Photoinduced Superhydrophilicity of Titanium Dioxide: Effect of Heterovalent Metal Doping
- Authors: Rudakova A.V.1, Bulanin K.M.1
-
Affiliations:
- Санкт-Петербургский государственный университет
- Issue: Vol 86, No 5 (2024)
- Pages: 640-654
- Section: Articles
- Submitted: 30.11.2024
- Accepted: 30.11.2024
- Published: 15.09.2024
- URL: https://medbiosci.ru/0023-2912/article/view/271788
- DOI: https://doi.org/10.31857/S0023291224050109
- EDN: https://elibrary.ru/AAPYQC
- ID: 271788
Cite item
Full Text
Abstract
The self-cleaning effect of titanium dioxide coatings is based on the photocatalytic oxidizing ability and the effect of photoinduced superhydrophilicity. Metal doping is used to enhance photocatalytic activity, while its effect on surface hydrophilicity is practically not studied. In this work, the influence of heterovalent doping of anatase titanium dioxide on its hydrophilic properties was investigated in detail. Thin films x-M-TiO2, where M – Nb5+, Sc3+, Al3+, with dopant concentration in the range of 0.0–1.0 at. %, were obtained on glass substrates from solutions of the corresponding sols by dip-coating method. The phase composition, surface dopant content, lattice microstress, surface acidity and electron work function values were determined and analyzed for three series of doped samples as a function of dopant concentration. The surface hydrophilicity of x-M-TiO2 nanocoatings was evaluated using the water contact angle and surface free energy values. It was shown that doping with niobium ions changes the wettability of titanium dioxide, while its hydrophilic state does not change when doped with scandium and aluminum ions. It was found that the appearance of niobium ions in anatase leads to a sharp increase in the hydrophilicity of the surface with a simultaneous change in the acidity and work function, but with increasing Nb content the electronic factor becomes dominant. The obtained kinetic dependences of the photoinduced water contact angle showed an increase in the surface hydrophilicity of all investigated coatings irrespective of the dopant type within the given concentrations, which demonstrates their self-cleaning ability. At the same time, the final UV-induced hydrophilic state depends on the dopant type. Maximum surface hydrophilicity is achieved with UV irradiation of Nb-doped TiO2 regardless of its content, the Al-doped series of coatings exhibit small contact angles, and the photoinduced surface hydrophilicity of Sc-doped titanium dioxide films decreases with increasing scandium content. Maximum surface hydrophilicity was achieved with UV irradiation of Nb-doped TiO2 regardless of its content, the Al-doped series of coatings exhibit small water contact angle values, and the photoinduced surface hydrophilicity of Sc-doped titanium dioxide films decreases with increasing scandium content.
Full Text
ВВЕДЕНИЕ
Растущий интерес к технологиям самоочищающихся покрытий обусловлен экономическим потенциалом в сфере изготовления и использования таких коммерческих продуктов на их основе, как краски и составы для создания защитных покрытий для окон, зеркал, текстиля, цементов, асфальтов и других строительных материалов. Самоочищающиеся покрытия по принципу действия разделяют на две группы: гидрофобные и гидрофильные, однако в обоих случаях очищение поверхности происходит с участием воды. Действие гидрофобных самоочищающихся покрытий из полимерных материалов основано на эффекте лотоса и подробно описано в работах [1, 2].
Действие гидрофильных самоочищающихся покрытий, способных не только к самоочищению, но и к очистке окружающего воздуха, базируется на высокой окислительной активности фотокаталитического материала и способности его поверхности под действием света переходить в супергидрофильное состояние [1, 3]. Такие самоочищающиеся фотокаталитические покрытия могут обладать также повышенной антибактериальной активностью, антизапотевающим, противообрастающим и антикоррозионным действием. Схематично механизм представлен на рис. 1.
Рис. 1. Демонстрация фотокаталитического действия и фотоиндуцированного супергидрофильного эффекта самоочищающихся покрытий на основе фотоактивных материалов
Под действием света фотокатализатор разлагает органические загрязнения, адсорбированные на его поверхности из окружающего воздуха, с образованием углекислого газа и воды. Также при действии света на фотоактивный материал его поверхность переходит в супергидрофильное состояние, и дождевая вода очищает ее от остатков органических загрязнений и пыли, “смывая” их по высоко-гидратированной поверхности покрытия.
Диоксид титана (TiO2) является наиболее известным и широко применяемым фотокатализатором [4]. Высокая фотоокислительная способность и фотоиндуцированный супергидрофильный переход поверхности наряду с нетоксичностью и низкой стоимостью делают его подходящим материалом для изготовления самоочищающихся покрытий на его основе, в том числе для наружных поверхностей зданий.
В последние десятилетия допирование металлами фотокатализаторов стало стандартным способом модификации электронных и оптических свойств фотоактивных материалов (фотокатализаторы второго поколения [5]), а, следовательно, и изменения их фотокаталитического поведения [6, 7].
К настоящему времени разработаны два основных систематических подхода к анализу влияния различных допантов на фотокаталитическую активность материалов. Первый подход основан на электронной теории катализа, разработанной Ф.Ф. Волькенштейном в 1960-х годах [8, 9]. Согласно постулатам данной теории, активность катализаторов на основе полупроводниковых материалов зависит от положения уровня Ферми, изменить которое можно с помощью гетеровалентного допирования: внесение атомов доноров электронов приводит к смещению уровня Ферми в сторону зоны проводимости, тогда как замещение атомов решетки атомами электроноакцепторных допантов приводит к смещению уровня Ферми в сторону валентной зоны. Второй подход был предложен недавно Д.В. Банеманном с коллегами [10]. Он основан на статистическом анализе большого массива экспериментальных данных фотокаталитической активности для фотокатализаторов, допированных ионами металлов, с различными размерами частиц и концентрацией допанта. Согласно этому подходу, более высокая активность фотокатализаторов наблюдается у тех образцов, частицы которых в среднем содержат по одному атому допанта на частицу, что соответствует концентрации допанта не выше 1 ат. % и размерам частиц фотокатализатора, не превышающим 100 нм.
Изменение фотокаталитической активности диоксида титана фазы анатаз за счет допирования представлено для широкого круга металлов [11, 12]. Показано, что в результате допирования происходит образование новых энергетических уровней допанта в запрещенной зоне или стабилизация имеющихся собственных дефектов [5–7], за счет чего увеличивается квазистационарная концентрация свободных фотоносителей и снижается скорость электрон-дырочной рекомбинации, при этом для некоторых широкозонных фотокатализаторов наблюдается сенсибилизация к видимому свету.
При гетеровалентном допировании диоксида титана могут образовываться мелкие или глубокие дефекты дырочного или электронного типа, что, в свою очередь, определяет тип носителя заряда на его поверхности. Присутствие фотоэлектронов на поверхности приводит к образованию супероксидного радикала (•O2–) или гидропероксильных радикалов (HO2•), а фотодырки способны окислять адсорбированную на поверхности воду или OH-группы с образованием гидроксильного радикала OH•. Таким образом, механизм фотокаталитической окислительной реакции будет зависеть от типа и концентрации допанта.
Известно, что соотношение концентраций поверхностных носителей заряда противоположных знаков также определяет эффективность и направление фотоиндуцированного гидрофильного перехода поверхности [3]. Результаты исследования этого процесса для диоксида титана (анатаз) свидетельствуют, что за переход поверхности в супергидрофильное состояние ответственны поверхностные фотодырки.
