Феноменологическое описание взаимосвязи “структура–свойство” отвердителей эпоксидных олигимеров по спектрам внутреннего трения
- Авторы: Ломовской В.А.1, Шатохина С.А.1, Симонов-Емельянов И.Д.2
-
Учреждения:
- Институт физической химии и электрохимии им. А. Н. Фрумкина РАН
- МИРЭА – Российский технологический университет (Институт тонких химических технологий имени М. В. Ломоносова)
- Выпуск: Том 86, № 3 (2024)
- Страницы: 368-378
- Раздел: Статьи
- Статья получена: 01.09.2024
- Статья одобрена: 01.09.2024
- Статья опубликована: 15.05.2024
- URL: https://medbiosci.ru/0023-2912/article/view/262851
- DOI: https://doi.org/10.31857/S0023291224030063
- EDN: https://elibrary.ru/BMGCJN
- ID: 262851
Цитировать
Полный текст
Аннотация
Проведен теоретический анализ экспериментальных результатов спектров внутреннего трения и температурно-частотных зависимостей, полученных методом свободных затухающих крутильных колебаний для различных по химической природе жидких отвердителей эпоксидных олигомеров: ТЭТА, ПЭПА, ИМТГФА. Рассмотрены основные феноменологические модельные представления, на базе которых проводился расчет различных физико-механических и физико-химических характеристик локальных диссипативных процессов, которые могут иметь различные механизмы внутреннего трения (гистерезисный, фазовый, релаксационный).
Ключевые слова
Полный текст
ВВЕДЕНИЕ
Исследование различных свойств композиций “эпоксидный олигомер–отвердитель” показало, что характеристики получаемых систем непосредственно связаны с физико-механическими и физико-химическими характеристиками как эпоксидного олигомера, так и отвердителя в отдельности [1–5]. При этом систематических исследований характеристик компонентов этих композиций в широких температурных интервалах (от -150°C до +110°C) при динамических механических внешних воздействиях практически нет [6].
Обобщенные отрывочные данные о свойствах и реакционной способности таких отвердителей и некоторых показателях полимеров на их основе неоднократно публиковались в справочной монографической литературе [7–12]. В этой работе впервые представлены экспериментальные спектры внутреннего трения λ = f(T) и температурные зависимости частоты ν = f(T), полученные в режиме свободных затухающих крутильных колебаний, возбуждаемых в исследуемых образцах отвердителей эпоксидных олигомеров (триэтилентетрамин (ТЭТА), полиэтиленполиамин (ПЭПА), изо-метилтетрагидрофталевый ангидрид (ИМТГФА)) в температурном интервале (от -150°C до +110°C).
Следует отметить, что выбранные системы используются не только в качестве отвердителей эпоксидных олигомеров, но и имеют очень широкое применение в других областях. Например, триэтилентетрамин используется в медицине для связывания и удаления меди из организма как альтернатива пеницилламину, при химиотерапии рака в качестве противоопухолевого агента, при диабетических заболеваниях, предположительно будет иметь применение при лечении болезни Альцгеймера [13]. В промышленности ТЭТА с углеродными жирными кислотами или таловыми кислотами может быть использован в качестве ингибитора коррозии. Раствор триэтилентетрамин-этанол проявляет высокие абсорбционные свойства в отношении двуокиси углерода. ТЭТА используется в качестве присадок к топливам, смазкам, асфальтовым системам и в производстве целлюлозы [13].
В данной работе рассматривается возможность исследования физико-механических (температурная зависимость модуля сдвига, дефект модуля сдвига для каждого локального диссипативного процесса, температурные области проявления локальной неупругости, механизм внутреннего трения) и физико-химических характеристик (энергия активации, время релаксации каждого локального диссипативного процесса) и их изменений для аминных и ангидридных отвердителей эпоксидных олигомеров в интервалах температур, охватывающих твердое в жидкое агрегатное состояние этих систем.
Теоретический анализ полученных экспериментальных результатов проводится на феноменологических модельных представлениях стандартного линейного тела и обобщенной модели Максвелла [14] без рассмотрения взаимосвязи конкретной химической природы, строения и структуры элементов исследуемых отвердителей с модельными представлениями атомно-молекулярного строения исследуемых систем, что представляет собой отдельную фундаментальную работу. Вследствие этого каждый локальный по температуре диссипативный процесс будет обозначен в цифровом варианте без привязки к конкретному структурному элементу.
Исследование спектров внутреннего трения проводилось для кристаллических и аморфных систем, находящихся в твердом агрегатном состоянии при начальных температурах проведения эксперимента и переходящих в жидкое агрегатное состояние при изменениях температуры в ходе проведения эксперимента [15–26]. Однако исследований спектров внутреннего трения систем в режиме свободно затухающего колебательного процесса в широком температурном интервале (от -150°C до +110°C), охватывающем твердое в жидкое агрегатное состояние этих систем, и которые находились при начальных температурах проведения эксперимента в жидком агрегатном состоянии, по данным литературных источников, на сегодня нет.
