Noncovalent Stabilization of Water-Soluble Zinc Phthalocyaninate in Graphene Oxide Hydrosol
- Authors: Nugmanova A.G.1, Gorshkova A.I.2, Yagodin A.V.1, Averin A.A.1, Kalinina M.A.1
-
Affiliations:
- Frumkin Institute of Physical Chemistry and Electrochemistry, Russian Academy of Sciences, 119071, Moscow, Russia
- Department of Materials Sciences, Moscow State University, 119991, Moscow, Russia
- Issue: Vol 85, No 6 (2023)
- Pages: 781-794
- Section: Articles
- Submitted: 25.12.2023
- Published: 01.11.2023
- URL: https://medbiosci.ru/0023-2912/article/view/231814
- DOI: https://doi.org/10.31857/S0023291223600700
- EDN: https://elibrary.ru/XTLVXB
- ID: 231814
Cite item
Full Text
Abstract
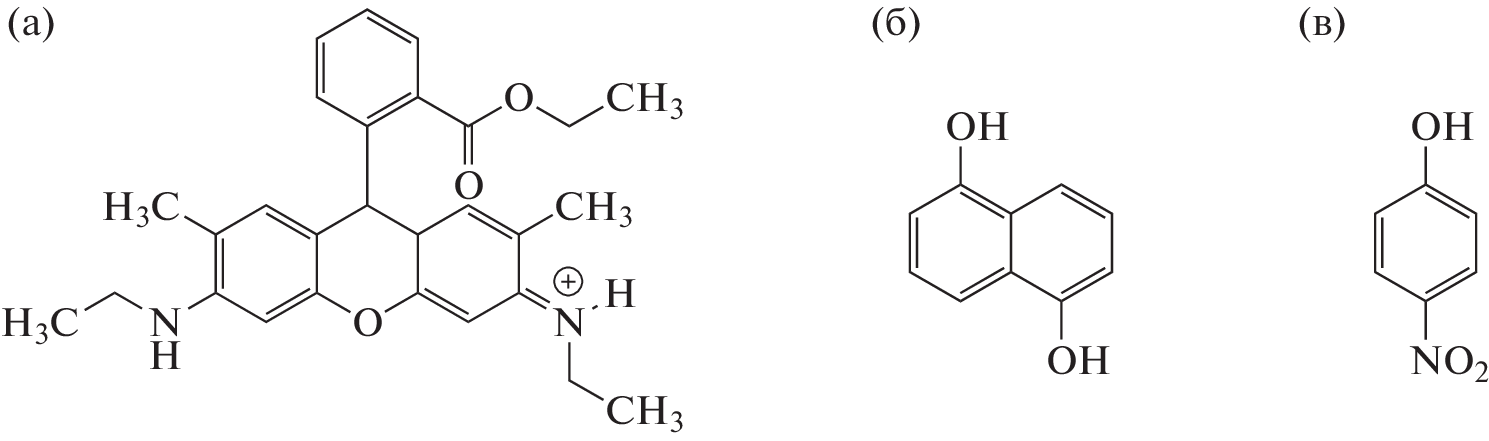
The possibility of stabilization of zinc(II) 2,3,9,10,16,17,23,24-octa[(3,5-sodium biscarboxylate)phenoxy] phthalocyaninate (ZnPc16) by its hybridization with the surface of graphene oxide (GO) sheets via van der Waals or coordination bonds with functional groups of the carbon matrix in the GO hydrosols has been investigated. A combination of physicochemical analysis methods (scanning electron microscopy, fluorescence microscopy, powder X-ray diffraction, and Raman spectroscopy) has been employed to confirm the integration of ZnPc16 with GO nanosheets and to study the morphology and structure of the obtained hybrid materials. Using electronic absorption spectroscopy, it has been found that, regardless of the hybridization method, the binding of the macrocycles to the inorganic particles increases the stability of ZnPc16 in an aqueous medium being irradiated with visible light. The analysis of spectral kinetic data has shown that, in contrast to the system obtained by direct integration of ZnPc16 and GO, the hybrid material formed by coordination bonding of the components via zinc acetate (Zn(OAc)2) as a binding metal cluster is able to exhibit photocatalytic properties in oxidative photodegradation of some model organic pollutant substrates (rhodamine 6G, 1,5-dihydroxynaphthalene, and 1,4-nitrophenol). The proposed colloid-chemical approach to the stabilization of photoactive water-soluble phthalocyaninates makes it possible to increase their resistance to photoinduced self-oxidation and can be adapted for various derivatives of tetrapyrrole compounds possessing photosensitizing properties.