Анализ результатов исследований влияния допирования металлами на свойства самоочищения покрытий диоксида титана показал, что систематических исследований по этому вопросу не проводилось. Найдены отдельные работы для покрытий диоксида титана, допированного ионами металлов Fe, Y, Cu и Nb [13–23], причем акцент сделан на изучении фотокаталитической активности покрытий, а не на процессе фотоиндуцированного изменения гидрофильности их поверхности. Стоит отметить, что зачастую результаты, представленные в различных работах, противоречат друг другу, а концентрации допантов не соответствует оптимальному диапазону допирования, необходимому для достижения высокой окислительной фотоактивности (до 1 ат. %), как отмечено в работе [10].
В связи с этим в настоящей работе проведено сравнительное исследование влияния допирования ниобием, скандием и алюминием в диапазоне концентрации допанта до 1 ат. % на смачиваемость тонких пленок диоксида титана фазы анатаз и на процесс УФ-индуцированной супергидрофильности его поверхности, составляющей самоочищающегося действия покрытий из фотоактивных материалов. Эта работа является продолжением серии наших исследований влияния гетеровалентного допирования диоксида титана на распределение дефектов, фотокаталитическое и фотоэлектрохимическое поведение диоксида титана [24–29]. В свою очередь, выбор гетеровалентных катионов-допантов Al3+, Sc3+ и Nb5+ продиктован следующими причинами. Во-первых, замещение катионов Ti4+ на Sc3+(Al3+) или Nb5+ создает соответственно избыток отрицательного или положительного заряда в решетке, который должен быть компенсирован за счет образования собственных дефектов различной электронной природы. Во-вторых, энергетические уровни 2p, 3d и 4d электронных состояний соответственно ионов Al3+, Sc3+ и Nb5+, расположенные выше по энергии 3d уровней иона Ti4+, не образуют энергетических уровней в запрещенной зоне TiO2, и можно ожидать перераспределение собственных дефектов в запрещенной зоне и изменение концентрации носителей на поверхности, вызванное именно гетеровалентным легированием. В-третьих, допирование катионами Al3+, Sc3+ и Nb5+ может вызывать искажение решетки из-за разницы в ионных радиусах и также приводить к образованию внутренних дефектных состояний. Таким образом, целью этой работы было проследить, как изменяются физико-химические свойства диоксида титана в зависимости от типа и концентрации допанта, и определить, какие из этих параметров оказывают ключевую роль на гидрофильные свойства поверхности пленок диоксида титана. Следует отметить, что систематизированное комплексное исследование покрытий диоксида титана, допированного алюминием и скандием, проведено в настоящей работе впервые.
ЭКСПЕРИМЕНТАЛЬНАЯ ЧАСТЬ
Тонкие пленки x-M-TiO2, где М – ионы металлов-допантов Nb5+, Sc3+, Al3+ и x – содержание допанта, равное 0.0, 0.2, 0.4, 0.6, 0.8 и 1.0 ат. %, формировались методом макания (дип-коутинг) из соответствующих золей (KSV Nima dip coater, Финляндия) на стеклянных подложках с покрытием SiO2 для предотвращения диффузии ионов щелочных металлов из стекла при термической обработке. Стеклянные подложки (75 мм × 25 мм) были предварительно очищены в водном растворе моющего средства, затем в изопропаноле в течение 25 мин в ультразвуковой ванне Branson 5510, затем промыты деионизированной водой и отожжены при 450°C.
Для приготовления золя SiO2 использовали тетраэтилортосиликат (≥99.0% (GC), Aldrich), этанол и концентрированную азотную кислоту в качестве, соответственно, исходного материала, растворителя и стабилизатора. Для получения золей x-М-TiO2, 40 мл изопропоксида титана (IV) (99,999%, Sigma Aldrich) и рассчитанный объем золя прекурсора металла-допанта, содержащий необходимое количество молей допанта, разводили в изопропаноле так, чтобы общий объем раствора составлял 120 мл, интенсивно перемешивали в течение двух часов при комнатной температуре. Для приготовления золей прекурсоров металлов допантов использовали хлориды соответствующих металлов (NbCl5, 99.8%, Acros Organics; ScCl3, 99.9%, Alfa Aesar; AlCl3, 99.999%, Acros Organics), изопропанол и ледяную уксусную кислоту, соответственно, в качестве прекурсора металла, растворителя и стабилизатора. Скорость вытягивания пленки из золя составляла 10 мм/мин для формирования покрытия SiO2 и 80 мм/мин для осаждения пленок x-М-TiO2. Полученные свежеприготовленные покрытия отжигались при 450°C на воздухе в течение не менее 5 часов для удаления органических примесей. Применяемая методика приготовления покрытий позволяет получать тонкие и гладкие пленки на ровных поверхностях, что требуется в настоящем исследовании.
Фазовый состав нанопокрытий определяли методом рентгеновской дифракции (РФА) на дифрактометре высокого разрешения Bruker “D8 DISCOVER” (Германия) с CuKa-излучением в диапазоне углов 20°≤2θ≤80° со скоростью сканирования 5.0°/мин. Элементный состав поверхности определяли по спектрам рентгеновской фотоэлектронной спектроскопии (РФЭС) с использованием спектрометра Thermo Fisher Scientific Escalab 250Xi в 5–7 различных местах образца. Морфологию поверхности и толщину пленок определяли с помощью сканирующей электронной микроскопии (СЭМ) на микроскопах Zeiss Crossbeam 1540XB (Carl Zeiss, Oberkochen, Германия). Шероховатость поверхности оценивали с помощью атомно-силовой микроскопии на микроскопе NTEGRA Maximus (NT-MDT Spectrum Instruments LTD.). Значения микронапряжений решетки (e) определялись по данным рентгенофазового анализа и рефлектометрии с использованием программного пакета TOPAS, учитывая размеры частиц, образующих пленки, и толщины пленок, определенные из данных сканирующей электронной микроскопии. Спектры пропускания были зарегистрированы в спектральном диапазоне 300–800 нм при комнатных условиях на спектрофотометре Cary 5000. Измерения работы выхода электрона (WF) проводили методом сканирующего зонда Кельвина SKP5050 (KP Technology, Wick, Scotland) с использованием золотого электрода (площадь зонда 2 мм2). Частота колебаний зонда составляла 74 Гц, обратный потенциал – 7000 мВ. Значения работы выхода были получены путем усреднения данных по 50 измерениям в шести различных точках каждого образца. Предполагаемая экспериментальная погрешность не превышает ±0.02 эВ.
Значения изоэлектрической точки (pHiso) для нанопокрытий были получены с помощью метода рН-метрии с использованием комбинированного рН-электрода InLab® Surface Pro-ISM с плоской мембраной (Mettler-Toledo Ltd., Новая Зеландия). Для этого исследуемые пленки помещали в чашки Петри с раствором NaCl с различными начальными значениями рН (10 мл), выдерживали при встряхивании в течение 1 часа для достижения кислотно-основного равновесия в системе, а затем измеряли конечное значение рН. Погрешность определения значений рН составляла ±0.02. Набор растворов NaCl с определенным значением pH в диапазоне от 4.5 до 7.5 готовили путем капельного добавления необходимого количества HCl или NaOH к сверхчистой воде (pH 7). Значения pHiso находили из графиков ΔpH=f(pH) с помощью программы Origin 9.5.