Спектры внутреннего трения представляют собой набор локальных пиков диссипативных потерь, проявляемых в различных интервалах температур. Каждый из пиков образуется в результате структурной подвижности элементов той или иной (в зависимости от температуры) структурно-кинетической подсистемы [15–26]. Вся исследуемая система представляет собой совокупность структурно-кинетических подсистем, квазинезависимо реагирующих на одновременно приложенное внешнее воздействие. Каждый пик потерь на спектре внутреннего трения будет характеризоваться не только тем, что его появление обусловлено наличием, подвижностью тех или иных структурных элементов, но и тем, что каждый пик, являясь локальным диссипативным процессом соответствующей структуры, будет характеризоваться своим переходным процессом, а следовательно, и своей функцией, описывающей этот переходный процесс и феноменологической моделью со своими характеристиками [14].
Композиция “отвердитель–эпоксидный олигомер” образует полимерную матрицу, которая как бы соединяет все компоненты этой системы в единое целое – полимерный материал. Именно такой полимерный материал обладает ценным комплексом прочностных, теплофизических, диэлектрических, адгезионных и других свойств, что делает возможным его практическое использование, при этом на физико-механические и физико-химические характеристики полученной системы оказывают решающее влияние аналогичные характеристики как эпоксидного олигомера, так и отвердителя [1].
Как было отмечено выше, систематических исследований физико-механических и физико-химических характеристик этих жидких систем (за исключением исследований температурной зависимости вязкости и плотности в положительной области температур [27]) в интервале температур от –150°C до +150°C и динамических режимах внешнего воздействия не проводилось.
В качестве объектов исследования были выбраны различающиеся по химической природе, строению и структуре, аминные и ангидридный отвердители, используемые в различных режимах процессов отверждения эпоксидных олигомеров. Известные справочные данные этих систем приведены в табл. 1.
Таблица 1. Характеристики отвердителей эпоксидных олигомеров [1–13]
Отвердитель | ТЭТА | ПЭПА | ИМТГФА |
CAS № | 112-24-3 | 68131-73-7 | 26590-20-5 |
Цвет | бесцветный | от свето-желтого до темно-бурого | от светло-желтого до светло-коричневого |
Молекулярная масса, г/моль | 146 | 230–250 | 166 |
Аминное число, мг (KOH/г) | 1443 | 1250 | 660–685 |
Температура плавления, °C | –35 | –30 | 90 |
Температура кипения, °C | 277 | >350 | 308.9 |
Температура вспышки, °C | 118 | 104 | 146.8 |
Плотность, г/см3 при 25°C | 0.98 | 1.017 | 1.17–1.23 |
Динамическая вязкость, мПа∙с при 25°С | 14 | 250 | 120 |
Содерж. азота, % по весу | 37 | >30 | – |
Время желтинизации, мин. при 25–25°C | 25 | 25 | – |
Экспериментальные спектры внутреннего трения λ = f(T) и температурные зависимости частоты ν = f(T) получены в режиме свободных затухающих крутильных колебаний, возбуждаемых в исследуемых образцах отвердителей эпоксидных олигомеров. При этом следует отметить, что отвердители эпоксидных олигомеров представляют собой жидкие системы, вследствие чего они не могут быть непосредственно включены в колебательную систему устройства для исследования локальных диссипативных процессов по спектрам внутреннего трения [28]. Вследствие этого необходимо использовать твердую подложку, на которую будет наноситься исследуемый жидкий отвердитель. В этом случае исследуемый образец будет представлять собой композит: подложка–отвердитель.
Подложка выполняет роль упругой компоненты композита во всем температурном интервале исследований, а отвердитель будет проявлять упругую реакцию на внешнее деформирующее воздействие при температурах твердого агрегатного (T < Tпл) состояния и неупругую реакцию при температурах жидкого агрегатного состояния (T > Tпл) (табл. 1).
Таким образом, в температурном интервале от –150°C до Tпл отвердитель находится в твердом агрегатном состоянии, поэтому исследуемый образец будет представлять собой композитную твердую систему, состоящую из двух твердых подсистем: упругой несущей матрицы и упругой подсистемы (твердой) отвердителя. В температурном интервале от Tпл до +110°C отвердитель находится в жидком агрегатном состоянии, поэтому исследуемый образец будет представлять собой композитную твердую систему, состоящую из двух подсистем: упругой несущей матрицы-подложки и вязкоупругой жидкой подсистемы отвердителя. И в том и в другом случае исследуемые образцы могут быть непосредственно включены в колебательную систему устройства [28].
При этом особое внимание необходимо уделить выбору материала и геометрических размеров подложки (толщины h и ширины b), с учетом того, что длина образца λ = const зависит от требований к длине исследуемых образцов в колебательной системе установки. Размер подложек с учетом конструкционных требований к установке для всех подложек был равен 60×5×0.1 мм.
Вследствие того, что основной интерес вызывают локальные диссипативные явления не в самой комбинированной композитной системе образца, а только в его подсистеме – отвердителе, материал подложки должен быть химически инертным к отвердителю в интервале температур от –150°C до +110°C. Это требует получения экспериментальных спектров внутреннего трения отдельно для подложки, что позволит отделить от спектра внутреннего трения полученного комбинированного образца спектр внутреннего трения чистой подложки и получить спектр только отвердителя.