About the authors
A. G. Nugmanova
Frumkin Institute of Physical Chemistry and Electrochemistry, Russian Academy of Sciences, 119071, Moscow, Russia
Email: kalinina@phyche.ac.ru
Россия, 119071, Москва, Ленинский просп. 31, корп. 4
A. I. Gorshkova
Department of Materials Sciences, Moscow State University, 119991, Moscow, Russia
Email: kalinina@phyche.ac.ru
Россия, 119991, Москва,
Ленинские Горы 1, стр. 73, факультет наук о материалах
A. V. Yagodin
Frumkin Institute of Physical Chemistry and Electrochemistry, Russian Academy of Sciences, 119071, Moscow, Russia
Email: kalinina@phyche.ac.ru
Россия, 119071, Москва, Ленинский просп. 31, корп. 4
A. A. Averin
Frumkin Institute of Physical Chemistry and Electrochemistry, Russian Academy of Sciences, 119071, Moscow, Russia
Email: kalinina@phyche.ac.ru
Россия, 119071, Москва, Ленинский просп. 31, корп. 4
M. A. Kalinina
Frumkin Institute of Physical Chemistry and Electrochemistry, Russian Academy of Sciences, 119071, Moscow, Russia
Author for correspondence.
Email: kalinina@phyche.ac.ru
Россия, 119071, Москва, Ленинский просп. 31, корп. 4
References
- Gyamfi B.A., Onifade S.T., Nwani C., Bekun F.V. Accounting for the combined impacts of natural resources rent, income level, and energy consumption on environmental quality of G7 economies: A panel quantile regression approach // Environmental Science and Pollution Research. 2022. V. 29. № 2. P. 2806–2818. https://doi.org/10.1007/s11356-021-15756-8
- Ebhota W.S., Jen T.C. Fossil fuels environmental challenges and the role of solar photovoltaic technology advances in fast tracking hybrid renewable energy system // International Journal of Precision Engineering and Manufacturing – Green Technology. 2020. V. 7. № 1. P. 97–117. https://doi.org/10.1007/s40684-019-00101-9
- Mazzeo A., Santalla S., Gaviglio C., Doctorovich F., Pellegrino J. Recent progress in homogeneous light-driven hydrogen evolution using first-row transition metal catalysts // Inorganica Chimica Acta. 2020. V. 517. P. 119950. https://doi.org/10.1016/j.ica.2020.119950
- Whittemore T.J., Xue C., Huang J., Gallucci J.C., Turro C. Single-chromophore single-molecule photocatalyst for the production of dihydrogen using low-energy light // Nature Chemistry. 2020. V. 12. № 2. P. 180–185. https://doi.org/10.1038/s41557-019-0397-4
- Zhang Y., Ren K., Wang L.L., Wang L.L., Fan Z. Porphyrin-based heterogeneous photocatalysts for solar energy conversion // Chinese Chemical Letters. 2022. V. 33. № 1. P. 33–60. https://doi.org/10.1016/j.cclet.2021.06.013
- Liu M.L., Guo J.L., Japip S. et al. One-step enhancement of solvent transport, stability and photocatalytic properties of graphene oxide/polyimide membranes with multifunctional cross-linkers // Journal of Materials Chemistry A. 2019. V. 7. № 7. P. 3170–3178. https://doi.org/10.1039/C8TA11372F
- Liu X., Chen Q., Lv L., Feng X., Meng X. Preparation of transparent PVA/TiO2 nanocomposite films with enhanced visible-light photocatalytic activity // Catalysis Communications. 2015. V. 58. P. 30–33. https://doi.org/10.1016/j.catcom.2014.08.032