Значения контактных углов жидкости с поверхностью образцов измеряли с помощью оптического тензиометра Theta Lite (Biolin Scientific, Финляндия). Используемая для измерений вода имела значение pH 5.7. Воспроизводимость результатов, достигаемая применением одной и той же процедуры подготовки поверхности пленок [30], была не хуже 70%. Экспериментальная погрешность измерений контактного угла определялась по 35 значениям и не превышала ±1.0°. Свободная поверхностная энергия (SFE) рассчитывалась на основании подхода Оуэнса-Вендта-Рабеля-Кьельбле с использованием метода двух жидкостей (воды и дийодометана).
Образцы подвергались УФ-облучению с помощью ртутной лампы высокого давления ДРК-120 (МЭЛЗ, Россия) с использованием светофильтра с пропусканием в диапазоне от 250 нм до 400 нм и водяного фильтра толщиной 5 см. Интенсивность действующего УФ-света составляла 0.5 мВт/см2.
РЕЗУЛЬТАТЫ И ОБСУЖДЕНИЕ
Физико-химическая характеризация тонких пленок х-M-TiO2
В ходе синтеза были получены три набора тонких пленок диоксида титана, допированного ниобием, скандием и алюминием, с различным содержанием допанта (x-M-TiO2). Фазовый состав пленочных образцов и содержание допанта на их поверхности были определены методами рентгенофазового анализа и рентгеновской фотоэлектронной спектроскопии (РФЭС). Фазовый состав образцов представлен кристаллической модификацией TiO2 анатаз (рис. П1 в Приложении). Примесных фаз, содержащих ниобий, скандий или алюминий, не обнаружено. Согласно данным РФЭС (табл. П1 в Приложении), содержание допанта на поверхности зависит от металла, используемого в качестве допанта. Для ниобий-допированных пленок содержание ниобия на поверхности хорошо согласуется с его содержанием в объеме вплоть до концентрации 0.4 ат. %, затем его содержание на поверхности становится меньше такового в объеме на 15–20%. Для скандий-допированных анатазных пленок наблюдается превышение содержания допанта на поверхности в зависимости от его общей концентрации в образце (х): при малых х – более, чем в 2 раза, а при больших х – на 20%. Для пленок алюминий-допированного диоксида титана, независимо от концентрации вносимой примеси, концентрация ионов Al3+ на поверхности заметно выше его среднего содержания по объему. Такая ситуация, когда ионы допанта “выходят” из объема на поверхность частиц, образующих пленку, может наблюдаться при несоответствии ионного размера, что вызывает деформацию решетки, или при несоответствии заряда иона, что приводит к зарядовой компенсации и образованию дополнительных дефектов [31, 32].
Такие характеристики пленок, как толщина пленки, размер образующих ее частиц, шероховатость поверхности (Ra) и микронапряжение в пленке (e), исследованы методами сканирующей электронной микроскопии (СЭМ), атомно-силовой микроскопии (АСМ) и рефлектометрии. Изображения СЭМ показывают (рис. П2–П4 в Приложении), что все синтезированные покрытия образованы плотно упакованными наночастицами со средним размером кристаллитов около 15–20 нм. Толщина пленок составила до 200 нм. По данным АСМ (рис. П5–П7 в Приложении) шероховатость поверхности пленок не превышала 4 нм, что позволяет считать пленки достаточно гладкими и использовать уравнение Юнга для гладких поверхностей при определении смачиваемости поверхности.
Полученные значения микронапряжений (e) для пленок диоксида титана, допированного различными металлами, говорят о том, что характер зависимости этого параметра от концентрации допанта зависит от типа металла-допанта (рис. 2). При допировании анатаза ионами ниобия (радиусы иона Ti4+ (0.605 Å) и иона Nb5+ (0.640 Å) различаются незначительно [33]) значительных изменений в микродеформации с увеличением концентрации допанта не наблюдается, за исключением образца 0.2-Nb-TiO2. Несмотря на то, что радиус иона Al3+ (0.535 Å) меньше радиуса иона Ti4+ (0.605 Å) на 11.6% [33], допирование анатаза алюминием до 1.0 ат. % не создает микронапряжений в решетке, однако, как отмечено выше, это обусловлено обогащением поверхности ионами алюминия (табл. П1 в Приложении). В ряду образцов x-Sc-TiO2 наблюдается искажение решетки анатаза, нарастающее с концентрацией допанта, что связано с большой разницей (>23%) в радиусах катионов хозяина и допанта (радиус иона Sc3+ (0.745 Å) больше радиуса иона Ti4+ 0.605 Å) [33]). Ожидается, что увеличение напряжения решетки диоксида титана будет способствовать увеличению концентрации дефектных электронных состояний в объеме образца.
Рис. 2. Зависимость микронапряжения (е) от концентрации допанта (х) для серий покрытий x-Nb-TiO2 (1), x-Sc-TiO2 (2) и x-Al-TiO2 (3). Символ “звездочка” указывает значение для покрытия недопированного диоксида титана
Спектры пропускания исследуемых нанопокрытий и построение соответствующих графиков Тауца позволили определить значения энергии запрещенной зоны (Eg). Оценка величины Eg дает среднее значение 3.20±0.02 эВ для всех покрытий x-M-TiO2, из чего следует, что допирование как трехвалентными ионами алюминия и скандия, так и пятивалентными ионами ниобия в пределах концентрации допанта до 1 ат. % не оказывает влияния на ширину запрещенной зоны диоксида титана фазы анатаз (3.21 эВ).
Гидрофильное поведение тонких пленок х-M-TiO2
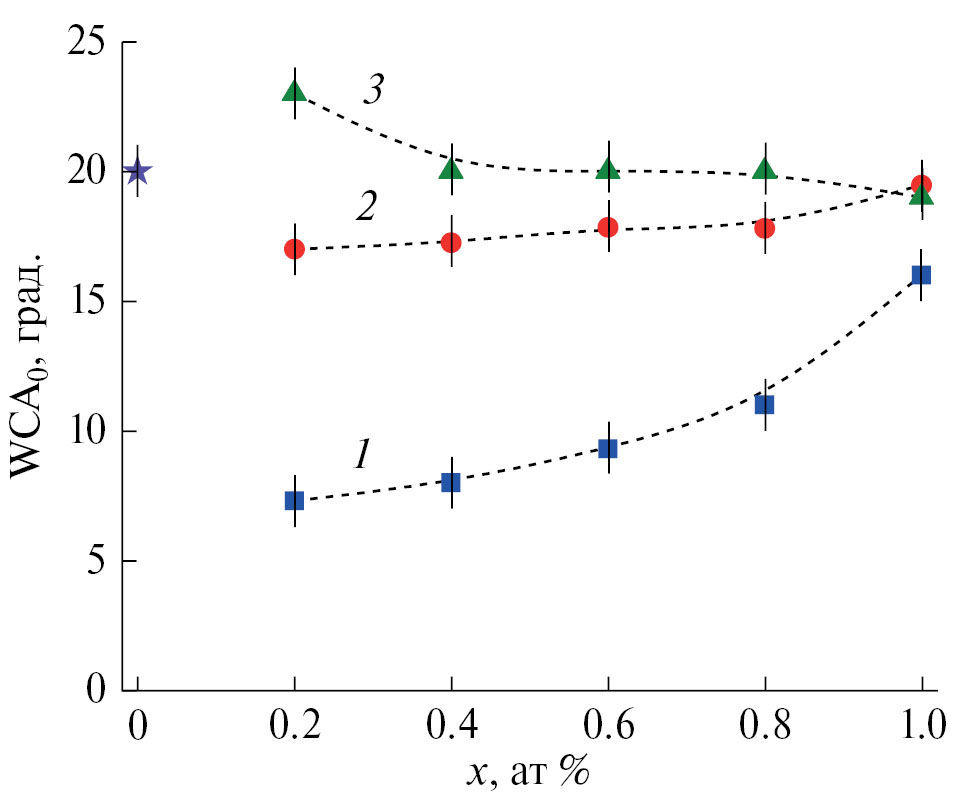
Значения начального контактного угла воды (WCA0) с поверхностью исследуемых нанопокрытий в зависимости от типа и концентрации допанта представлены на рис. 3. Для образцов диоксида титана, допированных пятивалентными катионами ниобия, гидрофильность их поверхностей во всем диапазоне концентраций допанта выше (угол смачивания водой меньше), чем для поверхности недопированного образца. С увеличением концентрации ниобия контактный угол увеличивается с 8 до 16 градусов. В то же время допирование трехвалентными катионами скандия и алюминия практически не влияет на начальное гидрофильное состояние поверхности пленок.