Таким образом, к материалу подложки предъявляются следующие требования:
- На спектре λ = f(T) подложки в интервале температур от –150°C до +110°C не должно быть интенсивных диссипативных потерь, заглушающих потери в подсистеме отвердителя.
- Геометрические размеры, а следовательно, и момент инерции Iподл подложки должны быть минимальными, чтобы оказывать минимально возможное воздействие на колебательный процесс, возбуждаемый в исследуемой комбинированной композитной системе.
- Между материалом подложки и нанесенной на подложку подсистемой отвердителя не должно возникать химического взаимодействия.
- Необходим учет адгезионных контактных взаимодействий между поверхностью подложки (матрицы) и отвердителем композита.
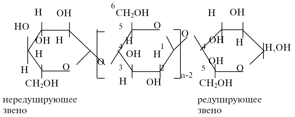
Именно по этим критериям были отобраны три вида несущих подсистем (подложек) для композитной системы “подложка–отвердитель”: медь, целлюлоза, сетка из нержавеющей стали [29–31]. Из всех видов подложек в данном исследовании используется целлюлозная подложка. Этот выбор объясняется следующими причинами. Целлюлоза – это линейный гомополисахарид, представляющий собой длинные цепи, не имеющие разветвлений. Макромолекулы целлюлозы состоят из мономерных звеньев ангидро-β-D-глюкопиранозы (остатков β-D-глюкозы), соединенных гликозидными связями 1–4 (брутто формула целлюлозы имеет вид: (С6Н10О5) n или [С6Н7О2(ОН)3]n, рис. 2) [29].
Рис. 1. Структурные формулы ТЭТА, ПЭПА, ИМТГФА.
Рис. 2. Структурная формула целлюлозы.
Особенности надмолекулярной структуры целлюлозы, а именно кристаллическое строение, сильное межмолекулярное взаимодействие, а также отношение органических кислот к слабым кислотам, определяют невозможность получения сложных эфиров при участии органических кислот. Сложные эфиры образуются при действии ангидридов соответствующих кислот на целлюлозу в присутствии кислотных катализаторов.
Таким образом, в принципе целлюлоза способна прореагировать с ангидридным отвердителем, который исследуется. Однако вследствие того, что в данных исследованиях не используются вещества, которые могли бы быть катализатором, эта реакция невозможна.
Аминные отвердители являются гигроскопичными, и в них может присутствовать некоторое количество молекул воды, которая, в свою очередь, может служить активатором поверхности целлюлозы. Можно предположить, что за счет этого низковязкие отвердители способны пропитать целлюлозу без химического взаимодействия.
В отличие от целлюлозных подложек, подложки из меди реагируют с ТЭТА в стехиометрическом соотношении (1:1) с образованием стабильных комплексов с азотом, в которых ТЭТА является высокоселективным хелатором двухвалентной меди [6, 13]. Именно по этой причине медные подложки в данном исследовании не использовались. Подложки из нержавеющей стали не использовались вследствие наличия на их экспериментальных спектрах внутреннего трения дополнительных локальных диссипативных процессов значительной интенсивности, что приводит к существенным сложностям при обработке конечных результатов получения спектров отвердителей. Кроме того, выбор целлюлозной подложки обусловлен тем, что жесткость ее при равенстве моментов инерции всех металлических подложек минимальна, что существенно повышает расчет модулей сдвига жидких отвердителей, как компонентов композитной системы. Количество отвердителя, пропитываемого подложку, составило 2 г.
Для получения спектров внутреннего трения λ = f(T) и температурной зависимости частоты ν = f(T) колебательного процесса, возбужденного в исследуемых системах в интервале 1÷10 Гц, использовался метод свободных затухающих крутильных колебаний, подробно описанный в работах [28, 32]. Эпюры обработки колебательного процесса приведены на рис. 3.
Рис. 3. Эпюры свободно затухающего колебательного процесса, возбуждаемого в исследуемом образце – (а) в изотермическом режиме T = const импульсным воздействием – (б). Развертка временной зависимости угла закручивания φ(t) – (в) относительно продольной оси Z образца. Деформация, возникающая в образце – (г) и касательные напряжения σij – (д) [28, 32].
Исследуемый комбинированный образец (подложка–отвердитель), входящий в колебательную систему этого устройства, закручивается на угол φmax (рис. 3в), что соответствует значению начальной амплитуды относительной деформации γmax ≈ 10–4. После этого импульсного воздействия на колебательную систему устройства исследуемый образец в интервале времени t < t0 <t1 совершает затухающие крутильные колебания относительно положения равновесия φ(t) = 0.
При этом деформация исследуемого образца во времени описывается соотношением:
(1)
где λ – логарифмический декремент колебательного процесса, возбужденного в исследуемом образце, определяемый для каждой температуры (изотермический режим исследования) по соотношению:
(2)
где N – число периодов колебательного процесса от 1-го, где амплитуда равна φ1 до N-го, где амплитуда равна φN.
Интервал температур исследований составлял от –150°C до +150°C. Скорость нагрева исследуемых образцов в термокриокамере устройства составляла 2° в мин. Погрешность измерений составляет ≈5% [32].
