.31857/S0023117723060105
- EDN: https://elibrary.ru/BSGBTS
- ID: 232860
Citar
Texto integral
Resumo
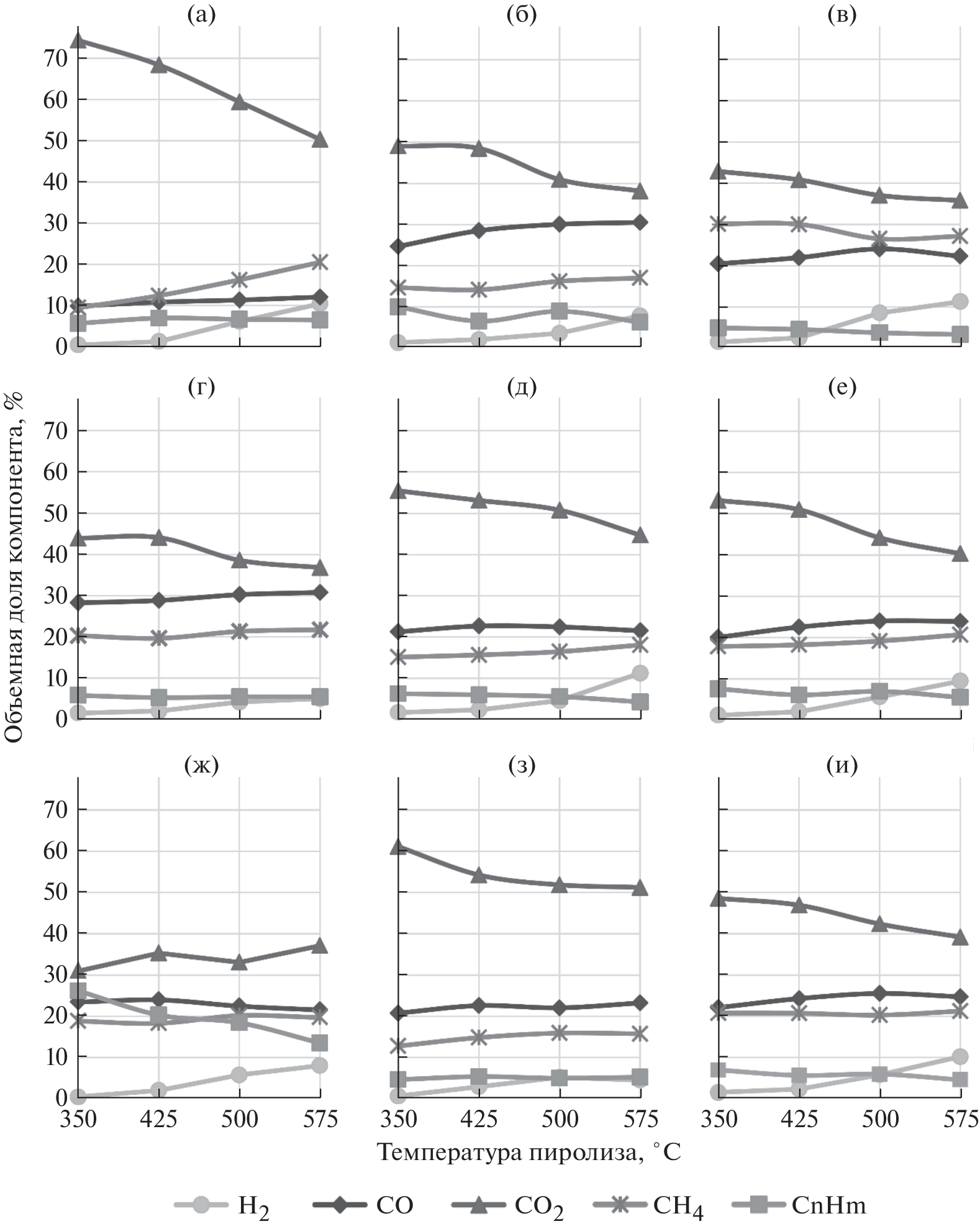
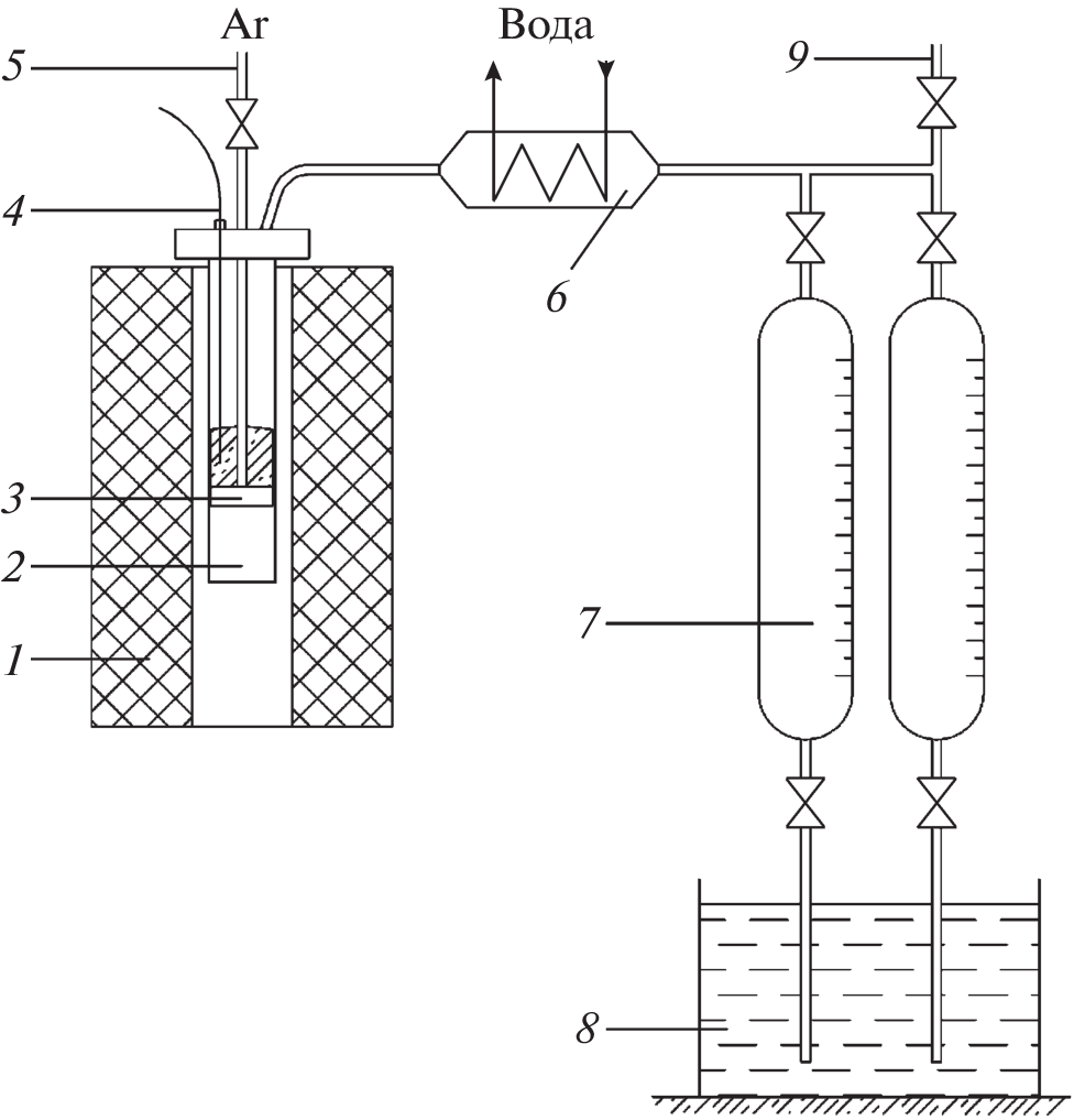
The pyrolysis of two types of raw materials of plant origin (sawdust and sunflower husks), components of the organic matter of biomass (hemicellulose, cellulose, and lignin), and model mixtures prepared
from components in accordance with their fractions in the raw materials was studied. Pyrolysis of the materials was carried out using TGA and a laboratory setup with a fixed bed reactor. The distribution and composition of the products were determined at pyrolysis temperatures of 350, 425, 500, and 575C. Experimental data obtained with the biomass samples and model mixtures were compared with calculated values obtained based on the pyrolysis of individual components and their fractions in the biomass. The possibility of predicting the distribution of pyrolysis products depending on the component composition was investigated. The
influence of intercomponent interaction in biomass on the yield and composition of pyrolysis products was revealed.