Рис. 3. Зависимость начального угла смачиваемости поверхности водой (WCA0) от концентрации допанта (х) для серий покрытий x-Nb-TiO2 (1), x-Sc-TiO2 (2) и x-Al-TiO2 (3). Символ “звездочка” указывает значение для покрытия недопированного диоксида титана. Погрешность измерения контактных углов отмечена вертикальными черточками
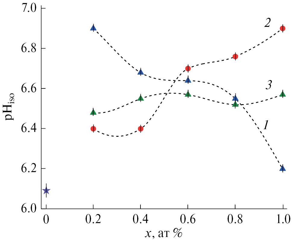
В табл. 1 представлены значения полной свободной поверхностной энергии (SFEt) и ее дисперсионной (SFEd) и полярной (SFEp) составляющих для гидратированных поверхностей всех изучаемых нанопокрытий. Для Nb-допированных образцов TiO2 энергия поверхности выше по сравнению с таковой для недопированного образца, главным образом, за счет полярной составляющей. Вместе с этим наблюдается резкое увеличение значения рН изоэлектрической точки (pHiso) для образцов c малым содержанием ниобия (рис. 4, кривая 1) по сравнению с pHiso для пленки чистого TiO2. В ряду x-Nb-TiO2 с увеличением концентрации допанта соотношение величин SFEp и SFEd остается практически неизменным, за исключением образца 1.0-Nb-TiO2, для которого величина SFEd резко падает, что приводит к уменьшению полной энергии его поверхности. При этом в ряду x-Nb-TiO2 происходит плавное уменьшение величины pHiso со значений 6.9 до 6.2 (рис. 4, кривая 1).
Таблица 1. Значения свободной поверхностной энергии, полной (SFEt) и ее дисперсионной (SFEd) и полярной (SFEp) составляющих, для гидратированных поверхностей нанопокрытий x-Nb-TiO2, x-Sc-TiO2 и x-Al-TiO2 в зависимости от содержания допанта (х)
x, ат. % | x-Nb-TiO2 | x-Sc-TiO2 | x-Al-TiO2 | ||||||
SFEt, мДж/м2 | SFEd, мДж/м2 | SFEp, мДж/м2 | SFEt, мДж/м2 | SFEd, мДж/м2 | SFEp, мДж/м2 | SFEt, мДж/м2 | SFEd, мДж/м2 | SFEp, мДж/м2 | |
0.0 | 75.9 | 47.8 | 28.1 | 75.9 | 47.8 | 28.1 | 75.9 | 47.8 | 28.1 |
0.2 | 79.5 | 48.2 | 31.3 | 76.9 | 47.4 | 29.5 | 74.5 | 45.7 | 28.8 |
0.4 | 79.3 | 47.2 | 32.1 | 74.9 | 43.3 | 31.6 | 75.6 | 45.9 | 29.7 |
0.6 | 79.4 | 48.2 | 31.2 | 76.4 | 45.7 | 30.7 | 75.9 | 46.4 | 29.5 |
0.8 | 78.8 | 47.1 | 31.7 | 76.3 | 45.8 | 30.5 | 75.8 | 44.3 | 30.5 |
1.0 | 76.6 | 45.1 | 31.5 | 75.3 | 44.4 | 30.9 | 75.8 | 45.8 | 30.0 |
Рис. 4. Зависимость рН изоэлектрической точки (pHiso) от концентрации допанта (х) для пленок диоксида титана, допированных ниобием (1), скандием (2) и алюминием (3). Символ “звездочка” указывает значение pHiso для покрытия недопированного диоксида титана. Погрешность измерений величины рН отмечена вертикальными черточками
Для Sc- и Al-допированных пленочных образцов TiO2 общая поверхностная энергия при допировании сильно не изменяется. Однако вклад в нее от каждой из составляющей при увеличении содержания допантов перераспределяется: доля полярной составляющей SFEp постепенно увеличивается, а доля дисперсионной составляющей SFEd уменьшается. Примечательно, что для образцов с трехвалентными ионами допантов значение рНiso (6.4–6.5) выше значения изоэлектрической точки для недопированного диоксида титана (6.1) и с увеличением содержания допанта или существенно не меняется, как в случае допирования ионами алюминия (рис. 4, кривая 3), или постепенно увеличивается, как в случае допирования ионами скандия (рис. 4, кривая 2).
Обобщая представленные выше данные, можно сделать вывод, что благодаря присутствию на поверхности ионов допанта тип взаимодействий поверхностных центров с адсорбированными молекулами воды и гидроксильными группами изменяется по сравнению с таковым для поверхности чистого диоксида титана, однако поверхностная энергия остается достаточно высокой, что характерно для оксидных поверхностей. Для Al-допированного ряда наблюдаемое постоянство гидрофильного состояния поверхности нанопокрытий (рис. 3, кривая 3) определяется, в первую очередь, особенностью ионов алюминия концентрироваться на поверхности частиц (табл. П1 в Приложении), что, с одной стороны, позволяет избегать микронапряжений решетки (рис. 2, кривая 3), с другой стороны, сохранять состав гидратно-гидроксильного слоя на поверхности неизменным (рис. 4, кривая 3).
Допирование диоксида титана трехвалентыми ионами скандия, способными увеличивать концентрацию кислородных вакансий, демонстрирует, тем не менее, незначительное отличие значений полной поверхностной энергии и углов смачиваемости для поверхностей Sc-допированных нанопокрытий TiO2 от таковых для недопированного образца (рис. 3, кривые 2 и 3). Постоянство гидрофильного состояния Sc-допированных пленок с увеличением содержания допанта до 1.0 ат. % может быть объяснено взаимно компенсирующим действием таких факторов, как нарастание искажения решетки из-за большого отличия радиусов катионов “гостя” и “хозяина” (рис. 2, кривая 2), сопровождающееся незначительным “выходом” ионов Sc3+ на поверхность (табл. П1 в Приложении), и постепенное уменьшение кислотности поверхности (рис. 4, кривая 2) за счет полярной составляющей поверхностной энергии (табл. 1), что может быть связано с образованием новых или увеличением количества уже имеющихся слабых кислотных центров Бренстеда (ОН-группы или адсорбированные молекулы воды непосредственно на поверхностных ионах Ti4+ и Sc3+).