- Das P., Chakraborty K., Chakrabarty S., Ghosh S., Pal T. Reduced graphene oxide – zinc phthalocyanine composites as fascinating material for optoelectronic and photocatalytic applications // ChemistrySelect. 2017. V. 2. № 11. P. 3297–3305. https://doi.org/10.1002/slct.201700384
- Zhang Z., Wang J., Liu D. et al. Highly efficient organic photocatalyst with full visible light spectrum through π–π stacking of TCNQ-PTCDI // ACS Applied Materials and Interfaces. 2016. V. 8. № 44. P. 30225–30231. https://doi.org/10.1021/acsami.6b10186
- Mak C.H., Han X., Du M. et al. Heterogenization of homogeneous photocatalysts utilizing synthetic and natural support materials // Journal of Materials Chemistry A. 2021. V. 9. № 8. P. 4454–4504. https://doi.org/10.1039/D0TA08334H
- Anaya-Rodríguez F., Durán-Álvarez J.C., Drisya K.T., Zanella R. The challenges of integrating the principles of green chemistry and green engineering to heterogeneous photocatalysis to treat water and produce green H2 // Catalysts. 2023. V. 13. № 1. P. 154. https://doi.org/10.3390/catal13010154
- Xu C., Ravi Anusuyadevi P., Aymonier C., Luque R., Marre S. Nanostructured materials for photocatalysis // Chemical Society Reviews. 2019. V. 48. № 14. P. 3868–3902. https://doi.org/10.1039/C9CS00102F
- Liu Y., Tian J., Wei L. et al. Modified g-C3N4/TiO2/CdS ternary heterojunction nanocomposite as highly visible light active photocatalyst originated from CdS as the electron source of TiO2 to accelerate Z-type heterojunction // Separation and Purification Technology. 2021. V. 257. P. 117976. https://doi.org/10.1016/j.seppur.2020.117976
- Zhang X.Y., Li H.P., Cui X.L., Lin Y. Graphene/TiO2 nanocomposites: Synthesis, characterization and application in hydrogen evolution from water photocatalytic splitting // Journal of Materials Chemistry. 2010. V. 20. № 14. P. 2801–2806. https://doi.org/10.1039/B917240H
- Nemiwal M., Zhang T.C., Kumar D. Recent progress in g-C3N4, TiO2 and ZnO based photocatalysts for dye degradation: Strategies to improve photocatalytic activity // Science of the Total Environment. 2021. V. 767. P. 144896. https://doi.org/10.1016/j.scitotenv.2020.144896
- Hsu H.C., Shown I., Wei H.Y. et al. Graphene oxide as a promising photocatalyst for CO2 to methanol conversion // Nanoscale. 2013. V. 5. № 1. P. 262–268. https://doi.org/10.1039/C2NR31718D
- Zhao Y.S., Yao J. Organic one-dimensional nanostructures: Construction and optoelectronic properties // In: Zhai T., Yao J. (Eds). One-Dimensional Nanostructures: Principles and Applications. John Wiley & Sons, Hoboken, 2013. P. 381–395. https://doi.org/10.1002/9781118310342.ch17
- Chen Y.Z., Li W.H., Li L., Wang L.N. Progress in organic photocatalysts // Rare Metals. 2018. V. 37. № 1. P. 1–12. https://doi.org/10.1007/s12598-017-0953-2
- Kosco J., Moruzzi F., Willner B., McCulloch I. Photocatalysts based on organic semiconductors with tunable energy levels for solar fuel applications // Advanced Energy Materials. 2020. V. 10. № 39. P. 2001935. https://doi.org/10.1002/aenm.202001935
- Díaz U., Brunel D., Corma A. Catalysis using multifunctional organosiliceous hybrid materials // Chemical Society Reviews. 2013. V. 42. № 9. P. 4083–4097. https://doi.org/10.1039/C2CS35385G