ЭКСПЕРИМЕНТАЛЬНАЯ ЧАСТЬ
Спектры внутреннего трения λ = f(T) и температурные зависимости частоты ν = f(T) колебательного процесса, возбуждаемого в исследуемом композите “целлюлозная подложка–отвердитель” для ТЭТА, ПЭПА и ИМТГФА, представлены на рис. 4–6 соответственно, а также обобщены в табл. 2. На рисунках представлены спектры как для композита, так и для отвердителя (за вычетом фона внутреннего трения целлюлозной подложки – линия 2) отдельно. Сопоставление этих результатов показывает незначительное влияние подложки на диссипативные процессы в отвердителе.
Рис. 4. Спектр внутреннего трения λ = f(T) композитной системы “ТЭТА–целлюлоза” (кривая 1) и целлюлозной подложки (кривая 2) – (а); спектр λ = f(T) этой же композитной системы “ТЭТА–целлюлоза” без диссипативных потерь, вносимых целлюлозной подложкой – (б); температурная зависимость частоты ν = f(T) в композитной системе “ТЭТА–целлюлоза” – (в).
Рис. 5. Спектр внутреннего трения λ = f(T) композитной системы “ПЭПА–целлюлоза” (кривая 1) и целлюлозной подложки (кривая 2) – (а); спектр λ = f(T) этой же композитной системы “ПЭПА–целлюлоза” без диссипативных потерь, вносимых целлюлозной подложкой – (б); температурная зависимость частоты ν = f(T) в композитной системе “ПЭПА–целлюлоза” – (в).
Рис. 6. Спектр внутреннего трения λ = f(T) композитной системы “ИМТГФА–целлюлоза” (кривая 1) и целлюлозной подложки (кривая 2) – (а); спектр λ = f(T) этой же композитной системы “ИМТГФА–целлюлоза” без диссипативных потерь, вносимых целлюлозной подложкой – (б); температурная зависимость частоты в композитной системе “ИМТГФА–целлюлоза” – (в).
Таблица 2. Физико-механические характеристики отвердителей ТЭТА, ПЭПА, ИМТГФА, нанесенных на целлюлозную подложку, рассчитанные по спектрам внутреннего трения и температурной зависимости частоты
Название | № пика | Tmax, °C | λmax | νmax, Гц | T, °C | ν, Гц | |||
с подл | без подл | н* | к* | н* | к* | ||||
Целлюлозная подложка | |||||||||
ТЭТА | I | –114 | 0.16 | 0.109 | 9.03 | – | – | – | – |
II | –53 | 0.76 | 0.706 | 4.17 | –81 | –42 | 9.89 | 2.39 | |
III | 25 | 0.39 | 0.315 | 2.389 | 10 | 40 | 3.52 | 1.34 | |
ПЭПА | II | –50 | 0.44 | 0.37 | 2.37 | –70 | –36 | 3.16 | 1.87 |
III | 58 | 0.13 | 0.06 | 1.37 | 40 | 65 | 1.59 | 1.34 | |
ИМТГФА | I | –76 | 0.24 | 0.171 | 4.04 | – | – | – | – |
II | –56 | 0.61 | 0.54 | 2.65 | –82 | –42 | 4.36 | 1.85 | |
III | 6 | 0.21 | 0.13 | 1.987 | –1 | 13 | 2.35 | 1.71 | |
*н – начальное значение; к – конечное значение.
На рис. 4б представлен спектр ТЭТА за вычетом спектра подложки из спектра композита. Эти спектры характеризуются наличием трех пиков диссипативных потерь, расположенных в разных температурных интервалах спектра и имеющих различные интенсивности λmax их проявления (табл. 2):
I – пик диссипативных потерь, имеет минимальную интенсивность на спектре λ = f(T) относительно других диссипативных процессов этого спектра (λImax ≈ 0.16). Данный пик расположен в интервале температур от –120.5°C до –95°C. Данный процесс может быть связан с наличием различных форм молекулярной воды [33–35] в структуре NH2–(CH2–CH2–NH)3–H. Следует отметить, что этот отвердитель ТЭТА очень гигроскопичен. С водой образует кристаллогидрат (CAS305808-21-3, номер EINECS 253-854-3 [6, 13]), полностью смешивается с водой и многими полярными органическими растворителями. Молекулярная формула кристаллогидрата: NH2–CH2–CH2–(NH–CH2–CH2)2–NH2 ⋅ H2O с температурой плавления +45°C ÷ +50°C.
Наличие воды в структуре различных олигомеров и полимеров подтверждается данными оптических и диэлектрических потерь, а также исследованиями ИК-спектров воды при нормальном давлении [26, 36–38]. Исследование возможных кластерных форм воды показало, что при температуре ниже 273 К вода может присутствовать в структуре полимера в виде нескольких форм: гексагональной кристаллической формы Jh; кубической кристаллической формы Jc и аморфной или стеклообразной фазы JLDA.
Согласно выводам работы [26], только кристаллическая кластерная Jh-форма является относительно термостабильной системой воды. Системы Jc и JLDA являются термодинамически нестабильными. При пониженных температурах их трансформация в более термодинамически стабильную фазу кинетически затруднена. Кубический лед Jc образуется при температурах от –140 до –120°C и при повышении температуры до интервала от –120 до –70°C Jc-фаза трансформируется в гексагональную кристаллическую Jh-фазу. Кроме Jc-фазы в Jh-фазу превращается и аморфная JLDA-фаза в области температур от –120 до –110°C.