Для Nb-допированного ряда наблюдается зависимость смачиваемости поверхности нанопокрытий, отличная от таковой для Sc- и Al-допированных рядов. Высокая поверхностная энергия для покрытия 0.2-Nb-TiO2 за счет увеличения полярной составляющей (табл. 1), по сравнению с недопированным TiO2, обеспечивает наибольшую гидрофильность поверхности анатаза (рис. 3, кривая 1). Отметим, что при этом заметно уменьшается кислотность поверхности (рис. 4, кривая 1). Дальнейшее увеличение концентрации допанта в образцах приводит к увеличению кислотности поверхности, уменьшению поверхностной энергии за счет дисперсионной составляющей и соответственно к уменьшению смачиваемости поверхности. Известно, что допирование ионами ниобия приводит к заметному увеличению концентрации электронов в диоксиде титана модификации анатаз [34–36], что способствует увеличению концентрации электронных состояний и на его поверхности. Подобное явление, когда обогащение поверхности анатазного диоксида титана электронами приводит к снижению гидрофильности, уже было продемонстрировано ранее для гетероструктурной тонкой пленки TiO2/Cu2O на стеклянной подложке [37] и тонкой пленки TiO2 на подложке p-Si [38, 39]. Поэтому для исследуемых в этой работе Nb-допированных образцов анатаза можно предположить, что электронный фактор начинает оказывать большее влияние на свойства поверхности, включая смачиваемость, для диоксида титана с более высоким содержанием Nb.
Для исследования электронных свойств образцов допированного TiO2 были проведены измерения работы выхода электрона (WF). В общем случае изменение работы выхода обусловлено изменением положения уровня Ферми [40, 41], что свидетельствует либо о появлении новых электронных состояний, либо о перераспределении существующих электронных состояний в полосе пропускания полупроводника. На рис. 5 представлены изменения значений работы выхода электрона (WF) для недопированного и допированных нанопокрытий TiO2 в зависимости от концентрации допантов. Как видно, влияние гетеровалентного допирования на значение работы выхода анатазного диоксида титана очевидно: при появлении в решетке ионов допантов значение WF увеличивается в случае допирования ионами Nb5+ и уменьшается в случае допирования ионами Sc3+ и Al3+. Примечательно, что для серии покрытий x-Nb-TiO2 наблюдается корреляция величины работы выхода с гидрофильностью поверхности (рис. 3 и 5, кривые 1): при появлении ниобия в образце работа выхода увеличивается, а контактный угол воды резко уменьшается (гидрофильность поверхности резко возрастает); при дальнейшем увеличении содержания допанта при постепенном уменьшении работы выхода угол смачиваемости увеличивается (гидрофильность уменьшается).
Рис. 5. Зависимость величины работы выхода электрона (WF) от концентрации допанта (х) для образцов диоксида титана, допированных ниобием (1), скандием (2) и алюминием (3). Символ “звездочка” указывает значение для недопированного диоксида титана. Погрешность измерений величины WF отмечена вертикальными черточками
Согласно данным теоретического моделирования [42–44], присутствие гетеровалентных ионов металла в решетке анатаза TiO2 приводит в зависимости от типа допанта к образованию электронных или дырочных состояний, которые могут быть описаны в терминах поляронных состояний. Расчеты методом теории функционала плотности показывают, что дырочные поляроны в анатазе сильно локализованы и образуют глубокие энергетические состояния в запрещенной зоне, их рассматривают как глубокие ловушки. В свою очередь, локализация поляронов c участием электронов довольно слабая, и действие таких поляронных состояний ограничено несколькими постоянными решетки. Энергетическая глубина электронных ловушек оценивается менее чем в 0.1 эВ при энергии стабилизации образования поляронов 0–0.2 эВ [45]. Это означает, что поляроны на основе электронов могут быть описаны как очень мелкие электронные ловушки. В связи с этим такие акцепторные примеси, как Al, Ga, In, Sc, Y, приводят к образованию глубоких дырочных поляронных состояний, а донорные примеси, такие как Nb, Sb, Ta, V, – к образованию частично делокализованных неглубоких электронных поляронных состояний.
Для серий покрытий x-Sc-TiO2 и x-Al-TiO2 результатом появления трехвалентных ионов металлов является уменьшение значения работы выхода при их появлении в анатазе. Увеличение концентрации Sc3+ практически не влияет на значение работы выхода (рис. 5, кривая 2), что подтверждает образование глубоких ловушек дырочного типа. В то же время изменение значения работы выхода с увеличением содержания Al3+ происходит с некоторым минимумом (рис. 5, кривая 3), наблюдаемым для образца с концентрацией Al 0.6 ат. %, при этом значения WF для всех исследуемых Al-допированных образцов TiO2 остаются меньше значения WF для недопированного анатаза.
Фотоиндуцированное изменение гидрофильности поверхности тонких пленок х-M-TiO2
Исследование влияния гетеровалентного допирования на способность перехода поверхности пленок анатаза в супергидрофильное состояние проводилось при фотовозбуждении фотокатализатора в области его собственного поглощения (Е>3.2 эВ), что соответствует УФ-свету с длиной волны короче 385 нм. На рис. 6 представлены кинетические зависимости УФ-индуцированного изменения контактного угла воды (WCA) с поверхностью всех исследуемых нанопокрытий. Полученные тензиометрические данные были аппроксимированы кривыми с помощью экспоненциальной функции, результаты и параметры аппроксимации представлены на рис. П8–П10 в Приложении.
Рис. 6. Кинетические зависимости фотоиндуцированного изменения контактного угла воды (WCA) с поверхностью пленок диоксида титана, допированных ниобием (1), скандием (2) и алюминием (3) с различным содержанием допанта: (а) 0.2 ат. %, (б) 0.4 ат. %, (в) 0.6 ат. %, (г) 0.8 ат. %, (д) 1.0 ат. %. Кинетическая зависимость фотоиндуцированного изменения WCA с поверхностью пленки недопированного диоксида титана (4) представлена для сравнения. Линиями показаны кривые аппроксимации (см. рис. П8–П10 в Приложении). Погрешность измерений WCA отмечена вертикальными черточками
Несмотря на то, что ход кинетических кривых фотоиндуцированного изменения WCA для допированных образцов отличается от такового для чистого диоксида титана, УФ-облучение в течение 2–3 минут приводит к увеличению гидрофильного состояния поверхности тонких пленок TiO2 независимо от типа допанта. Это подтверждается повышением значений поверхностной свободной энергии для всех нанопокрытий после УФ-облучения (табл. 2). Повышение общей энергии SFEt для поверхностей тонких пленок чистого и допированного алюминием диоксида титана происходит, главным образом, за счет полярной составляющей SFEp на 2–4 мДж/м2, в то время как для ниобий-допированного диоксида титана – за счет дисперсионной составляющей SFEd, а для пленок x-Sc-TiO2 – за счет обеих составляющих (сравнение данных табл. 1 и 2).