Palavras-chave
Sobre autores
V. Zaichenko
Joint Institute of High Temperatures, Russian Academy of Sciences
Email: zaitch@oivtran.ru
Moscow, 125412 Russia
V. Lavrenov
Joint Institute of High Temperatures, Russian Academy of Sciences
Email: v.a.lavrenov@gmail.com
Moscow, 125412 Russia
Yu. Faleeva
Joint Institute of High Temperatures, Russian Academy of Sciences
Autor responsável pela correspondência
Email: faleeva.julia@mail.ru
Moscow, 125412 Russia
Bibliografia
- Bhattacharjee N., Biswas A.B.J. // Environ. Chem. Eng. 2019. V. 7. № 1. P. 102903. https://doi.org/10.1016/j.jece.2019.102903
- Diblasi C. // Prog. Energy Combust. Sci. 2008. V. 34. № 1. P. 47. https://doi.org/10.1016/j.pecs.2006.12.001
- Wu Y., Gui Q., Zhang H., Li H., Li B., Liu M., Chen Y., Zhang S., Yang H, Chen H. // J. Anal. Appl. Pyrolysis. 2023. V. 173. P. 106039. https://doi.org/10.1016/j.jaap.2023.106039
- Demirbaş A. // Energy Convers. Manag. 2000. V. 41. № 6. P. 633. https://doi.org/10.1016/s0196-8904(99)00130-2
- Lam M.K., Khoo C.G., Lee K.T. // Biofuels from Algae. Elsevier, 2019. Ch. 19. P. 475. https://doi.org/10.1016/b978-0-444-64192-2.00019-6
- Zhou H., Long Y., Meng A., Li Q., Zhang Y. // Thermochim. Acta. 2013. № 566. P. 36. https://doi.org/10.1016/j.tca.2013.04.040
- Yu J., Paterson N., Blamey J. Millan M. // Fuel. 2017. V. 191. P. 140. https://doi.org/10.1016/j.fuel.2016.11.057
- Burhenne L., Messmer J., Aicher T., Laborie M.-P. // J. Anal. Appl. Pyrolysis. 2013. V. 101. P. 177. https://doi.org/10.1016/j.jaap.2013.01.012
- Chua Y.W., Wu H., Yu Y. // Proc. Combust. Inst. 2021. V. 38. № 3. P. 3977. https://doi.org/10.1016/j.proci.2020.08.014
- Anwar Z., Gulfraz M., Irshad M. // J. Radiat. Res. Appl. Sci. 2014. V. 7. № 2. P. 163. https://doi.org/10.1016/j.jrras.2014.02.003
- Raveendran K., Ganesh A., Khilar K.C. // Fuel. 1996. V. 75. P. 987. https://doi.org/10.1016/0016-2361(96)00030-0
- Senneca O., Cerciello F., Russo C., Wütscher A., Muhler M., Apicella B. // Fuel. 2020. V. 271. P. 117656. https://doi.org/10.1016/j.fuel.2020.117656
- Yang H., Yan R., Chen H., Lee D.H., Zheng C. // Fuel. 2007. V. 86. № 12–13. P. 1781. https://doi.org/10.1016/j.fuel.2006.12.013
- Orfão J.J.M., Antunes F.J.A., Figueiredo J.L. // Fuel. 1999. V. 78. № 3. P. 349. https://doi.org/10.1016/s0016-2361(98)00156-2
- Wu Y., Zhao Z., Li H., He F. // J. Fuel Chem. Technol. 2009. V. 37. P. 427. https://doi.org/10.1016/s1872-5813(10)60002-3
- Reyes L., Abdelouahed L., Mohabeer C., Buvat J.C., Taouk B. // Energy Convers. Manag. 2021. V. 244. P. 114459. https://doi.org/10.1016/j.enconman.2021.114459
- Couhert C., Commandre J.-M., Salvador S. // Fuel. 2009. V. 88. № 3. P. 408. https://doi.org/10.1016/j.fuel.2008.09.019
- Sun C., Tan H., Zhang Y. // Renew. Energy. 2023. V. 205. P. 851. https://doi.org/10.1016/j.renene.2023.02.015
- Gani A., Naruse I. // Renew. Energy. 2007. V. 32. № 4. P. 649. https://doi.org/10.1016/j.renene.2006.02.017
- Zhu X., Liu M., Sun Q., Ma J., Xia A., Huang Y., Zhu X., Liao Q. // Fuel. 2022. V. 327. P. 125141. https://doi.org/10.1016/j.fuel.2022.125141
- Батенин В.М., Бессмертных А.В., Зайченко В.М., Косов В.Ф., Синельщиков В.А. // Теплоэнергетика. 2010. № 11. С. 36. [Thermal Engineering, 2010, vol. 57, no. 11, p. 946. https://doi.org/10.1134/S0040601510110066]
Arquivos suplementares