- Arslanov V.V., Kalinina M.A., Ermakova E.V., Raitman O.A., Gorbunova Y.G. et al. Hybrid materials based on graphene derivatives and porphyrin metal-organic frameworks // Russian Chemical Reviews. 2019. V. 88. № 8. P. 775–799. https://doi.org/10.1070/RCR4878
- Zhao G., Pang H., Liu G. et al. Co-porphyrin/carbon nitride hybrids for improved photocatalytic CO2 reduction under visible light // Applied Catalysis B: Environmental. 2017. V. 200. P. 141–149. https://doi.org/10.1016/j.apcatb.2016.06.074
- Нугманова А.Г., Калинина М.А. Cупрамолекулярная самосборка гибридных коллоидных систем // Коллоидный журнал. 2022. Т. 84. № 5. С. 669–692. https://doi.org/10.31857/S0023291222600213
- Gacka E., Burdzinski G., Marciniak B., Kubas A., Lewandowska-Andralojc A. Interaction of light with a non-covalent zinc porphyrin–graphene oxide nanohybrid // Physical Chemistry Chemical Physics. 2020. V. 22. № 24. P. 13456–13466. https://doi.org/10.1039/D0CP02545C
- Sorokin A.B. Phthalocyanine metal complexes in catalysis // Chemical Reviews. 2013. V. 113. № 10. P. 8152–8191. https://doi.org/10.1021/cr4000072
- Jin L., Lv S., Miao Y., Liu D., Song F. Recent development of porous porphyrin-based nanomaterials for photocatalysis // ChemCatChem. 2021. V. 13. № 1. P. 140–152. https://doi.org/10.1002/cctc.202001179
- Liu W., Jensen T.J., Fronczek F.R. et al. Synthesis and cellular studies of nonaggregated water-soluble phthalocyanines // Journal of Medicinal Chemistry. 2005. V. 48. № 4. P. 1033–1041. https://doi.org/10.1021/jm049375b
- Gregory P. Industrial applications of phthalocyanines // Journal of Porphyrins and Phthalocyanines. 2000. V. 4. № 4. P. 432–437. https://doi.org/10.1002/(SICI)1099-1409(200006/07)4:4<432::AID-JPP254>3.0.CO;2-N
- Nikoloudakis E., López-Duarte I., Charalambidis G., Ladomenou K., Ince M., Coutsolelos A.G. Porphyrins and phthalocyanines as biomimetic tools for photocatalytic H2 production and CO2 reduction // Chemical Society Reviews. 2022. V. 51. № 16. P. 6965–7045. https://doi.org/10.1039/D2CS00183G
- Liu Y., Zuo P., Wang F. et al. Covalent immobilization of phthalocyanine on graphene oxide for the degradation of phenol // Journal of the Taiwan Institute of Chemical Engineers. 2019. V. 104. P. 187–200. https://doi.org/10.1016/j.jtice.2019.09.007
- Qian J., Liu Y., Zheng W., Zhou B., Dong X. Covalent modification of iron phthalocyanine into skeleton of graphitic carbon nitride and its visible-light-driven photocatalytic reduction of nitroaromatic compounds // Catalysts. 2022. V. 12. № 7. P. 752. https://doi.org/10.3390/catal12070752
- Jiang B.P., Hu L.F., Wang D.J. et al. Graphene loading water-soluble phthalocyanine for dual-modality photothermal/photodynamic therapy via a one-step method // Journal of Materials Chemistry B. 2014. V. 2. № 41. P. 7141–7148. https://doi.org/10.1039/C4TB01038H
- Kumar P., Kumar A., Sreedhar B. et al. Cobalt phthalocyanine immobilized on graphene oxide: An efficient visible-active catalyst for the photoreduction of carbon dioxide // Chemistry – A European Journal. 2014. V. 20. № 20. P. 6154–6161. https://doi.org/10.1002/chem.201304189
- Dyrda G., Kocot K., Poliwoda A. et al. Hybrid TiO2 @ phthalocyanine catalysts in photooxidation of 4-nitrophenol: Effect of the matrix and sensitizer type // Journal of Photochemistry and Photobiology A: Chemistry. 2020. V. 387. P. 112124. https://doi.org/10.1016/j.jphotochem.2019.112124