Таблица 2. Значения свободной поверхностной энергии, полной (SFEt) и ее дисперсионной (SFEd) и полярной (SFEp) составляющих, для гидратированных поверхностей нанопокрытий x-Nb-TiO2, x-Sc-TiO2 и x-Al-TiO2 при различном содержании допанта (х) после облучения УФ-светом в течение 3 минут
x, ат. % | x-Nb-TiO2 | x-Sc-TiO2 | x-Al-TiO2 | ||||||
SFEt, мДж/м2 | SFEd, мДж/м2 | SFEp, мДж/м2 | SFEt, мДж/м2 | SFEd, мДж/м2 | SFEp, мДж/м2 | SFEt, мДж/м2 | SFEd, мДж/м2 | SFEp, мДж/м2 | |
0.0 | 80.4 | 48.8 | 31.6 | 80.4 | 48.8 | 31.6 | 80.4 | 48.8 | 31.6 |
0.2 | 80.5 | 49.3 | 31.2 | 79.9 | 48.1 | 31.8 | 78.5 | 46.9 | 31.6 |
0.4 | 80.6 | 48.5 | 32.1 | 79.0 | 46.8 | 32.2 | 78.3 | 46.6 | 31.7 |
0.6 | 80.7 | 48.8 | 31.9 | 79.1 | 46.6 | 32.5 | 78.5 | 46.2 | 32.3 |
0.8 | 80.4 | 49.2 | 31.2 | 78.4 | 47.0 | 31.4 | 78.6 | 46.7 | 31.9 |
1.0 | 80.5 | 49.5 | 31.0 | 77.6 | 46.6 | 31.0 | 78.9 | 46.8 | 32.1 |
Таким образом, в пределах исследуемых концентраций допантов пленки диоксида титана модификации анатаз, допированного ионами ниобия, скандия и алюминия, демонстрируют эффект фотоиндуцированной супергидрофильности, характерный для гладкой поверхности чистого TiO2 [3, 4]. Это означает, что для допированных образцов диоксида титана так же, как и для чистого TiO2, ключевую роль в этом фотопроцессе играют фотодырки [3, 30, 37, 39].
Вместе с этим стоит отметить особенности процесса фотоиндуцированного изменения гидрофильного поведения, наблюдаемые для отдельных рядов покрытий. Во-первых, это касается минимального угла смачиваемости поверхности водой WCAirr∞, который можно достигнуть при длительном облучении УФ-светом заданной мощности. Этот параметр процесса фотоиндуцированного изменения гидрофильности поверхности определялся из аппроксимации кинетических данных (см. параметр у0 на рис. П8–П10 в Приложении). Значение WCAirr∞ зависит от типа допирующего металла и по-разному зависит от его концентрации в ряду образцов (рис. 7).
Рис. 7. Зависимости значений контактных углов воды с поверхностью, достигаемых при бесконечно долгом облучении УФ светом, (WCAirr∞) для серий покрытий x-Nb-TiO2 (1), x-Sc-TiO2 (2) и x-Al-TiO2 (3) от содержания допанта. Символ “звездочка” указывает значение для недопированного диоксида титана. Плотность действующего УФ-света равна 0.5 мВт/см2. Значения WCAirr∞ определены из аппроксимации кинетических данных (см. рис. П8–П10 Приложения)
В случае электронодонорной примеси для Nb-допированного ряда конечное фотоиндуцированное гидрофильное состояние не зависит от содержания допанта, и значения угла смачивания водой варьируются в пределах 4–6 градусов. В ряду Al-допированных (электроноакцепторная примесь) образцов угол WCAirr∞ достигает значений 10–11 градусов при содержании алюминия не выше 0.8 ат. %, при повышении концентрации до 1 ат. % угол может достигнуть 5 градусов при больших экспозициях (рис. 6д).
Для образцов диоксида титана, допированного ионами скандия (электроноакцепторная примесь), наблюдается зависимость достигаемого гидрофильного состояния от концентрации допанта: чем выше концентрация примеси, тем выше УФ-индуцированный угол смачивания WCAirr∞ (рис. 7). Примечательно, что для этого же ряда ранее была обнаружена схожая тенденция увеличения микронапряжения в решетке анатаза с увеличением скандия в образце (рис. 2). Таким образом, можно предположить, что при допировании скандием на смачиваемость поверхности, в том числе и фотоиндуцированной, именно микродеформация решетки из-за несоответствия размерности “гостевого” иона оказывает значимое влияние, что приводит к появлению на поверхности напряжения сжатия, которое может ухудшать смачиваемость оксидных поверхностей водой [46, 47].
Вторым количественным параметром процесса фотоиндуцированного изменения гидрофильности является начальная скорость процесса (r0), значения которых были определены из аппроксимации кинетических данных (см. рис. П8–П10 в Приложении). Рассчитанные значения скорости представлены в табл. 3. Знак минус или плюс у значения скорости означает, соответственно, уменьшение или увеличение WCA при УФ-облучении и, следовательно, увеличение или уменьшение гидрофильности поверхности. Из полученных данных видно, что только на поверхности пленки анатаза с 1.0 ат. % ниобия (1.0-Nb-TiO2) процесс фотоиндуцированного супергидрофильного перехода поверхности протекает эффективнее, чем на поверхности чистого анатаза. Для остальных допированных пленочных образцов начальная скорость этого перехода меньше таковой для пленки недопированного TiO2.
Таблица 3. Значения начальной скорости (r0) процесса фотоиндуцированного изменения гидрофильности поверхности для нанопокрытий x-Nb-TiO2, x-Sc-TiO2 и x-Al-TiO2 при различном содержании допанта (х)
x, ат. % | r0, град./с | ||
x-Nb-TiO2 | x-Sc-TiO2 | x-Al-TiO2 | |
0.0 | –0.39 | ||
0.2 | –0.07 | –0.30 | –0.24 |
0.4 | 0.73 | –0.23 | –0.14 |
0.6 | 0.38 | –0.21 | –0.30 |
0.8 | 0.08 | –0.15 | –0.23 |
1.0 | –0.58 | –0.15 | –0.14 |
Вторая особенность исследуемого фотопроцесса, которую следует отметить, это то, что наблюдается корреляция начальной скорости фотопроцесса (r0) и начального гидрофильного состояния поверхности, характеризующегося начальным углом смачивания водой поверхности (WCA0). Для поверхностей с малыми начальными углами смачиваемости (с более высокой гидрофильностью) процесс перехода в более гидрофильное состояние имеет малые начальные скорости или при малых временах экспозиции даже наблюдается уменьшение гидрофильности поверхности, как в случае нанопокрытий Nb-TiO2 с концентрацией допанта от 0.2 ат. % до 0.8 ат. % (рис. 6, а–г и табл. 3). Обнаруженную закономерность можно более наглядно проследить на рис. П11 в Приложении. Вместе с этим эта особенность не мешает достигать поверхности этих пленок супергидрофильного состояния при более длительных временах УФ-облучения (рис. 7).
ЗАКЛЮЧЕНИЕ
В ходе работы обнаружено, что модификация диоксида титана с помощью допирования гетеровалентными ионами Al3+, Sc3+ и Nb5+ с концентрацией до 1 ат. % приводит не только к изменению его электронных свойств в зависимости от типа примеси (электронодонорная или электроноакцепторная), но и оказывает существенное влияние на кислотно-основные свойства его поверхности, от которых зависит состав гидратно-гидроксильного слоя, а также способна вызывать значимую микродеформацию решетки анатаза, что может создавать локальные электронные дефекты и вносить свой вклад в изменение поверхностной свободной энергии. Показано, что все перечисленные факторы влияют на смачиваемость поверхности диоксида титана одновременно, но вклад каждого различен и зависит от типа и концентрации допанта. Поэтому такое многопараметрическое влияние допирования на гидрофильные свойства анатаза, в том числе при его фотовозбуждении, трудно спрогнозировать и контролировать, что делает допирование не самым подходящим способом для проведения механистических исследований процесса фотоиндуцированного изменения гидрофильности поверхности фотоактивных материалов.