Для двух локальных диссипативных процессов, связанных с Jc-кристаллической фазой и Jh-кристаллической фазой, характерно отрицательное значение дефекта модуля, т. е. ∆GJc < 0; ∆GJh < 0, что определяет механизм диссипативных потерь как фазовый [26], связанный с определенными кристаллическими структурно-кинетическими подсистемами, подвижность элементов которых и определяет появление пика потерь на спектре внутреннего трения.
II – пик диссипативных потерь, имеет максимальную интенсивность (λIImax ≈ 0.76) на зависимости λ = f(T) относительно других пиков потерь этого спектра. Процесс наблюдается в интервале температур от –90°C до –10°C, является сложным и, судя по форме кривых рис. 4, может быть разложен на три диссипативных пика, наложенных друг на друга. Таким образом, данный процесс может быть связан с подвижностью структурных элементов аморфной подсистемы, неких упорядоченных областей структуры и граничных между ними проходных областей. Структурно-кинетическое атомно-молекулярное объяснение данного процесса (так же, как и других диссипативных процессов) в этой работе не рассматривается.
III – пик диссипативных потерь, имеет среднюю интенсивность на спектре λ = f(T) относительно других диссипативных процессов этого спектра (λIIImax ≈ 0.39) и расположен в интервале температур от +10 до +50°C. Данный процесс может быть связан с подвижностью структурных элементов неких упорядоченных областей структуры при термическом разрушении кристаллогидрата NH2–CH2–CH2–(NH–CH2–CH2)2–NH2 ⋅ H2O.
Спектр ПЭПА λ = f(T) характеризуется наличием 2 пиков диссипативных потерь, расположенных в разных температурных интервалах спектра и имеющих (так же, как и для ТЭТА) различные интенсивности λmax их проявления (рис. 5, табл. 2). В данной системе отсутствует I (пик диссипативных потерь в области низких температур), что может быть связано с отсутствием процесса сорбции влаги из окружающей среды.
Другие пики обозначены аналогично пикам потерь на спектре отвердителя ТЭТА следующим образом:
II – пик диссипативных потерь, имеет максимальную интенсивность на спектре λ = f(T) относительно других диссипативных процессов этого спектра (λIImax ≈ 0.44). Этот процесс расположен в интервале температур от –90°C до +10°C.
III – пик диссипативных потерь, имеет низкую интенсивность на спектре λ = f(T) (λIIImax ≈ 0.13) и расположен в интервале температур от +30°C до +65°C.
Спектр ИМТГФА (так же, как и для ТЭТА) характеризуется наличием 3 пиков диссипативных потерь, расположенных в разных температурных интервалах спектра и имеющих различные интенсивности λmax их проявления (рис. 6, табл. 2).
I – пик диссипативных потерь, имеет среднюю интенсивность на спектре λ = f(T) относительно других диссипативных процессов этого спектра (λImax ≈ 0.24). Низкотемпературная ветвь данного процесса расположена в интервале температур от –90°C до –65°C, а высокотемпературная ветвь поглотилась II – пиком диссипативных потерь.
II – пик диссипативных потерь, имеет максимальную интенсивность на спектре λ = f(T) относительно других диссипативных процессов этого спектра (λIImax ≈ 0.61). Этот процесс расположен в интервале температур от –65°C до –20°C.
III – пик диссипативных потерь, имеет также среднюю интенсивность (λIIImax ≈ 0.21) и расположен в интервале температур от –8°C до +10°C. Учитывая, что ИМТГФА представляет собой легкокристаллизующуюся систему, его структурное происхождение связано с термическом распадом неких упорядоченных областей структуры.
Каждый пик диссипативных потерь λi представляет собой отображение совместной реакции на внешнее воздействие двух структурно-кинетических подсистем, в совокупности образующих исследуемую систему в целом [14]. Элементы одной структурно-кинетической подсистемы реагируют на внешнее воздействие в определенном интервале температур вязкоупруго, а элементы другой структурно-кинетической подсистемы реагируют на это же внешнее воздействие в этом интервале температур упруго [36].
В этом случае обобщенная модель Максвелла вырождается в модель стандартного линейного тела, а сам процесс реакции всей системы в данном интервале температур может быть описан феноменологической моделью стандартного линейного тела независимо от агрегатного состояния исследуемой системы (рис. 7а) [1, 14, 17, 37–39].
Рис. 7. Обобщенное схематическое изображение соотношения твердого и жидкого агрегатного состояния в отвердителе; а – спектр внутреннего трения λ = f(T), б – температурная зависимость частоты ν = f(T).
В динамическом режиме внешнего воздействия в виде:
(3)
дифференциальное уравнение модели стандартного линейного тела представляется в виде:
(4)
где GI ~ GE – модуль сдвига упругой подложки; GII ~ Gh – модуль сдвига отвердителя в модели; η – вязкость отвердителя в модели; τ = η/Gh – время релаксации отвердителя в модели.
Решение дифференциального уравнения модели для режима свободно-затухающего колебательного процесса незначительно отличается от решения дифференциального уравнения для вынужденного колебательного процесса, особенно при малых степенях затухания, может быть представлено в виде:
(5)
где λ(T)i и 2λimax – текущее и максимальное значение (в пике потерь) внутреннего трения для i-го пика потерь на спектре λ = f(T).