- Prasad C., Liu Q., Tang H. et al. An overview of graphene oxide supported semiconductors based photocatalysts: Properties, synthesis and photocatalytic applications // Journal of Molecular Liquids. 2020. V. 297. P. 111826. https://doi.org/10.1016/j.molliq.2019.111826
- Lu K.Q., Li Y.H., Tang Z.R., Xu Y.J. Roles of graphene oxide in heterogeneous photocatalysis // ACS Materials Au. 2021. V. 1. № 1. P. 37–54. https://doi.org/10.1021/acsmaterialsau.1c00022
- Motevalli B., Fox B.L., Barnard A.S. Charge-dependent Fermi level of graphene oxide nanoflakes from machine learning // Computational Materials Science. 2022. V. 211. P. 111526. https://doi.org/10.1016/j.commatsci.2022.111526
- Hu X., Mu L., Wen J., Zhou Q. Covalently synthesized graphene oxide-aptamer nanosheets for efficient visible-light photocatalysis of nucleic acids and proteins of viruses // Carbon. 2012. V. 50. № 8. P. 2772–2781. https://doi.org/10.1016/j.carbon.2012.02.038
- Nugmanova A.G., Kalinina M.A. Self-assembly of metal-organic frameworks in pickering emulsions stabilized with graphene oxide // Colloid Journal. 2021. V. 83. № 5. P. 614–626. https://doi.org/10.1134/S1061933X21050094
- Meshkov I.N., Zvyagina A.I., Shiryaev A.A. et al. Understanding self-assembly of porphyrin-based SURMOFs: How layered minerals can be useful // Langmuir. 2018. V. 34. № 18. P. 5184–5192. https://doi.org/10.1021/acs.langmuir.7b04384
- Nugmanova A.G., Safonova E.A., Baranchikov A.E. et al. Interfacial self-assembly of porphyrin-based SU-RMOF/graphene oxide hybrids with tunable pore size: An approach toward size-selective ambivalent heterogeneous photocatalysts // Applied Surface Science. 2022. V. 579. P. 152080. https://doi.org/10.1016/j.apsusc.2021.152080
- Sladkevich S., Gun J., Prikhodchenko P.V. et al. Peroxide induced tin oxide coating of graphene oxide at room temperature and its application for lithium ion batteries // Nanotechnology. 2012. V. 23. № 48. P. 485601. https://doi.org/10.1088/0957-4484/23/48/485601
- Vagin S.I., Ott A.K., Rieger B. Paddle-wheel zinc carboxylate clusters as building units for metal-organic frameworks // Chemie Ingenieur Technik. 2007. V. 79. № 6. P. 767–780. https://doi.org/10.1002/cite.200700062
- Jaafar E., Kashif M., Sahari S.K. et al. Study on morphological, optical and electrical properties of graphene oxide (GO) and reduced graphene oxide (rGO) // Materials Science Forum. 2018. V. 917. P. 112–116. https://doi.org/10.4028/www.scientific.net/MSF.917.112
- Gusarova E.A., Zvyagina A.I., Aleksandrov A.E. et al. Interfacial self-assembly of ultrathin polydiacetylene/graphene oxide nanocomposites: A new method for synergetic enhancement of surface charge transfer without doping // Colloid and Interface Science Communications. 2022. V. 46. P. 100575. https://doi.org/10.1016/j.colcom.2021.100575
- Zvyagina A.I., Gusarova E.A., Averin A.A. et al. Structural effect of perylene derivatives on their interaction with reduced graphene oxide monolayers // Russian Journal of Inorganic Chemistry. 2021. V. 66. P. 273–280. https://doi.org/10.1134/S0036023621020224
Supplementary files