Вместе с тем полученные результаты по смачиваемости поверхности исследуемых пленок допированного диоксида титана имеют важное прикладное значение в области создания самоочищающихся покрытий. Так, показано, что Nb-допированные титан-оксидные покрытия, полученные золь-гель методом, исходно обладают наибольшей гидрофильностью поверхности по сравнению с покрытием недопированного TiO2, однако это состояние принципиально не влияет на достижение фотоиндуцированной гидрофильности при временах УФ-облучения выше 2–3 минут. Среди трехвалентных допантов следует отметить ионы алюминия, которые не оказывают отрицательного эффекта на фотоиндуцированную супергидрофильность поверхности TiO2. В то время как присутствие в анатазе ионов скандия значительно большего размера, чем ионы титана, негативно влияет на смачиваемости его поверхности. Это связано с деформацией решетки, которая особенно заметна для покрытий диоксида титана с концентрацией Sc3+ выше 0.6 ат. %.
Максимальная гидрофильность поверхности достигается при УФ-облучении Nb-допированных TiO2 независимо от его содержания, Al-допированная серия покрытий демонстрирует малые контактные углы, а фотоиндуцированная гидрофильность поверхностей Sc-допированных пленок диоксида титана уменьшается с увеличением содержания скандия. Таким образом, допирование только ниобием и алюминием диоксида титана (анатаз) оказывает положительное влияние на самоочищающиеся свойства фотокаталитических покрытий на его основе и может быть рекомендовано для практического использования.
Дополнительные материалы размещены в электронном виде по doi статьи.
ФИНАНСИРОВАНИЕ РАБОТЫ
Работа выполнена при финансовой поддержке РНФ (грант № 23-22-00161).
БЛАГОДАРНОСТИ
Авторы выражают благодарность РЦ “Нанофотоника”, РЦ “Нанотехнологии”, РЦ “Рентгенодифракционные исследования”, РЦ “Центр физических методов исследования поверхности”, РЦ “Центр инновационных технологий композиционных наноматериалов”, РЦ “Методы исследования состава вещества” Научного парка Санкт-Петербургского государственного университета за помощь в проведении синтеза и характеризации образцов. Тензиометрические исследования проводились на оборудовании Лаборатории “Фотоактивные нанокомпозитные материалы” (ID 121121000186-3) при Санкт-Петербургском государственном университете.
СОБЛЮДЕНИЕ ЭТИЧЕСКИХ СТАНДАРТОВ
В данной работе отсутствуют исследования человека или животных.
КОНФЛИКТ ИНТЕРЕСОВ
Авторы данной работы заявляют, что у них нет конфликта интересов.
About the authors
A. V. Rudakova
Санкт-Петербургский государственный университет
Author for correspondence.
Email: aida.rudakova@spbu.ru
Russian Federation, Санкт-Петербург
K. M. Bulanin
Санкт-Петербургский государственный университет
Email: aida.rudakova@spbu.ru
Russian Federation, Санкт-Петербург
References
- Banerjee S., Dionysiou D.D., Pillai S.C. Self-cleaning applications of TiO2 by photo-induced hydrophilicity and photocatalysis // Applied Catalysis B. 2015. V. 176–177. P. 396–428. https://doi.org/10.1016/j.apcatb.2015.03.058
- Samal S.K., Mohanty S., Nayak S.K. Superhydrophobic polymer coatings. Amsterdam: Elsevier. 2019. https://doi.org/10.1016/C2018-0-00746-X
- Рудакова А.В., Емелин А.В. Фотоиндуцированное изменение гидрофильности поверхности тонких пленок // Коллоид. журн. 2021. T. 83. № 1. С. 3–34. https://doi.org/10.31857/S0023291221010109
- Fujishima A., Zhang X., Tryk D.A. TiO2 photocatalysis and related surface phenomena // Surface Science Reports. 2008. V. 63. № 12. P. 515–582. https://doi.org/10.1016/j.surfrep.2008.10.001
- Serpone N., Emeline A.V. Semiconductor photocatalysis – past, present, and future outlook // Journal of Physical Chemistry Letters. 2012. V. 3. P. 673–677. https://doi.org/10.1021/jz300071j
- Serpone N., Emeline A.V., Kuznetsov V.N., Ryabchuk V.K. Second generation visible-light-active photocatalysts: Preparation, optical properties, and consequences of dopants on the band gap energy of TiO2 // Environmentally benign photocatalysts. New York: Springer New York. 2010. P. 35–111. https://doi.org/10.1007/978-0-387-48444-0_3
- Serpone N. Is the band gap of pristine TiO2 narrowed by anion- and cation-doping of titanium dioxide in second-generation photocatalysts? // Journal of Physical Chemistry B. 2006. V. 110. P. 24287–24293. https://doi.org/10.1021/jp065659r
- Wolkenstein Th. The Electronic Theory of Catalysis on Semiconductors, 1st ed. Oxford: Pergamon Press. 1963.
- Wolkenstein Th. The electronic theory of photocatalytic reactions on semiconductors // Advanced Catalysis. 1973. V. 23. P. 157–208. https://doi.org/10.1016/S0360-0564(08)60301-6
- Bloh J.Z., Dillert R., Bahnemann D.W. Designing optimal metal-doped photocatalysts: Correlation between photocatalytic activity, doping ratio, and particle size // Journal of Physical Chemistry C. 2012. V. 116. P. 25558−25562. https://doi.org/10.1021/jp307313z
- Khlyustova A., Sirotkin N., Kusova T. et al. Doped TiO2: the effect of doping elements on photocatalytic activity // Materials Advances. 2020. V. 1. P. 1193−1201. https://doi.org/10.1039/d0ma00171f
- Sultana M., Mondal A., Islam S. et al. Strategic development of metal doped TiO2 photocatalysts for enhanced dye degradation activity under UV–Vis irradiation: A review // Current Research in Green and Sustainable Chemistry. 2023. V. 7. 100383. https://doi.org/10.1016/j.crgsc.2023.100383
- Yu J., Zhou M., Yu H. et al. Enhanced photoinduced super-hydrophilicity of the sol–gel-derived TiO2 thin films by Fe-doping // Materials Science Communications. 2006. V. 95. P. 193–196. https://doi.org/10.1016/j.matchemphys.2005.09.021
- Mardare D., Iacomi F., Luca D. Substrate and Fe-doping effects on the hydrophilic properties of TiO2 thin films // Thin Solid Films. 2007. V. 515. P. 6474–6478. https://doi.org/10.1016/j.tsf.2006.11.068
- Wei H., Feng J., Ma C. et al. Effect of iron doping on the hydrophobicity of titanium dioxide film: experiment and simulation // Molecular Physics. 2019. P. 1–9. https://doi.org/10.1080/00268976.2019.1696477
- Weng K.-W., Huang Y.-P. Preparation of TiO2 thin films on glass surfaces with self-cleaning characteristics for solar concentrators // Surface and Coatings Technology. 2013. V. 231. P. 201–204. https://doi.org/10.1016/j.surfcoat.2012.06.058
- Zhang X., Yang H., Tang A. Optical, electrochemical and hydrophilic properties of Y2O3 doped TiO2 nanocomposite films // Journal of Physical Chemistry B. 2008. V. 112. P. 16271–16279. https://doi.org/10.1021/jp806820p