Из уравнения (5) следует, что выполнение условия: определяется соотношением:
(6)
Таким образом, значение частоты νimax, определяемой из экспериментальной зависимости ν = f(T) для I-го и II-го пика диссипативных потерь на спектре λ = f(T) при соответствующих температурах TImax и TIImax максимумов пиков диссипативных потерь, позволяет определить дискретное время релаксации.
Учитывая аррениусовскую зависимость времени релаксации любого диссипативного процесса, обнаруженного на спектре λ = f(T), рассчитывается энергия активации этого процесса по соотношению:
(7)
где c – предэкспоненциальный коэффициент в аррениусовской зависимости времени релаксации от температуры, т. е. τ0 = f(T) [22].
В табл. 2 приведены все рассчитанные физико-химические характеристики для всех диссипативных процессов, наблюдаемых на спектрах λ = f(T) рассматриваемых отвердителей.
Феноменологический механизм внутреннего трения (гистерезисный, релаксационный, фазовый) для каждого диссипативного процесса на спектре λ = f(T) может быть определен по экспериментальным температурным зависимостям частоты ν = f(T) свободно затухающего колебательного процесса (рис. 4в, 5в, 6в), возбуждаемого в исследуемой системе [20, 33–35].
Температурное изменение частоты ν = f(T)свободно-затухающего колебательного процесса, возбужденного в исследуемой системе, позволяет определить и температурное изменение модуля сдвига G(T) материала, из которого изготовлен исследуемый образец во всем температурном интервале исследования (от -150°C до +110°C). Экспериментальные зависимости ν = f(T) показывают (рис. 4в, 5в, 6в), что в определенных температурных интервалах, где на спектрах внутреннего трения λ = f(T) наблюдаются локальные диссипативные процессы в виде пиков потерь, на зависимостях ν = f(T) наблюдается аномальное изменение частоты n, а следовательно, и модуля сдвига G. В этом случае имеет место значительное отклонение экспериментальной кривой от пропорциональной теоретической температурной зависимости G = f(T) или ν = f(T). Для описания этой аномальности вводится понятие дефекта модуля сдвига ∆G или дефекта частоты ∆ν.
Дефект модуля определяется как безразмерная величина в виде [31–35]:
(8)
Каждому локальному диссипативному процессу, обнаруженному на спектре внутреннего трения λ = f(T) в различных интервалах температур, соответствует определенная аномалия в температурной зависимости частоты колебаний ν = f(T), а следовательно, и модуля сдвига G = f(T), что и приводит к локальной по температуре области неупругости исследуемой системы.
В общем случае, для каждого i-го пика диссипативных потерь, обнаруживаемого на спектре внутреннего трения λ = f(T) будет наблюдаться на температурной зависимости частоты колебаний ν = f(T) свой дефект модуля сдвига ∆Gi(T). Если учесть, что модуль сдвига G всей исследуемой системы образуется за счет сложения модулей Gi всех n-х структурно-кинетических подсистем, образующих данную систему [14], т. е.:
(9)
то температурная зависимость модуля сдвига G(T) всей системы будет определяться в виде:
(10)
где Gi(T) – температурная зависимость модуля сдвига i-й структурной подсистемы, подвижность элементов которой в том или ином температурном интервале приводит к пику диссипативных потерь на спектре λ = f(T); ∆Gi(T) – дефект модуля сдвига, обусловленный неупругостью i-й структурной подсистемы.
Дефект модуля сдвига может иметь положительное значение для диссипативных процессов релаксационной природы и отрицательное значение для диссипативных процессов нерелаксационной природы [20; 32–35].
Сложность расчета обусловлена тем фактом, что до сих пор не определен модуль сдвига и его температурная зависимость для отвердителей (как, впрочем, и других жидких в нормальных условиях систем), находящихся в твердом агрегатном состоянии и тем более в жидком агрегатном состоянии.
Можно лишь предположить, что теоретически в твердом агрегатном состоянии модуль упругости исследуемой системы снижается монотонно и составляет ~(2–4)% снижения на каждые 100 градусов повышения температуры [40], а для жидких систем снижение более существенно и составляет ~20% на каждые 100 градусов повышения температуры, как и для плотности [40].
Наиболее информативным в этом случае является теоретический анализ изменения модуля сдвига системы за счет проявления локальных по температуре диссипативных процессов, обнаруживаемых на спектре внутреннего трения, т. е. учет влияния дефекта модуля сдвига ∆G, определяемого, как было показано выше, через значения частот начала и конца пика диссипативных потерь на температурной зависимости частоты, т. е. G(T) = f(∆G).
Для количественного расчета реального температурного изменения модуля требуется определение величины модуля в твердом агрегатном состоянии всех рассмотренных жидких отвердителей.
ЗАКЛЮЧЕНИЕ
- Разработана методика исследования спектров внутреннего трения λ = f(T) и температурной зависимости частоты ν = f(T) свободно затухающего колебательного процесса, возбуждаемого в жидких компонентах – отвердителях разной природы, с участием которых получается эпоксидный полимер.