- Eshaghi A., Eshaghi A. Preparation and hydrophilicity of TiO2 sol–gel derived nanocomposite films modified with copper loaded TiO2 nanoparticles // Materials Research Bulletin. 2011. V. 46. P. 2342–2345. https://doi.org/10.1016/j.materresbull.2011.08.035
- Liu Z., Wang Y., Peng X. et al. Photoinduced superhydrophilicity of TiO2 thin film with hierarchical Cu doping // Science and Technology of Advanced Materials. 2012. V. 13. 025001. https://doi.org/10.1088/1468-6996/13/2/025001
- Nakamura M., Aoki T., Hatanaka Y. Hydrophilic characteristics of rf-sputtered amorphous TiO2 film // Vacuum. 2000. V. 59. P. 506–513. https://doi.org/10.1016/S0042-207X(00)00309-2
- Mardare D., Yildiz A., Girtan M. et al. Surface wettability of titania thin films with increasing Nb content // Journal of Applied Physics. 2012. V. 112. 073502. https://doi.org/10.1063/1.4757007
- Adomnitei C., Tascu S., Luca D. et al. Nb-doped TiO2 thin films as photocatalytic materials. Bull. Mater. Sci., 2015, 38, P. 1259–1262. https://doi.org/10.1007/s12034-015-1008-7
- da Silva A. L., Dondi M., Hotza D. Self-cleaning ceramic tiles coated with Nb2O5-doped-TiO2 nanoparticles // Ceramics International. 2017. V. 43. P. 11986–11991. https://doi.org/10.1016/j.ceramint.2017.06.049
- Yang X., Min Y., Li S. et al. Conductive Nb-doped TiO2 thin films with whole visible absorption to degrade pollutants // Catalysis Science and Technology. 2018. V. 8. P. 1357–1365. https://doi.org/10.1039/c7cy02614e
- Murashkina A.A., Murzin P.D., Rudakova A.V. et al. Influence of the dopant concentration on the photocatalytic activity: Al-doped TiO2 // Journal of Physical Chemistry C. 2015. V. 119. P. 24695–24703. https://doi.org/10.1021/acs.jpcc.5b06252
- Murashkina A.A., Rudakova A.V., Ryabchuk V.K. et al. Influence of the dopant concentration on the photoelectrochemical behavior of Al-doped TiO2 // Journal of Physical Chemistry C. 2018. V. 122. P. 7975–7981. https://doi.org/10.1021/acs.jpcc.7b12840
- Murzin P.D., Murashkina A.A., Emeline A.V. et al. Effect of Sc3+/V5+ co-doping on photocatalytic activity of TiO2 // Topics in Catalisys. 2021. V. 64. P. 817–823. https://doi.org/10.1007/s11244-020-01292-1
- Murzin P.D., Rudakova A.V., Emeline A.V. et al. Effect of the heterovalent doping of TiO2 with Sc3+ and Nb5+ on the defect distribution and photocatalytic activity // Catalysts. 2022. V. 12. 484. https://doi.org/10.3390/catal12050484
- Shaitanov L., Murashkina A., Rudakova A. et al. UV-induced formation of color centers in dispersed TiO2 particles: Effect of thermal treatment, metal (Al) doping, and adsorption of molecules // Journal of Photochemistry and Photobiology A. 2018. V. 354. P. 33–46. https://doi.org/10.1016/j.jphotochem.2017.07.038
- Siliavka E.S., Rudakova A.V., Bakiev T.V. et al. Effect of the heterovalent Sc3+ and Nb5+ doping on photoelectrochemical behavior of anatase TiO2 // Catalysts. 2024. V. 14. 76. https://doi.org/10.3390/catal14010076
- Emeline A.V., Rudakova A.V., Sakai M. et al. Factors affecting UV-induced superhydrophilic conversion of a TiO2 surface // Journal of Physical Chemistry C. 2013. V. 117. P. 12086–12092. https://doi.org/10.1021/jp400421v
- Gesenhues U. Doping of TiO2 pigments by Al3+ // Solid State Ionics. 1997. V. 101-103. P. 1171–1180. https://doi.org/10.1016/S0167-2738(97)00443-8
- Taylor M.L., Morris G.E., Smart R.S.C. Influence of aluminum doping on titania pigment structural and dispersion properties // Journal of Colloid and Interface Science. 2003. V. 262. P. 81–88. https://doi.org/10.1016/S0021-9797(03)00212-1
- Shannon R.D. Revised effective ionic radii and systematic studies of interatomic distances in halides and chalcogenides // Acta Crystallographica. 1976. V. 32. P. 751–767. https://doi.org/10.1107/s0567739476001551
- Furubayashi Y., Hitosugi T., Yamamoto Y. et al. A transparent metal: Nb-doped anatase TiO2 // Applied Physics Letters. 2005. V. 86. 252101. https://doi.org/10.1063/1.1949728
- Singh S., Sharma V., Sachdev K. Investigation of effect of doping concentration in Nb-doped TiO2 thin films for TCO applications // Journal of Materials Science. 2017. V. 52. P. 11580–11591. https://doi.org/10.1007/s10853-017-1328-7
- Lü X., Mou X., Wu J. et al. Improved-performance dye-sensitized solar cells using Nb-doped TiO2 electrodes: Efficient electron injection and transfer // Advanced Functional Materials. 2010. V. 20. P. 509–515. https://doi.org/10.1002/adfm.200901292
- Maevskaya M.V., Rudakova A.V., Emeline A.V. et al. Effect of Cu2O substrate on photoinduced hydrophilicity of TiO2 and ZnO nanocoatings // Nanomaterials. 2021. V. 11. 1526. https://doi.org/10.3390/nano11061526
- Deshpande R.A., Navne J., Adelmark M.V. et al. Understanding the light induced hydrophilicity of metal-oxide thin films // Nature Communications. 2024. V. 15. 124. https://doi.org/10.1038/s41467-023-44603-2
- Rudakova A.V., Emeline A.V., Romanychev A.I. et al. Photoinduced hydrophilic behavior of TiO2 thin film on Si substrate // Journal of Alloys and Compounds. 2021. V. 872. 159746. https://doi.org/10.1016/j.jallcom.2021.159746
- Kahn A. Fermi level, work function and vacuum level // Materials Horizons. 2016. V. 3. P. 7−10. https://doi.org/10.1039/c5mh00160a
- Shao G. Work function and electron affinity of semiconductors: Doping effect and complication due to Fermi level pinning // Energy and Environmental Materials. 2021. V. 4. P. 273–276. https://doi.org/10.1002/eem2.12218
- De Angelis F., Di Valentin C., Fantacci S. et al. Theoretical studies on anatase and less common TiO2 phases: Bulk, surfaces, and nanomaterials // Chemical Reviews. 2014. V. 114. P. 9708−9753. https://doi.org/10.1021/cr500055q
- Stashans A., Bermeo S. Al-bound hole polarons in TiO2 // Chemical Physics. 2009. V. 363. P. 100–103. https://doi.org/10.1016/j.chemphys.2009.08.006
- Deak P., Aradi B., Frauenheim T. Polaronic effects in TiO2 calculated by the HSE06 hybrid functional: Dopant passivation by carrier self-trapping // Physical Review B. 2011. V. 83. 155207. https://doi.org/10.1103/PhysRevB.83.155207
- Di Valentin C., Pacchioni G., Selloni A. Reduced and n-type doped TiO2: Nature of Ti3+ species // Journal of Physical Chemistry C. 2009. V. 113. P. 20543–20552. https://doi.org/10.1021/jp9061797
- Shibata T., Irie H., Hashimoto K. Enhancement of photoinduced highly hydrophilic conversion on TiO2 thin films by introducing tensile stress // Journal of Physical Chemistry B. 2003. V. 107. P. 10696–10698. https://doi.org/10.1021/jp0357830
- Alhomoudi I.A., Newaz G. Residual stresses and Raman shift relation in anatase TiO2 thin film // Thin Solid Films. 2009. V. 517. P. 4372–4378. https://doi.org/10.1016/j.tsf.2009.02.141
Supplementary files