- Экспериментально получены спектры внутреннего трения λ = f(T) и температурные зависимости частоты ν = f(T) и установлены все температурные интервалы локальной неупругости отвердителей ТЭТА, ПЭПА и ИМТГФА.
- На базе феноменологических модельных представлений стандартного линейного тела рассчитаны физико-механические и физико-химические характеристики исследованных систем по полученным экспериментальным данным (энергия активации каждого из диссипативных процессов на спектре, интенсивность и температурное положение пиков потерь на спектрах, дефекты модуля сдвига, дискретные времена релаксации).
- Определены механизмы внутреннего трения для каждого выявленного на спектре λ = f(T) локального диссипативного процесса по величине интервала аномального изменения частоты колебательного процесса на температурной зависимости ν = f(T).
- Определены температурные интервалы зон локальной неупругости (исходя из рассчитанных значений дефектов модуля сдвига), приводящих к уменьшению модуля сдвига исследуемых систем, в интервале температур от –150°C до +110°C в целом.
ФИНАНСИРОВАНИЕ РАБОТЫ
Данная работа финансировалась за счет средств бюджета Института физической химии и электрохимии им. А. Н. Фрумкина РАН. Никаких дополнительных грантов на проведение или руководство данным конкретным исследованием получено не было.
СОБЛЮДЕНИЕ ЭТИЧЕСКИХ СТАНДАРТОВ
В данной работе отсутствуют исследования человека или животных.
КОНФЛИКТ ИНТЕРЕСОВ
Авторы заявляют, что у них нет конфликта интересов.
Об авторах
В. А. Ломовской
Институт физической химии и электрохимии им. А. Н. Фрумкина РАН
Email: svetlanka.mazurina@mail.ru
Россия, 119071, Москва, Ленинский просп., 31, корп. 4
С. А. Шатохина
Институт физической химии и электрохимии им. А. Н. Фрумкина РАН
Автор, ответственный за переписку.
Email: svetlanka.mazurina@mail.ru
Россия, 119071, Москва, Ленинский просп., 31, корп. 4
И. Д. Симонов-Емельянов
МИРЭА – Российский технологический университет (Институт тонких химических технологий имени М. В. Ломоносова)
Email: svetlanka.mazurina@mail.ru
Россия, 119571, Москва, просп. Вернадского, 86
Список литературы
- Иржак В.И. Эпоксидные полимеры и нанокомпозиты. Черноголовка: “Редакционно-издательский отдел ИПХФ РАН”, 2021. 319 с.
- Dwyer D.B., Isbill S., Brubaker Z.E., Keum J.K., Bras W., Niedziela J.L. Thermally induced structural transitions in epoxy thermoset polymer networks and their spectroscopic responses // ACS Applied Polymer Materials. 2023. V. 5. № 8. P. 5961–5971. https://doi.org/10.1021/acsapm.3c00637
- Lv G.X., Shen C.T., Shan N., Jensen E., Li X., Evans C.M., Cahill D.G. Odd–even effect on the thermal conductivity of liquid crystalline epoxy resins // Proceedings of the National Academy of Sciences. 2022. V. 119. № 46. P. e2211151119. https://doi.org/10.1073/pnas.2211151119
- Lv G.X., Jensen E., Shen C.T., Yang K.X., Evans C.M., Cahill D.G. Effect of amine hardener molecular structure on the thermal conductivity of epoxy resins // ACS Applied Polymer Materials. 2021.V. 3. P. 259–267. https://doi.org/10.1021/acsapm.0c01074
- Morgan R.J., Oneal J.E. Effect of epoxy monomer crystallization and cure conditions on physical structure, fracture topography, and mechanical response of polyamide-cured bisphenol-A-diglycidyl ether epoxies // Journal of Macromolecular Science. Part B: Phys. 1978. V. 15. № 1. P. 139–169. https://doi.org/10.1080/00222347808212250
- Этиленамины. https://pdfslide.net/documents/-dow-chemical-.html?page=4 (accessed on November 20, 2023).
- Мошинский Л. Эпоксидные смолы и отвердители (структура, свойства, химия и топология отверждения) // Телль-Авив: Аркадия пресс Лтд, 1995. С. 370.
- Ли Г., Невилл К. Справочное руководство по эпоксидным смолам. Пер. с. англ. / под ред. Александров Н.В. Москва: Энергия, 1973. С. 415.
- Чернин И.З., Смехов Ф.М., Жердев Ю.В. Эпоксидные полимеры и композиции. Москва: Химия, 1982. С. 232.
- Катаев В.М., Попов В.А., Сажин Б.И. Справочник по пластическим массам: в 2-х т. Москва: Химия, 1975. Т. 2. С. 568.
- Lidaoik М. Epoxydove Priskioice. Praha (Czecho-Slovakia): SNTL. 1983.
- Brojer Z., Hertz Z., Penczek Р. Ziwice Epoksydowe. Warszawa (Polska): WNT. 1981.
- Отвердители ПЭПА и ТЭТА: различия и характеристики. https://linux-admins.ru/otverditeli-pepa-i-teta (accessed on November 20, 2023).
- Ломовской В.А. Проблемы структурообразования в дисперсных системах // Научное издание “Современные проблемы физической химии. М.: “Граница”, 2005. С. 193–209.
- Постников В.С. Внутреннее трение в металлах. М.: Металлургия, 1969. 330 с.
- Криштал М.А., Головин С.А. Внутреннее трение и структура металлов. М.: Металлургия, 1976. 376 с.
- Мешков С.И. Вязкоупругие свойства металлов. М.: Металлургия, 1974. 192 с.
- Внутреннее трение в металлах и сплавах. Сб. научных трудов ИМЕТ АН СССР. М.: Наука, 1970. 208 с.
- Внутреннее трение в металлах, полупроводниках, диэлектриках и ферромагнетиках. Сб. научных трудов АН СССР. М.: Наука, 1978. 240 с.
- Гриднев С.А. Механизмы внутреннего трения в сегнетоэлектриках и сегнетоэластиках. Воронеж: Воронежский государственный технический университет, 1983. 360 с.
- Механизмы релаксационных явлений в твердых телах. Сб. научных трудов АН СССР. Каунас: КПИ, 1974. 364 с.
- Бартенев Г.М., Бартенева А.Г. Релаксационные свойства полимеров. М: Химия. 1992. С. 384.
- Шутилин Ю.Ф. Физикохимия полимеров. Воронеж: Обл. тип, 2012. 838 с.
- Пановко Я.Г. Внутреннее трение при колебаниях упругих систем. М.: Физматгиз, 1960. 194 с.
- Гранато А, Люкке К. Дислокационная теория поглощения // Ультразвуковые методы исследования дислокаций. М.: Изд-во ИЛ, 1963. С. 27–57.
- Мазурин О.В., Стрельцина М.В., Швайко-Швайковская Т.П. Свойства стекол и стеклообразующих расплавов. Справочник. В 4-х томах. М.: Наука, 1975.
- Каталог отвердителей эпоксидных смол // ХИМЭКСЛимитед https://disk.yandex.ru/i/ScB6NV_oHfEBmg (accessed on November 10, 2023).
- Ломовской В.А. Устройство для исследования локальных диссипативных процессов в твердых материалах различной химической природы, строения и структуры // Научное приборостроение. 2019. Т. 29. № 1. С. 33–46.
- Терентьева Э.П., Удовенко Н.К., Павлова Е.А. Химия древесины, целлюлозы и синтетических полимеров: учебное пособие. Ч. 1. Санкт-Петербург: СПбГТУРП, 2014. С. 53.
- Асламазова Т.Р., Ломовской В.А., Шоршина А.С., Золотаревский В.И., Котенев В.А., Ломовская Н.Ю. Температурно-частотные области неупругости в композитах канифоль-медь и канифоль-целлюлоза // Журнал физической химии. 2022. Т. 96. № 1. С. 144–152. https://doi.org/10.31857/S0044453722010034
- Асламазова Т.Р., Котенев В.А., Ломовская Н.Ю., Ломовской В.А., Цивадзе А.Ю. Диссипативные процессы в акриловом полимере, локализованном на металлических подложках // Журнал физической химии. 2022. Т. 96. № 5. С. 707–715. https://doi.org/10.31857/S0044453722050028
- Ломовской В.А., Чугунов Ю.В., Шатохина С.А. Методика исследования внутреннего трения в режиме свободно-затухающего колебательного процесса (Часть 1). // Научное приборостроение. 2023. Т. 33. № 4. С. 60–72.
- Асламазова Т.Р, Котенев В.А., Ломовская Н.Ю., Ломовской В.А., Шатохина С.А., Цивадзе А.Ю. Анализ диссипативных процессов в наполненном полимере с привлечением данных механической релаксационной спектроскопии // Журнал физической химии. 2020. Т. 94. № 7. С. 1054–1058. https://doi.org/10.31857/S0044453720070067
- Асламазова Т.Р., Котенев В.А., Ломовская Н.Ю., Ломовской В.А., Цивадзе А.Ю. Диссипативные процессы в облученных латексных полимерах // Химия высоких энергий, 2019. Т. 53. № 5. С. 369–374. https://doi.org/10.1134/S0023119319050024
- Lomovskoy V.A., Shatokhina S.A., Chalykh A.E., Matveev V.V. Spectra of internal friction in polyethylene // Polymers. 2022. V. 14. № 4. P. 675. https://doi.org/10.3390/polym14040675
- Ломовской В.А. Структурные подсистемы и явления механической релаксации в неорганических стеклах // Неорганические материалы. 1999. Т. 35. № 3. С. 382–384.
- Ломовской В.А. Спектpы внутpеннего тpения и диссипативная подвижность элементов агpегатной и модифициpующих подсистем // Материаловедение. 2007. № 2. С. 3–10.
- Ломовской В.А. Спектры внутреннего трения и диссипативная подвижность элементов агрегатной и модифицирующих подсистем // Материаловедение. 2007. № 3. С. 3–12.
- Ломовской В.А. Спектры внутреннего трения и диссипативная подвижность элементов агрегатной и модифицирующих подсистем // Материаловедение. 2007. № 4. С. 3–11.
- Физическая энциклопедия / под ред. Прохорова А.М. М.: Большая Российская энциклопедия, 1992.
Дополнительные файлы









